• Внутримолекулярные связи
  • Физическая и химическая молекулы
  • Взаимодействие молекул
  • Как выглядит тепловое движение
  • Сжимаемость тел
  • Поверхностные силы
  • Кристаллы и их форма
  • Строение кристаллов
  • Поликристаллические вещества
  • Строение вещества

    Внутримолекулярные связи

    Молекулы состоят из атомов. Атомы связаны в молекулы силами, которые называют химическими силами.

    Существуют молекулы, состоящие из двух, трех, четырех атомов. Крупнейшие молекулы - молекулы белков - состоят из десятков и даже сотен тысяч атомов.

    Царство молекул исключительно разнообразно. Уже сейчас химики выделили из природных веществ и создали в лабораториях миллионы веществ, построенных из различных молекул.

    Свойства молекул определяются не только тем, сколько атомов того или иного сорта участвует в их постройке, но и тем, в каком порядке и в какой конфигурации они соединены. Молекула - это не груда кирпичей, а сложная архитектурная постройка, где каждый кирпич имеет свое место и своих вполне определенных соседей. Атомная постройка, образующая молекулу, может быть в большей или меньшей степени жесткой. Во всяком случае, каждый из атомов совершает колебания около своего положения равновесия. В некоторых же случаях одни части молекулы могут вращаться по отношению к другим частям, придавая свободной молекуле в процессе ее теплового движения различные и самые причудливые конфигурации.

    Разберем подробнее взаимодействие атомов. На рис. 2.1 изображена кривая потенциальной энергии двухатомной молекулы. Она имеет характерный вид- сначала идет вниз, затем загибается, образуя "яму", и потом более медленно приближается к горизонтальной оси, по которой отложено расстояние между атомами.

    Рис. 2.1

    Мы знаем, что устойчиво состояние, в котором потенциальная энергия имеет наименьшее значение. Когда атом входит в состав молекулы, он "сидит" в потенциальной яме, совершая небольшие тепловые колебания около положения равновесия.

    Расстояние от вертикальной оси до дна ямы можно назвать равновесным. На этом расстоянии расположились бы атомы, если бы прекратилось тепловое движение.

    Кривая потенциальной энергии рассказывает о всех деталях взаимодействия между атомами. Притягиваются или отталкиваются частицы на том или ином расстоянии, возрастает или убывает сила взаимодействия при отдалении или сближении частиц - все эти сведения можно получить из анализа кривой потенциальной энергии. Точки левее "дна" соответствуют отталкиванию. Напротив, участки кривой правее дна ямы характеризуют притяжение. Важные сведения сообщает и крутизна кривой: чем круче идет кривая, тем больше сила.

    Находясь на больших расстояниях, атомы притягиваются один к другому; эта сила весьма быстро уменьшается с увеличением расстояния между ними. При сближении сила притяжения возрастает и достигает наибольшего значения уже тогда, когда атомы подойдут один к другому очень близко. При еще большем сближении притяжение ослабевает и, наконец, на равновесном расстоянии сила взаимодействия обращается в нуль. При сближении атомов на расстояние, меньшее равновесного, возникают силы отталкивания, которые очень резко нарастают и быстро делают практически невозможным дальнейшее уменьшение расстояния между атомами.

    Равновесные расстояния (ниже мы будем говорить короче - расстояния) между атомами различны для разных сортов атомов.

    Для разных пар атомов различны не только расстояния от вертикальной оси до дна ямы, но и глубина ям.

    Глубина ямы имеет простой смысл: чтобы выкатиться из ямы, нужна энергия, как раз равная глубине. Поэтому глубину ямы можно назвать энергией связи частиц.

    Расстояния между атомами молекул столь малы, что для их измерения надо выбрать подходящие единицы, иначе пришлось бы выражать их значения, например, в таком виде: 0,000000012 см. Это цифра для молекулы кислорода.

    Единицы, особенно удобные для описания атомного мира, называются ангстремами (правда, фамилия шведского ученого, именем которого названы эти единицы, правильно читается Онгстрем; для напоминания об этом над буквой А ставят кружок):

    т. е. одной стомиллионной доле сантиметра.

    Расстояния между атомами молекул лежат в пределах от 1 до 4A. Написанное выше равновесное расстояние для кислорода равно 1,2 A.

    Межатомные расстояния, как вы видите, очень малы. Если опоясать земной шар веревкой у экватора, то длина "пояса" во столько же раз будет больше ширины вашей ладони, во сколько раз ширина ладони больше расстояния между атомами молекулы.

    Для измерения энергии связи пользуются обычно калориями, но относят их не к одной молекуле, что дало бы, разумеется, ничтожную цифру, а к одному молю, т.е. к NA молекулам.

    Ясно, что энергия связи на один моль, если ее поделить на число Авогадро NA=6,023*1023 моль-1, даст энергию связи одной молекулы.

    Энергия связи атомов в молекуле, как и межатомные расстояния, колеблется в незначительных пределах.

    Для того же кислорода энергия связи равна 116 000 кал/моль, для водорода 103 000 кал/моль и т. д.

    Мы уже говорили, что атомы в молекулах располагаются вполне определенным образом одни по отношению к другим, образуя в сложных случаях весьма замысловатые постройки.

    Приведем несколько простых примеров.

    Рис. 2.2

    В молекуле С02 (углекислый газ) все три атома расположены в ряд - атом углерода посередине. Молекула воды Н20 имеет уголковую форму, вершиной угла (он равен 105°) является атом кислорода.

    В молекуле аммиака NH3 атом азота находится в вершине трехгранной пирамиды; в молекуле метана СН4 атом углерода находится в центре четырехгранной фигуры с равными сторонами, которая называется тетраэдром.

    Рис. 2.3

    Атомы углерода бензола С6Н6 образуют правильный шестиугольник. Связи атомов углерода с водородом идут от всех вершин шестиугольника. Все атомы расположены в одной плоскости.

    Схемы расположения центров атомов этих молекул показаны на рис. 2.2 и 2.3. Линии символизируют связи.

    Прошла химическая реакция; были молекулы одного сорта, образовались другие. Одни связи порваны, другие созданы вновь. Для разрыва связей между атомами - вспомните рисунок - нужно затратить такую же работу, как при выкатывании шара из ямы. Напротив, при образовании новых связей энергия выделяется - шар скатывается в яму.

    Что больше, работа разрыва или работа созидания? В природе мы сталкиваемся с реакциями обоих типов.

    Излишек энергии называется тепловым эффектом или иначе - теплотой превращения (реакции). Тепловые эффекты реакций - это большей частью величины порядка десятков тысяч калорий при расчете на моль. Очень часто тепловой эффект включают в качестве слагаемого в формулу реакции.

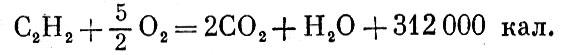
    Например, реакция сгорания углерода (в виде графита), т. е. соединения его с кислородом, пишется так:

    Это значит, что при соединении углерода с кислородом выделяется энергия 94 250 калорий. Сумма внутренних энергий моля углерода и моля кислорода в графите равняется внутренней энергии моля углекислого газа плюс 94 250 калорий.

    Таким образом, подобные записи имеют ясный смысл алгебраических равенств, записанных для величин внутренней энергии.

    С помощью таких уравнений можно найти тепловые эффекты превращений, для которых не годятся по тем или иным причинам прямые способы измерения. Вот пример: если бы углерод (графит) соединить с водородом, то образовался бы газ ацетилен:

    Реакция не идет таким путем. Тем не менее можно найти ее тепловой эффект. Запишем три известные реакции -

    окисление углерода:

    окисление водорода:

    окисление ацетилена:

    Все эти равенства можно рассматривать как уравнения для энергий связи молекул. Если так, то ими можно оперировать как алгебраическими равенствами. Вычитая из нижнего два верхних, получим

    Значит, интересующее нас превращение сопровождается поглощением 56 000 калорий на один моль.

    Физическая и химическая молекулы

    До того как исследователи получили детальное представление о структуре вещества, такого различия не делалось. Молекула есть молекула, т. е. мельчайший представитель вещества. Казалось бы, этим все сказано. Однако дело обстоит не так.

    Те молекулы, о которых мы сейчас рассказали, являются молекулами в обоих смыслах слова. Молекулы углекислого газа, аммиака, бензола, о которых мы говорили, и молекулы практически всех органических веществ (о которых мы не говорили) состоят из атомов, которые сильно связаны друг с другом. При растворении, плавлении, испарении эти связи не разрываются. Молекула продолжает себя вести как отдельная частичка, как маленькое физическое тело при любых физических воздействиях и изменениях состояния.

    Но так обстоит дело далеко не всегда. Для большинства неорганических веществ о молекуле можно говорить лишь в химическом смысле этого слова. А вот мельчайшей частички таких общеизвестных неорганических веществ, как поваренная соль или кальцит, или сода, не существует. Мы не находим отдельных частичек в кристаллах (об этом будет рассказано через несколько страниц); при растворении молекулы распадаются на части.

    Сахар - органическое вещество. Поэтому в воде сладкого чая "плавают" молекулы сахара. А вот в соленой воде никаких молекул поваренной соли (хлористого натрия) мы не найдем. Эти "молекулы" (приходится ставить кавычки) существуют в воде в виде атомов (а точнее, ионов - электрически заряженных атомов,- о них речь впереди).

    Так же точно и в парах, и в расплавах части молекул живут самостоятельной жизнью.

    Когда речь идет о силах, связывающих атомы в физическую молекулу, то такие силы называют валентными. Межмолекулярные силы являются невалентными. Однако тип кривой взаимодействия, который был показан на рис. 2.1, одинаков в обоих случаях. Различие лишь в глубине ямы. В случае валентных сил яма в сотни раз глубже.

    Взаимодействие молекул

    Молекулы взаимно притягиваются, в этом невозможно сомневаться. Если бы в какое-то мгновение они перестали притягиваться друг к другу, все жидкие и твердые тела распались бы на молекулы.

    Молекулы взаимно отталкиваются, и это несомненно, так как иначе жидкости и твердые тела сжимались бы с необыкновенной легкостью.

    Между молекулами действуют силы, во многом похожие на силы между атомами, о которых говорилось выше. Кривая потенциальной энергии, которую мы только что рисовали для атомов, правильно передает основные черты взаимодействия молекул. Однако между этими взаимодействиями имеются и существенные различия.

    Сравним, например, равновесное расстояние между атомами кислорода, образующими молекулу, и атомами кислорода двух соседних молекул, притянувшихся в затвердевшем кислороде до равновесного положения. Различие будет очень заметным: атомы кислорода, образующие молекулу, устанавливаются на расстоянии 1,2 A, атомы кислорода разных молекул подходят друг к другу на 2,9 A.

    Подобные результаты получаются и для других атомов. Атомы чужих молекул устанавливаются дальше один от другого, чем атомы одной молекулы. Поэтому молекулы легче оторвать одну от другой, чем атомы от молекулы, причем различия в энергиях много больше разницы в расстояниях. Если энергия, необходимая для разрыва связи между атомами кислорода, образующими молекулу, составляет около 100 ккал/моль, то энергия на растаскивание молекул кислорода меньше 2 ккал/моль.

    Значит, на кривой потенциальной энергии молекул "яма" лежит дальше от вертикальной оси и, кроме того, "яма" гораздо менее глубока.

    Однако этим не исчерпывается различие взаимодействия атомов, образующих молекулу, и взаимодействия молекул.

    Химики показали, что атомы сцепляются в молекулу с вполне определенным числом других атомов. Если два атома водорода образовали молекулу, то третий атом уже не присоединится к ним. Атом кислорода в воде соединен с двумя атомами водорода и присоединить к ним еще один невозможно.

    Ничего подобного мы не находим в межмолекулярном взаимодействии. Притянув к себе одного соседа, молекула ни в какой степени не теряет своей "притягательной силы". Подход соседей будет происходить до тех пор, пока хватит места.

    Что значит "хватит места"? Разве молекулы - это что-то вроде яблок или яиц? Конечно, в некотором смысле такое сравнение оправдано: молекулы - физические тела, обладающие определенными "размерами" и "формой". Равновесное расстояние между молекулами и есть не что иное, как "размеры" молекул.

    Как выглядит тепловое движение

    Взаимодействие между молекулами может иметь большее или меньшее значение в "жизни" молекул.

    Три состояния вещества - газообразное, жидкое и твердое - различаются одно от другого той ролью, которую в них играет взаимодействие молекул.

    Слово "газ" придумано учеными. Оно произведено от греческого слова "хаос" - беспорядок.

    И действительно, газообразное состояние вещества является примером существующего в природе полного, совершенного беспорядка во взаимном расположении и движении частиц. Нет такого микроскопа, который позволил бы увидеть движение газовых молекул, но, несмотря на это, физики могут достаточно детально описать жизнь этого невидимого мира.

    В кубическом сантиметре воздуха при нормальных условиях (комнатная температура и атмосферное давление) находится огромное число молекул, примерно 2,5*1019 (т. е. 25 миллиардов миллиардов молекул). На каждую молекулу приходится объем 4*10-20 см3, т. е. кубик со стороной примерно 3,5*10-7 см = 35 A. Однако молекулы очень малы. Например, молекулы кислорода и азота - основная часть воздуха - имеют средний размер около 4 A.

    Таким образом, среднее расстояние между молекулами в 10 раз больше размера молекулы. А это в свою очередь означает, что средний объем воздуха, на который приходится одна молекула, примерно в 1000 раз больше объема самой молекулы.

    Представьте себе ровную площадку, на которой беспорядочно разбросаны монетки, причем на площадь в 1 м2 приходится в среднем сто монеток. Это значит одна-две монетки на страницу книги, которую вы читаете. Приблизительно так же редко расположены газовые молекулы.

    Каждая молекула газа находится в состоянии непрерывного теплового движения.

    Проследим за одной молекулой. Вот она стремительно движется куда-то вправо. Если бы на ее пути не встретилось препятствий, то молекула с той же скоростью продолжала бы свое движение по прямой линии. Но путь молекулы пересекают ее бесчисленные соседи. Столкновения неминуемы, и молекулы разлетаются, как два столкнувшихся биллиардных шара. В какую сторону отскочит наша молекула? Приобретет или потеряет она свою скорость? Все возможно: ведь встречи могут быть самые различные. Удары возможны и спереди и сзади, и справа и слева, и сильные и слабые. Ясно, что, подвергаясь таким беспорядочным соударениям при этих случайных встречах, молекула, за которой мы наблюдаем, будет метаться во все стороны по сосуду, в котором заключен газ.

    Какой путь удается молекулам газа пробежать без столкновения?

    Он зависит от размеров молекул и от плотности газа. Чем больше размеры молекул и число их в сосуде, тем чаще они будут сталкиваться. Средняя длина пути, пробегаемого молекулой без соударения,- она называется средней длиной пробега - равна при обычных условиях 11*10-6 см = 1100 A для молекул водорода и 5*10-6 см=500 A для молекул кислорода. 5*10-6 см - двадцатитысячная доля миллиметра, расстояние очень малое, но по сравнению с размерами молекул оно далеко не мало. Пробегу 5*10-6 см для молекулы кислорода соответствует в масштабе у биллиардного шара расстояние в 10 м.

    Стоит обратить внимание на особенности движения молекул в сильно разреженном газе (вакууме). Движение молекул, "образующих вакуум", меняет свой характер, когда длина свободного пробега молекулы становится больше размеров сосуда, в котором находится газ. Тогда молекулы редко сталкиваются между собой и совершают свое путешествие прямыми зигзагами, ударяясь то об одну, то о другую стенку сосуда.

    Как только что было сказано, в воздухе при атмосферном давлении длина пробега равна 5*10-6 см. Если увеличить ее в 107 раз, то она составит 50 см, т. е. будет заметно больше среднего по размерам сосуда. Поскольку длина пробега обратно пропорциональна плотности, а следовательно, и давлению, то давление для этого должно составлять 10-7 атмосферного или примерно 10-4 мм рт. ст.

    Даже межпланетное пространство не является совсем Пустым. Но плотность вещества в нем составляет около 5*10-24г/см3. Основная доля межпланетного вещества - атомарный водород. В настоящее время считается, что в космосе приходится но нескольку атомов водорода на 1 см3. Если увеличить молекулу водорода до размеров горошины и поместить такую "молекулу" в Москве, то ее ближайшая "космическая соседка" окажется в Туле.

    Строение жидкости существенно отличается от строения газа, молекулы которого находятся далеко одна от другой и лишь изредка сталкиваются. В. жидкости молекулы постоянно находятся в непосредственной близости. Молекулы жидкости расположены, как картофелины в мешке. Правда, с одним отличием: молекулы жидкости находятся в состоянии непрерывного хаотического теплового движения. Из-за большой тесноты они не могут передвигаться так свободно, как молекулы газа. Каждая "топчется" все время почти на одном и том же месте в окружении одних и тех же соседей и только понемногу перемещается по объему, занятому жидкостью. Чем более вязкая жидкость, тем это перемещение медленней. Но даже в такой "подвижной" жидкости, как вода, молекула сместится на 3 A за то время, которое нужно газовой молекуле для пробега в 700 A.

    Совсем решительно расправляются силы взаимодействия между молекулами с их тепловым движением в твердых телах. В твердом вещества молекулы практически все время находятся в неизменном положении. Тепловое движение сказывается только в том, что молекулы непрерывно колеблются около положений равновесия. Отсутствие систематических перемещений молекул и есть причина того, что мы называем твердостью. Действительно, если молекулы не меняют соседей, то тем более остаются в неизменной связи одна с другой отдельные части тела.

    Сжимаемость тел

    Как дождевые капли барабанят по крыше, так бьются о стенки сосуда молекулы газа. Число этих ударов огромно, и действие их, сливаясь воедино, и создает то давление, которое может двигать поршень двигателя, разорвать снаряд или надуть воздушный шар. Град молекулярных ударов - это атмосферное давление, это давление, заставляющее прыгать крышку кипящего чайника, это сила, выбрасывающая пулю из винтовки.

    С чем же связано давление газа? Ясно, что давление будет тем больше, чем сильнее удар, наносимый одной молекулой. Не менее очевидно, что давление будет зависеть от числа ударов, наносимых в секунду. Чем больше молекул в сосуде, тем чаще удары, тем больше давление. Значит, прежде всего давление р данного газа пропорционально его плотности.

    Если масса газа неизменна, то, уменьшая объем, мы в соответствующее число раз увеличиваем плотность. Значит, давление газа в таком закрытом сосуде будет обратно пропорционально объему. Или, иными словами, произведение давления на объем должно быть неизменным:

    ?V = const.

    Этот простой закон был открыт английским физиком Бойлем и французским ученым Мариоттом. Закон Бойля - Мариотта - один из первых количественных законов в истории физической науки. Разумеется, он имеет место при неизменной температуре.

    По мере сжатия газа уравнение Бойля - Мариотта выполняется все хуже. Молекулы приближаются, взаимодействие между ними начинает сказываться на поведении газа.

    Закон Бойля - Мариотта справедлив в тех случаях, когда вмешательство сил взаимодействия в жизнь молекул газа совершенно незаметно. Поэтому о законе Бойля - Мариотта говорят как о законе идеальных газов.

    Прилагательное "идеальный" звучит несколько забавно по отношению к слову "газ". Идеальный - это значит совершенный, такой, что лучше быть не может.

    Чем проще модель или схема, тем идеальнее она для физика. Упрощаются расчеты, легкими и ясными становятся объяснения физических явлений. Термин "идеальный газ" относится к простейшей схеме газа. Поведение достаточно разреженных газов практически неотличимо от поведения идеальных газов.

    Сжимаемость жидкостей гораздо меньше, чем сжимаемость газов. В жидкости молекулы уже находятся в "соприкосновении". Сжатие состоит лишь в улучшении "упаковки" молекул, а при очень больших давлениях - в спрессовке самой молекулы. Насколько силы отталкивания затрудняют сжатие жидкости, видно из следующих цифр. Повышение давления от одной до двух атмосфер влечет за собой уменьшение объема газа вдвое, в то время как объем воды изменяется на 1/20 000, а ртути - всего на 1/250 000.

    Даже огромное давление на глубинах океана неспособно сколько-нибудь заметно сжать воду. Действительно, давление в одну атмосферу создается столбом воды в десять метров. Давление под слоем воды в 10 км равно 1000 атмосфер. Объем воды уменьшается на 1000/20 000, т. е. на 1/20.

    Сжимаемость твердых тел мало отличается от сжимаемости жидкости. Это и понятно - в обоих случаях молекулы уже соприкасаются, и сжатие может быть достигнуто лишь за счет дальнейшего сближения уже сильно отталкивающихся молекул. Сверхвысокими давлениями в 50-100 тысяч атмосфер удается сжать сталь на 1/1000, свинец - на 1/7 долю объема.

    Из этих примеров видно, что в земных условиях не удается сколько-нибудь значительно сжать твердое вещество.

    Но во Вселенной есть тела, где вещество сжато несравненно сильнее. Астрономы открыли существование звезд, плотность вещества в которых доходит до 10/см3. Внутри этих звезд - их называют белыми карликами ("белые" - по характеру светимости "карлики" - из-за относительно малых размеров) - должно поэтому иметь место огромное давление.

    Поверхностные силы

    Можно ли выйти сухим из воды? Конечно, для этого нужно смазаться несмачивающимся водой веществом.

    Натрите палец парафином и опустите в воду. Когда вы его вынете, окажется, что воды на пальце нет, если не считать двух-трех капелек. Небольшое движение - и капельки стряхиваются.

    В этом случае говорят: вода не смачивает парафин. Ртуть ведет себя таким образом по отношению почти ко всем твердым телам: ртуть не смачивает кожу, стекло, дерево...

    Вода более капризна. Она тесно льнет к одним телам и старается не соприкасаться с другими. Вода не смачивает жирные поверхности, но хорошо смачивает чистое стекло. Вода смачивает дерево, бумагу, шерсть.

    Если капельку воды нанести на чистое стекло, то она растечется и образует очень тонкую лужицу. Если такую же капельку опустить на парафин, то она так и останется капелькой почти сферической формы, чуть придавленной силой тяжести.

    К веществам, "пристающим" почти ко всем телам, относится керосин. Стремясь растечься по стеклу или металлу,; керосин способен выползать из плохо закрытого сосуда. Лужица пролитого керосина может на долгое время отравить существование: керосин захватит большую поверхность, заползет в щели, проникнет в одежду. Поэтому так трудно избавиться от его малоприятного запаха.

    Несмачивание тел может привести к любопытным явлениям. Возьмите иголку, смажьте ее жиром и аккуратно положите плашмя на воду. Иголка не утонет. Внимательно всматриваясь, можно заметить, что иголка продавливает воду и спокойно лежит в образовавшейся ложбинке. Однако достаточно легкого нажатия, и иголка пойдет ко дну. Для этого нужно чтобы значительная ее часть оказалась в воде.

    Это интересное свойство используется насекомыми, быстро бегающими по воде, не замочив лапок.

    Смачивание используется при флотационном обогащении руд. Слово "флотация" значит "всплывание". Сущность явления состоит в следующем. Тонко измельченную руду загружают в чан с водой, туда добавляют небольшое количество специального масла, которое должно. обладать свойством смачивать крупинки полезного ископаемого и не смачивать крупинки "пустой породы" (так называют" ненужную часть руды). При перемешивании крупинки полезного ископаемого обволакиваются маслянистой пленкой.

    В черную кашу из руды воды и масла вдувается воздух. Образуется множество мелких пузырьков воздуха - пена. Пузырьки воздуха всплывают. Процесс флотации основан на том, что покрытые маслом крупинки цепляются за воздушные пузырьки. Крупный пузырек выносит крупинку вверх, как воздушный шар.

    Полезное ископаемое переходит в пену на поверхность. Пустая порода остается на дне. Пену снимают и направляют в дальнейшую обработку для получения так называемого "концентрата", который содержит в десятки раз меньшую долю пустой породы.

    Силы сцепления поверхностей способны нарушить уравнивание жидкости в сообщающихся сосудах. Справедливость этого очень легко проверить.

    Если тоненькую (доля миллиметра в, диаметре) стеклянную трубочку опустить в воду, то в нарушение закона сообщающихся сосудов вода в ней быстро начнет подниматься вверх, и уровень ее установится существенно выше, чем в широком сосуде (рис. 2.4).

    Рис. 2.4

    Что же произошло? Какие силы удерживают вес поднявшегося столба жидкости? Подъем произведен силами сцепления воды со стеклом.

    Силы поверхностного сцепления отчетливо проявляются лишь тогда, когда жидкость поднимается в достаточно тонких трубках. Чем уже трубочка, тем выше поднимается жидкость, тем отчетливее явление. Название этих поверхностных явлений связано с названием трубочек. Канал в такой трубке имеет диаметр, измеряющийся долями миллиметра; такую трубку называют капиллярной (что значит в переводе: "тонкой, как волос"). Явление подъема жидкости в тонких трубках называется капиллярностью.

    На какую же высоту способны поднять жидкость капиллярные трубки? Оказывается, в трубке диаметром 1 мм вода поднимается на высоту 1,5 мм. При диаметре 0,01 мм высота подъема возрастает во столько же раз, во сколько уменьшился диаметр трубки, т. е. до 15 см.

    Разумеется, подъем жидкости возможен лишь при условии смачивания. Нетрудно догадаться, что ртуть не будет подниматься в стеклянных трубках. Наоборот, ртуть в стеклянных трубках опускается. Ртуть так не "терпит" соприкосновения со стеклом, что стремится сократить общую поверхность до того минимума, который разрешает сила тяжести.

    Существует множество тел, которые представляют собой нечто вроде системы тончайших трубок. В таких телах всегда наблюдаются капиллярные явления.

    Целая система длинных каналов и пор имеется у растений и деревьев. Диаметры этих каналов меньше сотых долей миллиметра. Благодаря этому капиллярные силы поднимают почвенную влагу на значительную высоту и разносят воду по телу растения.

    Очень удобная вещь - промокательная бумага. Вы сделали кляксу, а надо перевернуть страницу. Не ждать ведь, пока клякса высохнет! Берется листик промокательной бумаги, конец его погружается в каплю, и чернила быстро бегут кверху против силы тяжести.

    Происходит типичное капиллярное явление. Если рассмотреть промокательную бумагу в микроскоп, то можно увидеть ее структуру. Такая бумага состоит из неплотной сетки бумажных волокон, образующих друг с другом тонкие и длинные каналы. Эти каналы и играют роль капиллярных трубочек.

    Такая же система длинных пор или каналов, образованных волокнами, имеется в фитилях. По фитилю поднимается кверху керосин в лампах. С помощью фитиля можно создать и сифон, опустив фитиль одним концом в неполный стакан жидкости так, чтобы другой конец перевешивающийся через борт, был ниже первого (рис. 2.5).

    Рис. 2.5

    В технологии красильного производства тоже часто используют способность тканей затягивать в себя жидкость тонкими каналами, образованными нитями ткани.

    Но мы еще ничего не сказали о молекулярном механизме этих интересных явлений.

    Различия в поверхностных силах превосходно объясняются межмолекулярными взаимодействиями.

    Капля ртути не растекается по стеклу. Это происходит по той причине, что энергия взаимодействия атомов ртути между собой больше энергии связи атомов стекла и ртути. По этой же причине ртуть не поднимается в узких капиллярах.

    С водой дело обстоит иначе. Оказывается, что атомы водорода молекул воды охотно цепляются за атомы кислорода окиси кремния, из которой в основном состоит стекло. Межмолекулярные силы вода - стекло больше межмолекулярных сил вода - вода. Поэтому вода растекается по стеклу и поднимается в стеклянных капиллярах.

    Поверхностные силы, вернее энергию связи (глубина ямы на рис. 2.1), для разных пар веществ можно и измерить, и вычислить. Разговор о том, как это делается, завел бы нас слишком далеко.

    Кристаллы и их форма

    Многие думают, что кристаллы - это красивые, редко встречающиеся камни. Они бывают разных цветов, обычно прозрачные и, что самое замечательное, обладают красивой правильной формой. Чаще всего кристаллы представляют собой многогранники стороны (грани) их идеально плоские," ребра строго прямые. Они радуют глаз чудесной игрой света в гранях, удивительной правильностью строения.

    Есть среди них скромные кристаллы каменной соли - природного хлористого натрия, т. е. обычной поваренной соли. Они встречаются в природе в виде прямоугольных параллелепипедов или кубиков. Простая форма и у кристаллов кальцита - прозрачных косоугольных параллелепипедов. Куда сложнее кристаллы кварца. У каждого кристаллика множество граней разной формы, пересекающихся по ребрам разной длины.

    Однако кристаллы - совсем не музейная редкость. Кристаллы окружают нас повсюду. Твердые тела, из которых мы строим дома и делаем станки, вещества, которые мы употребляем в быту,- почти все они относятся к кристаллам. Почему же мы этого не видим? Дело в том, что в природе редко попадаются тела в виде отдельных одиночных кристаллов (или, как говорят, монокристаллов). Чаще всего вещество встречается в виде прочно сцепившихся кристаллических зернышек уже совсем малого размера - меньше тысячной доли миллиметра. Такую структуру можно увидеть лишь в микроскоп.

    Тела, состоящие из кристаллических зернышек, называются мелкокристаллическими, или поликристаллическими ("поли"-по-гречески "много").

    Конечно, к кристаллам надо отнести и мелкокристаллические тела. Тогда окажется, что почти все окружающие пас твердые тела - кристаллы. Песок и гранит, медь и железо, салол, продающийся в аптеке,; и краски - все это кристаллы.

    Есть и исключения; стекло и пластмассы не состоят из кристалликов. Такие твердые тела называются аморфными.

    Итак, изучать кристаллы- это значит изучать почти все окружающие нас тела. Понятно, как это важно.

    Одиночные кристаллы сразу же узнают по правильности форм. Плоские грани и прямые ребра являются характерным свойством кристалла; правильность формы несомненно связана с правильностью внутреннего строения кристалла. Если кристалл в каком-то направлении особо вытянулся, значит, и строение кристалла в этом направлении какое-то особенное.

    Но представьте себе, что из крупного кристалла на станке изготовлен шар. Удастся ли сообразить, что в руках у нас кристалл, и отличить этот шар от стеклянного? Поскольку разные грани кристалла развиты в различной степени, то это наводит на мысль о том, что и физические свойства кристалла неодинаковы в разных направлениях. Сказанное относится к прочности, электропроводности, да и вообще ко многим свойствам. Эта особенность кристалла называется анизотропией его свойств. Анизотропный - это значит разный в разных направлениях.

    Кристаллы анизотропны. Напротив, аморфные тела, жидкости и газы изотропны ("изо" - по-гречески "одинаково", "тропос" -- направление), т. е. обладают одинаковыми свойствами в разных направлениях. Анизотропия свойств и позволяет узнать,( является ли прозрачный бесформенный кусочек вещества кристаллом или нет.

    Отправимся в минералогический музей и внимательно рассмотрим разные монокристаллические образцы кристаллов одного и того же вещества. Вполне возможно, что на стенде будут выставлены образцы и правильной и неправильной формы. Некоторые кристаллы будут выглядеть как обломки,- другие будут иметь 1-2 грани "ненормального" развития.

    Отберем из общей кучи образцы, которые покажутся нам идеальными, и зарисуем их. Картинка, которая получится, показана на рис. 2.6. В качестве примера выбран все тот же кварц. У кварца, как и у других кристаллов, может развиться разное число граней одного "сорта", а также разное число самих "сортов" граней. Пусть внешнее сходство не бросается в глаза, все же такие кристаллики похожи друг на друга, как близкие родственники, как близнецы. В чем же заключается их сходство?

    Рис. 2.6

    Посмотрите на рис. 2.6, где изображен ряд кристаллов кварца. Все эти кристаллики - близкие "родственники". Их можно сделать и совсем одинаковыми, сошлифовывая грани на различную глубину параллельно самим себе. Легко видеть, что таким способом, например, кристалл II может быть сделан совершенно таким же, как кристалл I. Это возможно потому, что углы между сходственными гранями образцов одинаковы" например, между гранями А и Б, Б и В и т. д.

    В этом равенстве углов и заключается "семейное" сходство кристаллов. При сошлифовывании граней параллельно самим себе форма кристалла изменяется, но углы между гранями сохраняют свое значение.

    При росте кристалла в зависимости от ряда случайностей одни грани могут попасть в условия более благоприятные, другие в менее удобные для увеличения своих размеров. Внешнее сходство выросших в разных условиях образцов станет незаметным, но углы между сходственными гранями всех кристаллов изучаемого вещества будут всегда одинаковы. Форма кристалла случайна, а углы между гранями отвечают (вы дальше поймете, почему) его внутренней природе.

    Но плоскогранность не является единственным свойством кристаллов, которое отличает их от бесформенных тел. Кристаллы обладают симметрией. Смысл этого слова лучше всего мы поймем на примерах.

    Рис. 2.7

    На рис. 2.7 изображена скульптура; перед ней стоит большое зеркало. В зеркале возникает отражение, в точности повторяющее предмет. Скульптор может изготовить две фигуры и расположить их так же, как фигуру и ее отражение в зеркале. Эта "двойная" скульптура будет симметричной фигурой - она состоит из двух зеркально равных частей. Правая часть скульптуры в точности совпадает с отражением левой ее части. Такая симметричная фигура обладает вертикальной плоскостью зеркальной симметрии, которая проходит посередине между ними. Плоскость симметрии -o мысленная плоскость, но мы ее отчетливо ощущаем, рассматривая симметрично построенное тело.

    Плоскостью симметрии обладают тела животных, вертикальную плоскость внешней симметрии можно провести через человека. В животном мире симметрия осуществляется лишь приблизительно, да и вообще идеальной симметрии в жизни не существует. Архитектор может изобразить на чертеже дом, состоящий из двух идеально симметричных половин. Но когда дом будет построен, как бы хорошо его ни делали, всегда можно найти разницу в двух соответствующих частях здания; скажем, в одном месте есть трещинка, а в другом - нет.

    Наиболее точная симметрия осуществляется в мире кристаллов, но и здесь она неидеальная: невидимые глазом трещинки, царапины всегда делают равные грани слегка отличными друг от друга.

    Рис. 2.8

    На рис. 2.8 изображена детская бумажная вертушка. Она тоже симметрична, но плоскость симметрии через нее провести нельзя. В чем же тогда заключается симметрия этой фигурки? Прежде всего спросим себя о симметричных ее частях. Сколько их? Очевидно, четыре. В чем заключается правильность взаимного расположения этих одинаковых частей? Это также нетрудно заметить. Повернем вертушку на прямой угол против часовой стрелки, т. е. на 1/4 окружности: тогда крыло 1 встанет на то место, где было крыло 2, крыло 2 - на место 3, 3 - на место 4 и 4 - на место 1. Новое положение неотличимо от предыдущего. Про такую фигурку мы скажем так: она обладает осью симметрии, говоря точнее - осью симметрии 4-го порядка, так как совмещение происходит при повороте на 1/4 окружности.

    Итак, ось симметрии - это такая прямая линия, поворотом около которой на долю оборота можно перевести тело в положение, не отличимое от исходного. Порядок оси (в нашем случае 4-й) указывает, что такое совмещение происходит при повороте на 1/4 окружности. Следовательно, четырьмя последовательными поворотами мы возвращаемся в исходное положение.

    Встречаемся ли мы с симметрией любого типа в царстве кристаллов? Опыт показывает, что нет.

    В кристаллах мы встречаемся лишь с осями симметрии 2-, 3-, 4- и 6-го порядков. И это не случайно. Кристаллографы доказали, что это связано с внутренним строением кристалла. Поэтому число различных видов или, как говорят, классов симметрии кристаллов относительно невелико - оно равно.

    Строение кристаллов

    Почему так красива, правильна форма кристалла? Грани его, блестящие и ровные, выглядят так, как будто бы над кристаллом поработал искусный шлифовальщик. Отдельные части кристалла повторяют друг друга, образуя красивую симметричную фигуру. Эта исключительная правильность кристаллов была знакома уже людям древности. Но представления древних ученых о кристаллах мало отличались от сказок и легенд, сочиненных поэтами, воображение которых было пленено красотой кристаллов. Верили, что хрусталь образуется из льда, а алмаз - из хрусталя. Кристаллы наделялись множеством таинственных свойств: исцелять от болезней, предохранять от яда, влиять на судьбу человека...

    В XVII - XVIII веках появились первые научные взгляды на природу кристаллов. Представление о них дает рис. 2.9 , заимствованный из книги XVIII века. По мнению ее автора, кристалл построен из мельчайших "кирпичиков", плотно приложенных друг к другу. Эта мысль довольно естественна. Разобьем сильным ударом кристалл кальцита (углекислый кальций). Он разлетится на кусочки разной величины. Рассматривая их внимательно, мы обнаружим, что эти куски имеют правильную форму, вполне подобную форме большого кристалла - их родителя. Наверное, рассуждал ученый, и дальнейшее дробление кристалла будет происходить таким же образом, пока мы не дойдем до мельчайшего, невидимого глазом кирпичика, представляющего кристалл данного вещества. Эти кирпичики так малы, что построенные из них ступенчатые "лестницы" - грани кристалла - кажутся нам безукоризненно гладкими. Ну, а дальше, что же представляет собой этот "последний" кирпич? На такой вопрос ученый того времени ответить не мог.

    Рис. 2.9

    "Кирпичная" теория строения кристалла принесла науке большую пользу. Она объяснила происхождение прямых ребер и граней кристалла: при росте кристалла одни кирпичики подстраиваются к другим, и грань растет подобно стене дома, выкладываемой руками каменщика.

    Итак, ответ на вопрос о причине правильности и красоты формы кристаллов был дан уже давно. Причиной этого обстоятельства является внутренняя правильность. А правильность заключается в многократном повторении одних и тех же элементарных частей.

    Представьте себе парковую решетку, сделанную из прутьев разной длины и расположенных как попало. Безобразная картина. Хорошая решетка построена из одинаковых прутьев, расположенных в правильной последовательности на одинаковых расстояниях один от другого. Такую же самоповторяющуюся картину мы находим в обоях. Здесь элемент рисунка - скажем, девочка, играющая в мяч,- повторяется уже не в одном направлении, как в парковой решетке, а заполняет плоскость.

    Какое же отношение имеют парковая решетка и обои к кристаллу? Самое прямое. Парковая решетка состоит из звеньев, повторяющихся вдоль линии, обои - из картинок, повторяющихся вдоль плоскости, а кристалл - из групп атомов, повторяющихся в пространстве. Поэтому и говорят, что атомы кристалла образуют пространственную (или кристаллическую) решетку.

    Нам надо обсудить ряд деталей, относящихся к пространственной решетке, но чтобы не затруднять художника построением сложных объемных рисунков, мы объясним то, что нам надо, на примере куска обоев.

    На рис. 2.10 выделен тот наименьший кусок, простым перекладыванием которого можно составить все обои. Чтобы выделить такой кусок, проведем из любой точки рисунка, например из центра мячика, две линии, соединяющие выбранный мячик с двумя соседними. На этих линиях можно построить, как это видно на нашем рисунке, параллелограмм. Перекладывая этот кусочек в направлении основных исходных линий, можно составить весь рисунок обоев. Этот наименьший кусок может быть выбран по-разному: из рисунка видно, что можно выбрать несколько разных параллелограммов, каждый из которых содержит одну фигурку. Подчеркнем, что для нас в данном случае безразлично, будет ли эта фигурка целой внутри выделенного куска или разделенной на части линиями, ограничивающими этот кусок.

    Рис. 2.10

    Было бы неверным полагать, что, изготовив повторяющуюся на обоях фигурку, художник может считать свою задачу оконченной. Это было бы так лишь в том случае, если составление обоев можно было бы провести единственным способом - прикладыванием к данному кусочку, содержащему одну фигурку, другого такого же, параллельно сдвинутого.

    Однако кроме этого простейшего способа есть еще шестнадцать способов заполнения обоев закономерно повторяющимся рисунком, т. е. всего существует 17 типов взаимных расположений фигурок на плоскости. Они показаны на рис. 2.11. В качестве повторяющегося рисунка здесь выбрана более простая, но, так же как и на рис. 2.10, лишенная собственной симметрии фигурка. Однако составленные из нее узоры симметричны, и их различие определяется различием симметрии расположения фигурок.

    Рис. 2.11

    Мы видим, что, например, в первых трех случаях . рисунок не обладает зеркальной плоскостью симметрии -- нельзя поставить вертикальное зеркало так,; чтобы одна часть рисунка была "отражением" другой части. Напротив, в случаях 4 и 5 имеются плоскости симметрии. В случаях 8 и 9 можно "установить" два взаимно перпендикулярных зеркала. В случае 10 имеются оси 4-го порядка, перпендикулярные к чертежу, в случае 11 - оси 3-го порядка. В случаях 13 и 15 имеются оси 6-го порядка и т. д.

    Плоскости и оси симметрии наших рисунков выступают не поодиночке, а параллельными "семействами". Если мы нашли одну точку, - через которую можно провести ось (или плоскость) симметрии, то найдем быстро и соседнюю и далее на таком же расстоянии третью и четвертую и т. д. точки, через которые проходят такие же оси (или плоскости) симметрии.

    17 типов симметрии плоского узора не исчерпывают, конечно, всего разнообразия узоров, составляемых из одной и той же фигурки; художник должен указать еще одно обстоятельство: как расположить фигурку по отношению к граничным линиям ячейки. На рис. 2.12 показаны два узора обоев с той же исходной фигуркой по различно расположенной по отношению к зеркалам. Оба эти узора относятся к случаю 8.

    Рис. 2.12

    Каждое тело, в том числе и кристалл, состоит из атомов. Простые вещества состоят из одинаковых атомов, сложные - из атомов двух или нескольких сортов. Предположим, что мы могли бы в сверхмощный микроскоп рассмотреть поверхность кристалла поваренной соли и увидеть центры атомов. Рис. 2.13 показывает, что атомы расположены вдоль грани кристалла, как узор обоев. Теперь вы уже можете легко понять, как построен кристалл. Кристалл представляет собой "пространственные обои". Пространственные, т. е. объемные, а не плоские элементарные ячейки - это "кирпичи", прикладыванием которых друг к другу в пространстве строится кристалл.

    Рис. 2.13

    Сколько же способов построения "пространственных обоев" из элементарных кусков? Эта сложная математическая задача была решена в конце прошлого века Евграфом Степановичем Федоровым. Он доказал,; что должны существовать 230 способов построения кристалла.

    Все современные данные о внутреннем строении кристаллов получены при помощи рентгеноструктурного анализа, о котором мы расскажем в книге 4.

    Существуют простые кристаллы, построенные из атомов одного сорта. Например, алмаз - это чистый углерод. Кристаллы поваренной соли состоят из ионов двух сортов: натрия и хлора. Более сложные кристаллы могут быть построены из молекул, которые в свою очередь состоят из атомов многих сортов.

    Однако в кристалле всегда можно выделить наименьшую повторяющуюся группу атомов (в простейшем случае это будет один атом), иными словами, элементарную ячейку.

    Размеры ячейки могут быть весьма различными. Наименьшие расстояния между соседними узлами (вершинами ячейки) встречаются у простейших кристаллов, построенных из атомов одного вида, наибольшие - у сложных кристаллов белка. Расстояния колеблются от 2-3 до нескольких сот ангстремов (стомиллионных долей сантиметра).

    Кристаллические решетки очень разнообразны. Однако свойства, общие для всех кристаллов, безупречно объясняются решетчатым строением кристаллов. Прежде всего нетрудно понять, что идеально плоские грани - это плоскости, проходящие через узлы, в которых сидят атомы. Но узловых плоскостей можно провести сколько угодно по самым различным направлениям. Какие же из этих узловых плоскостей ограничивают выросший кристалл?

    Обратим внимание прежде всего на следующее обстоятельство: разные узловые плоскости и линии заполнены узлами не одинаково плотно. Опыт показывает, что кристалл огранен плоскостями, которые гуще всего уееяны узлами, плоскости же пересекаются по ребрам, в свою очередь наиболее густо заселенным узлами.

    Рис. 2.14 дает вид кристаллической решетки перпендикулярно к ее грани; проведены следы некоторых узловых плоскостей, перпендикулярных к чертежу. Из сказанного ясно, что у кристалла могут развиться грани, параллельные узловым плоскостям I и III, и не будет граней, параллельных редко усеянным узлами плоскостям II.

    Рис. 2.14

    В настоящее время известно строение многих сотен кристаллов. Расскажем про строение простейших кристаллов и прежде всего тех, которые построены из атомов одного сорта.

    Наиболее распространены три типа решеток. Они показаны на рис. 2.15. Точками изображены центры атомов; линии, объединяющие точки, не имеют реального смысла. Они проведены лишь для того, чтобы сделать читателю более ясным характер пространственного расположения атомов.

    Рис. 2.15

    Рис. 2.15, а и 2.15, б изображают кубические решетки. Чтобы представить себе эти решетки яснее, вообразите, что вы сложили простейшим способом - ребро к ребру, грань к грани -- детские кубики. Если теперь мысленно разместить точки по вершинам и центрам объемов кубов, то возникнет кубическая решетка, изображенная на левом рисунке. Такая структура называется кубической объемно-центрированной. Если разместить точки по вершинам кубов и в центрах их граней, то возникнет кубическая решетка, изображенная на среднем рисунке. Она называется кубической гранецентрированной.

    Третья решетка (рис. 2.15, в) называется плотней-шей гексагональной (т. е. шестиугольной). Чтобы понять происхождение этого термина и яснее представить себе расположение атомов в этой решетке, возьмем биллиардные шары и начнем укладывать их как можно плотнее. Прежде всего составим плотный слой - он выглядит так, как биллиардные шары, собранные "треугольником" перед началом игры (рис. 2.16). Отметим, что шар внутри треугольника имеет шесть соприкасающихся с ним соседей, и эти шесть соседей образуют шестиугольник. Продолжим укладку наложением слоев друг на друга. Если поместить шары следующего слоя непосредственно над шарами первого слоя, то такая упаковка была бы неплотной. Стараясь разместить в определенном объеме наибольшее число шаров, мы должны положить шары второго слоя в лунки первого, третьего слоя - в лунки второго и т. д. В гексагональной плотнейшей упаковке шары третьего слоя размещены так, что центры этих шаров лежат над центрами шаров первого слоя.

    Рис. 2.16

    Центры атомов в гексагональной плотнейшей решетке расположены так, как центры шаров, плотно уложенных описанным способом.

    В описанных трех решетках кристаллизуется множество элементов:

    Гексагональная плотнейшая упаковка..... Be, Co, Hf, Ti, Zn, Zr

    Кубическая гранецентрированная......... А1, Си, Со, Fe, Au, Ge, Ni, Ti

    Кубическая объемно-центрированная........ Cr, Fe, Li, Mo, Ta§ Ti, U, V

    Из других структур упомянем лишь немногие. На рис. 2.17 изображена структура алмаза. Для этой структуры характерно то, что атом углерода алмаза имеет четыре ближайших соседа. Сопоставим это число с соответствующими числами описанных только что трех наиболее распространенных структур. Как видно из рисунков, в плотнейшей гексагональной упаковке у каждого атома 12 ближайших соседей, столько же соседей у атомов, образующих гранецентрированную кубическую решетку; в объемно-центрированной решетке у каждого атома 8 соседей.

    Рис. 2.17

    Несколько слов скажем о графите, строение которого показано на рис. 2.18. Особенность этой структуры бросается в глаза. Графит состоит из слоев атомов, причем атомы одного слоя связаны между собой сильнее, чем атомы соседних слоев. Это связано с величиной межатомных расстояний: расстояние между соседями в одном слое в 2,5 раза меньше кратчайшего расстояния между слоями.

    Рис. 2.18

    Наличие слабо связанных атомных слоев приводит к тому, что кристаллы графита легко расщепляются вдоль этих слоев. Поэтому твердый графит может служить смазочным материалом в тех случаях, когда невозможно применять смазочные масла,- например, при очень низких или очень высоких температурах. Графит - твердый смазочный материал.

    Трение между двумя телами сводится, грубо говоря, к тому, что микроскопические выступы одного тела западают во впадины другого. Усилие, достаточное для того, чтобы расщепить микроскопический графитовый кристаллик, много меньше сил трении, поэтому наличие графитовой смазки значительно облегчает скольжение одного тела по другому.

    Бесконечно разнообразны структуры кристаллов химических соединений. Крайними - в смысле различий - примерами могут служить структуры каменной соли и двуокиси углерода, изображенные на рис. 2.19 и 2.20.

    Кристаллы каменной соли (рис. 2.19) состоят из чередующихся вдоль осей куба атомов натрия (маленькие темные шары) и хлора (большие светлые шары). Каждый атом натрия имеет шесть равноотстоящих соседей другого сорта. То же относится и к хлору. Но где же молекула хлористого натрия? Ее нет; в кристалле отсутствует не только группа из одного атома натрия и одного атома хлора, но и вообще какая бы то ни было группа атомов не выделяется своим сближением среди других.

    Рис. 2.19

    Химическая формула NaCl не дает нам оснований говорить, что "вещество построено из молекул NaCl". Химическая формула указывает лишь, что вещество построено из одинакового числа атомов натрия и хлора.

    Вопрос о существовании молекул у вещества решается структурой. Если в ней не выделяется группа близких атомов, то молекул нет.

    Кристалл углекислого газа С02 (сухого льда, который лежит в ящиках у продавщиц мороженого) - пример молекулярного кристалла (рис. 2.20). Центры атомов кислорода и углерода молекулы С02 расположены вдоль прямой линии (см. рис. 2.2). Расстояние С-О равно 1,3 A, а расстояние между атомами кислорода соседних молекул - около 3 A. Ясно, что при таких условиях мы сразу же "узнаем" молекулу в кристалле.

    Рис. 2.20

    Молекулярные кристаллы представляют собой плотные упаковки молекул. Чтобы это видеть, надо обрисовать контуры молекул. Это и сделано на рис. 2.20.

    Все органические вещества дают молекулярные кристаллы. Органические молекулы зачастую содержат многие десятки и сотни атомов (а о таких, которые состоят из десятков тысяч атомов, мы поговорим особо в отдельной главе). Изобразить их упаковку графически невозможно. Поэтому вы можете увидеть в книгах рисунки, подобные рис. 2.21.

    Рис. 2.21

    Молекулы этого органического вещества составлены из атомов углерода. Стерженьки символизируют валентные связи. Молекулы как бы висят в воздухе. Но не верьте глазам своим. Чертеж сделан таким лишь для того, чтобы можно было рассмотреть, как расположены молекулы в кристалле. Для простоты авторы рисунка даже не изобразили атомов водорода, присоединенных к внешним атомам углерода (впрочем, химики так делают очень часто). Тем более авторы не сочли нужным "оконтурить" молекулу - придать ей форму. Если это сделать, то мы увидели бы, что принцип упаковки молекул - ключ к замку - работает в этом случае, как и в других ему подобных.

    Поликристаллические вещества

    Мы уже говорили о том, что аморфные тела - это редкость в мире твердых тел. Большинство окружающих нас предметов состоит из маленьких кристаллических зернышек, размерами около одной тысячной доли миллиметра.

    Еще в прошлом веке зернистое строение металлов было обнаружено исследователями. Помог самый обычный микроскоп. Пришлось только приспособить его так, чтобы вести рассмотрение не "на просвет", а на отражение. Так поступают и сегодня.

    Картинка, которая представляется глазу, показана на рис. 2.22. Границы зернышек обычно видны совершенно отчетливо. Как правило, на этих границах скапливаются примеси.

    Рис. 2.22

    От величины зерен, от того, что делается на их границах, от ориентации зерен зависят в огромной степени свойства материала. Поэтому физики потратили очень много труда на изучение поликристаллических веществ. То, что каждое зерно является кристалликом, было доказано с помощью рентгеноструктурного анализа, о котором мы уже обещали рассказать читателю.

    Всякая обработка металла сказывается на его зернах. Вот получен кусок литого металла: зерна его расположены беспорядочно, размер их довольно велик. Из металла делают проволоку, протягивают ее. Как ведут себя при этом кристаллические зерна? Исследования показали, что изменение формы твердого тела при протягивании проволоки или при другой механической обработке вызывает раздробление кристаллических зерен. Одновременно под действием механических сил в их расположении появляется некоторый-порядок. О каком порядке может идти здесь речь? Ведь обломки зерен совершенно бесформенны.

    Это верно, внешняя форма обломка может быть какой угодно, но обломок кристалла есть все же кристалл: атомы в его решетке упакованы так же правильно, как и в хорошо ограненном кристалле. Поэтому в каждом обломке можно указать, как расположена его элементарная ячейка. До обработки ячейки строго упорядочены только в пределах каждого отдельного верна - общего порядка обычно нет. После же обработки зерна выстраиваются так, что в расположении их ячеек проступает некоторый общий порядок, называемый текстурой; например, диагонали ячеек всех зерен устанавливаются примерно параллельно направлению обработки.

    Рис. 2.23 помогает понять, что такое текстура. Ряды точек внутри зерен символизируют атомные плоскости. Слева - текстура отсутствует. Справа - порядок.

    Рис. 2.23

    Различные виды обработки (прокат, ковка, протяжка) приводят к текстурам различных типов. В одних случаях зерна поворачиваются так, что их элементарные ячейки выстраиваются вдоль направления обработки диагональю, в других случаях -ребром куба и т. д. Чем совершеннее прокат или протяжка, тем совершеннее и текстура кристаллических зерен металла. Наличие текстуры очень сильно влияет на механические свойства изделия. Изучение расположения и размеров кристаллических зерен в металлических изделиях пролило свет на сущность механической обработки металлов и указало, как следует правильно вести ее.

    С перестройкой кристаллических зерен связан и другой важнейший технический процесс - отжиг. Если нагревать прокатанный или протянутый металл, то при достаточно высокой температуре начинается рост новых кристаллов за счет старых. В результате отжига текстура постепенно разрушается; новые кристаллы располагаются беспорядочно. По мере повышения температуры (или просто при увеличении длительности отжига) новые зерна растут, старые исчезают. Зерна могут вырасти до видимых глазом размеров. Отжиг резко меняет свойства металла. Металл становится более пластичным, менее твердым. Это происходит потому, что зерна становятся крупнее и текстура исчезает.









     


    Главная | В избранное | Наш E-MAIL | Прислать материал | Нашёл ошибку | Верх