• Глава первая. Электродинамика движущихся сред и электронная теория
  • Электродинамика движущихся сред и электронная теория
  • Глава вторая. Теория относительности Эйнштейна
  • Критика механики Ньютона и геометрии Евклида
  • Дальнейшее развитие теории относительности
  • Глава третья. Возникновение атомной и ядерной физики
  • Открытие Рентгена
  • Открытие радиоактивности
  • Открытия П. и М. Кюри
  • Открытие квантов
  • Глава четвёртая. Первый этап революции в физике
  • Открытие радиоактивных преврещений. Идея атомной энергии
  • Развитие квантовой теории Эйнштейном
  • Ленинский анализ 'Новейшей революции в естествознании'
  • Глава пятая. Атом Резерфорда-Бора
  • Модели атома до Бора
  • Открытие атомного ядра
  • Атом Бора
  • Глава шестая. Становление советской физики
  • Исторические замечания
  • Радиотехника и радиофизика
  • Развитие теоретической физики советскими учёными
  • Развитие других направлений советской физики
  • Глава седьмая. Возникновение квантовой механики
  • Трудности теории Бора
  • Идеи де Бройля
  • Возникновение квантовой статистики
  • Открытие спина
  • Механика Гейзенберга и Шредингера
  • Глава восьмая. Развитие ядерной физики в 1918-1938 гг.
  • Начало атомной энергетики. Открытие изотопов
  • Расщепление ядра
  • История открытия нейтрона
  • История открытия нейтрона
  • Протонно-нейтронная модель ядра
  • Космические лучи. Открытие позитрона
  • Ускорители
  • Искусственная радиоактивность
  • Опыты Ферми
  • Теория в-распада Ферми
  • Открытие ядерной изомерии
  • Деление урана
  • Осуществление цепной реакции деления ядер
  • Часть III. Основные направления научной революции в физике XX в.

    Глава первая. Электродинамика движущихся сред и электронная теория

    Электродинамика движущихся сред и электронная теория

    Школа предоставила Майкельсону отпуск на два года, 1881-1882 гг.

    Во время этого отпуска Майкельсон построил в Берлине первую модель своего знаменитого интерферометра и произвел его испытание в лаборатории Гельмгольца. Вибрации, вызываемые большим движением шумного города, мешали нормальной работе чувствительного прибора. Майкельсон разобрал его и установил в Потсдаме на прочном кирпичном фундаменте большого телескопа. Результаты своего опыта он опубликовал в 1881 г. в статье «Относительное движение Земли и светоносного эфира». Никакого относительного движения обнаружить не удалось.

    Вернувшись в Америку, Майкельсон приступил к исполнению обязанностей профессора школы прикладной науки Кейса в Кливленде. Здесь он в сотрудничестве с профессором химии соседнего университета Эдвардом Морли (1838—1923) начал готовить повторение своего эксперимента. Предварительно они повторили опыт физо с измерением скорости света в движущейся воде и результаты опубликовали в 1886 г. в статье «Влияние движения среды на скорость света». Опыт с большой точностью подтвердил результат физо 1851 г. В этой же работе они определили коэффициент увлечения Френеля.

    Затем они повторили опыт по изучению влияния движения Земли на распространение света. Интерферометр был смонтирован на каменной плите толщиной 30 см. Плита плавала в ртути на кольцеобразной деревянной подставке. На ней было установлено четыре зеркала, так что общий оптический путь интерферирующих пучков в результате многократного отражения увеличивался до 11 м (почти в 10 раз больше, чем в первом опыте). Опыты были закончены в июле 1887 г. Результат оказался также отрицательным, ожидаемого смещения почти не наблюдалось. Статья Майкельсона и Морли «Об относительном движении Земли и светоносного эфира» была опубликована в 1887 г.

    Рис. 51. Схема опыта Майкельсона - Морли

    В этом же году Герц начал свои знаменитые опыты, а Майкельсон и Морли опубликовали еще одну работу «О методе использования длины волны света натрия в качестве естественного и практического эталона длины». Она предшествовала классическим опытам Майкельсона по сравнению эталона метра с длиной волны красной линии кадмия, которые Майкельсон проводил в Париже в 1892 г. К этому времени Майкельсон был уже профессором университета Кларка. После этих экспериментов он перешел в Чикагский университет, где в 1894 г. была открыта Райерсоновская физическая лаборатория. Здесь Майкельсон остался до конца своих дней, продолжая работы по изготовлению спектроскопических приборов большой разрешающей способности (эшелон Майкельсона), измерению диаметра звезд и опыты по новому определению скорости света.

    Майкельсон умер 9 мая 1931 г. За несколько месяцев до смерти, в январе 1931 г., он встретился на конференции в Пасадене с Эйнштейном.

    Опыт Майкельсона был подробно описан и проанализирован Г. А. Лоренцем в статье «О влиянии движения Земли на световые явления», опубликованной в «Известиях Амстердамской Королевской академии наук» в 1886 г. за год до опыта Майкельсона и Мор-ли. французский текст этой статьи был опубликован в 1887 г. Этой статьей Лоренц начал цикл своих работ, посвященных электродинамике и оптике движущихся сред. Ее содержание было повторено в лекциях по теоретической физике («Теория и модели эфира»), вышедших на немецком языке в 1907 г., на английском — в 1927 г., на русском — в 1936 г. В этой статье Лоренц указывал на ошибку в расчете Майкельсона: Майкельсон считал, что свет в направлении, перпендикулярном движению Земли, распространяется так же, как если бы Земля и аппарат были неподвижны. Исправив эту ошибку, Лоренц показал, что ожидаемое смещение полос должно быть значительно меньше, чем предполагал Майкельсон, и будет составлять только — часть ширины полосы, что ниже предела достоверной наблюдаемости. Но в 1887 г. Майкельсон и Морли сделали прибор значительно чувствительнее, и, как было уже сказано, результат был вновь отрицательным. Это противоречило всем сложившимся к тому времени теориям, за исключением теории, созданной в 1890 г. Герцем.

    В 1890 г. Герц опубликовал две статьи: «Об основных уравнениях электродинамики в покоящихся телах» и «Об основных уравнениях электродинамики для движущихся тел». Эти статьи содержали исследования о распространении «лучей электрической силы» и в сущности давали то каноническое изложение максвелловской теории электрического поля, которое вошло с тех пор в учебную литературу.

    В первой из этих статей Герц указывает, что теория Максвелла при своем зарождении была загромождена «лесами» (имеется в виду образ строительных лесов), которые необходимо было убрать. К числу таких лесов он относил и «господство вектор-потенциала в основных уравнениях». Его основные уравнения связывают непосредственно компоненты напряженностей электрических и магнитных полей, именно эти уравнения мы называем теперь «уравнениями Максвелла». Герц считает их фундаментальными законами, не выводимыми из каких-либо других фундаментальных принципов или с помощью воображаемых механизмов.

    Во второй статье Герц для получения уравнений электродинамики движущихся тел делает основное предположение, что эфир, находящийся внутри движущейся материи, движется одновременно с ней. Эта гипотеза полного увлечения эфира самым естественным образом объясняет отрицательный результат опыта Майкельсона. Однако она противоречит другим фактам: аберрации, опыту физо, опытам Рентгена и Эйхенвальда в электродинамике. Лоренц рассматривает оптические опыты в указанной выше статье, а также в большой программной работе 1895 г. «Опыт теории оптических и электрических явлений в движущихся телах». Этими работами Лоренц закладывает основы электронной теории.

    Гендрик Антон Лоренц родился 18 июля 1853 г. в небольшом голландском городе Арнхеме. Он учился в Лейденском университете, где в 1875 г. получил докторскую степень. Здесь он занимал пост профессора специально для него учрежденной кафедры теоретической физики. В 1912 г. Лоренц ушел на должность экстраординарного профессора кафедры и предложил своим преемником жившего тогда в России П. С. Эренфеста. Эренфест заведовал кафедрой в Лейдене с осени 1912 г. до своей трагической кончины осенью 1933 г. Лоренц в 1923 г. занял должность директора научного института в Гарлеме. С момента учреждения Сольвеевского фонда Лоренц был неизменным председателем Сольвеевских конгрессов. Скончался Лоренц 4 февраля 1928 г.

    В историю физики Лоренц вошел как создатель электронной теории, в которой синтезировал идеи теории поля и атомистики. Идея атома электричества, как мы знаем, начинается с фара-дея, с его законов электролиза.

    Максвелл в своем «Трактате» также приходит к идее атомного, или, как он выражается, молекулярного, заряда. Этот заряд он называет «молекулой электричества» и пишет, что «эта теория молекулярных зарядов может служить для выражения большого числа фактов электролиза; но,— добавляет Максвелл, — мало вероятно, чтобы к тому времени, когда мы познаем истинную природу электролиза, мы сохраним хоть что-нибудь из теории молекулярных зарядов; тогда у нас будет твердая основа для того, чтобы создать истинную теорию электрического тока и освободиться от этих представлений».

    Максвелл полагал, что в будущем полевые представления сделают излишними представления о дискретности заряда. Он ошибся. Наука сохранила и развила представление об атомности электричества. В 1874 г. ирландский физик Джонсон Стоней (1826—1911) самым решительным образом высказался в защиту представления об элементарном заряде. В докладе «О физических единицах природы», прочитанном на съезде Британской ассоциации в Белфасте, он говорил: «Наконец, природа дает нам одно, вполне определенное количество электричества, независимое от рассматриваемых тел. Чтобы выяснить это, я формулирую закон Фарадея в следующих выражениях, которые, как я покажу, придадут ему ясность. На каждую химическую связь, разорванную внутри электролита, приходится определенное, всегда одинаковое количество электричества, прошедшее через электролит. Это определенное количество электричества я назову E1. Если мы примем его за единицу электричества, мы, вероятно, сделаем весьма большой шаг в изучении молекулярных явлений». Позднее (1891) Стоней ввел название «электрон» для величины E1.

    В 1881 г. Гельмгольц в речи, посвященной фарадею, высказал его идею об атомности электричества в четко определенной форме: «Если мы допускаем существование химических атомов, то мы принуждены заключить отсюда далее, что также и электричество, как положительное, так и отрицательное, разделяется на определенные элементарные количества, которые играют роль атомов электричества». Это элементарное количество электричества Гельмгольц назвал электрическим зарядом иона. Стоней указал на свой приоритет в интерпретации закона Фарадея, однако, как мы видели, приоритет принадлежит самому фарадею.

    Следует отметить, что речь Гельмгольца сыграла очень важную роль в развитии представления об электрическом заряде, она фигурировала в многочисленных статьях и книгах как первоисточник этого представления, и, может быть, большая популярность Гельмгольца была причиной того, что собственные высказывания фарадея были по существу забыты.

    Лоренц начал вводить в теорию электричества атомистику еще в ранних своих работах. В теории Максвелла свойства среды, в которой разыгрываются электромагнитные и оптические явления, описываются феноменологически коэффициентами, определяемыми из опыта. Лоренц уже в докторской диссертации (1875) «Об отражении и преломлении лучей света» пытается обосновать изменение в скорости распространения света в среде влиянием наэлектризованных частичек тела. Под действием световой волны заряды молекул приходят в колебательное движение и становятся источниками вторичных электромагнитных волн. Эти волны, интерферируя с первичными, и обусловливают преломление и отражение света. Здесь уже намечены те идеи, которые приведут к созданию электронной теории дисперсии света.

    В следующей статье — «О соотношении между скоростью распространения света и плотностью и составом среды», опубликованной в 1878 г., Лоренц выводит знаменитое соотношение между показателем преломления и плотностью среды, известное под названием «формулы Лоренц — Лоренца», поскольку датчанин Л. Лоренц независимо от Гендрика Лоренца пришел к тому же результату. В этой работе Лоренц развивает электромагнитную теорию дисперсии света с учетом того, что на молекулярный заряд, кроме поля волны, действует поле поляризованных частиц среды.

    В 1892 г. Лоренц выступил с большой работой «Электромагнитная теория Максвелла и ее приложение к движущимся телам». В этой работе уже намечены основные контуры электронной теории. Мир состоит из вещества и эфира, причем Лоренц называет веществом «все то, что может принимать участие в электрических токах, электрических смещениях и электромагнитных движениях». «Все весомые тела состоят из множества положительно и отрицательно заряженных частиц, и электрические явления порождаются смещением этих частиц».

    Лоренц выписывает далее выражение силы, с которой электрическое поле действует на движущийся заряд. В векторной форме и в гауссовых единицах сила, действующая на единицу объема заряженного тела (плотность силы) со стороны поля, равна:

    Лоренц делает фундаментальное предположение — эфир в движении вещества участия не принимает (гипотеза неподвижного эфира). Это предположение прямо противоречило гипотезе Герца о полностью увлекаемом движущимися телами эфире. В предположении о неподвижном эфире Лоренц выводит, что скорость света в движущемся теле с показателем преломления v равна:

    где ? 0 — скорость света в покоящемся теле, р —скорость движения тела.

    Множитель

    есть в точности коэффициент увлечения, который был введен Френелем в теории аберрации и который был подтвержден опытами физо, Майкельсона и Морли.

    Таким образом, коэффициент увлечения, введенный Френелем, и опыт физо с движущейся водой интерпретируются Лоренцем как результат движения заряженных частиц вещества через неподвижный эфир. Однако об опыте Майкельсона и Морли Лоренц здесь ничего не говорит. Этому опыту он посвящает опубликованную в том же, 1892 г. заметку «Относительное движение Земли и эфира». В ней он описывает единственный, по его мнению, способ согласовать результат опыта с теорией Френеля, т. е. с теорией неподвижного эфира. Этот способ состоит в предположении, что линия, соединяющая две точки твердого тела, если она сначала была параллельна движению Земли, не сохраняет ту же самую длину, когда она затем поворачивается на 90°.

    Если, как указывает Лоренц, длина в перпендикулярном направлении была l, то в направлении движения она будет l(1 —а), и если

    ,

    где р —скорость Земли, v — скорость света, то отрицательный результат опыта Майкельсона становится объяснимым. Так появилось знаменитое сокращение Лоренца, которое, как выяснил Лоренц позже, было предложено также фицджеральдом.

    В своей статье Лоренц указывает, что его гипотеза не является невероятной и молекулярные силы, если они сводятся к электрическим, изменяются при движении тела через эфир так, что опыт Майкельсона становится объяснимым. Хотя Лоренц и понимает, что сведение молекулярных сил к электрическим является «чересчур смелым», он все же сохраняет гипотезу сокращения.

    Это очень существенный факт с исторической точки зрения. Если принять, что основной силой природы является сила Лоренца, к которой, за исключением тяготения, сводятся все известные в то время взаимодействия частиц, то вполне объяснимо сокращение размеров тел при движении, а тем самым и отрицательный результат опыта Майкельсона. Релятивистское изменение масштабов

    где ? = v/c, в теории Лоренца является следствием определенных физических предпосылок. Заметим, что электродинамика дала и другой релятивистский результат: зависимость массы и энергии. Этот результат был получен в 1881 г. двадцатипятилетним Джозефом Джоном Томсоном (1856— 1940) и опубликован в апреле 1881 г. в статье «Об электрическом и магнитном эффекте, обусловленном движением наэлектризованных тел».

    Томсон вычисляет поле заряженной сферы, движущейся с некоторой скоростью. Характер этого поля зависит от скорости: при малых скоростях электрическое поле шара совпадает с электростатическим, магнитное поле — c полем элемента тока. При увеличении скорости силовые линии электрического поля «сдуваются» в экваториальную плоскость, поле деформируется. Вместе с тем возникает дополнительная электромагнитная масса заряда, которая при малых скоростях равняется 2/3* (e)2/a , где е — заряд сферы в электромагнитных единицах, a — радиус сферы. При приближении скорости к скорости света масса возрастает до бесконечности. «Другими словами, — пишет Томсон, — невозможно возрастание скорости заряженных тел, движущихся через диэлектрик, до скорости, большей скорости света». Таким образом, и релятивистский вывод о предельном значении скорости света был получен еще за два года до рождения Эйнштейна.

    Итак, в конце XIX в. были получены важнейшие результаты специальной теории относительности: сокращение длин, зависимость массы от скорости, связь массы и энергии (с точностью до постоянного множителя), предельное значение скорости света. Но эти результаты были получены в предположении электромагнитной картины мира. Мир —это эфир, в котором плавают заряженные частицы. Законы мира: законы электродинамики Максвелла и механики Ньютона.

    Следовательно, электродинамика движущихся сред не вела с необходимостью к теории относительности, хотя исторически так и произошло. Опыт Майкельсона и релятивистские эффекты были следствием законов электродинамики Максвелла—Лоренца Более того, сами релятивистские преобразования, из которых вытекали все релятивистские эффекты, были получены в электродинамике за несколько лет до Эйнштейна.

    В 1895 г. вышла фундаментальная работа Лоренца «Опыт теории электрических и оптических явлений в движущихся телах». В этой работе Лоренц дает систематическое изложение своей электронной теории. Правда, слово «электрон» в ней еще не встречается, хотя элементарное количество электричества было уже названо этим именем. Лоренц просто говорит о заряженных положительно или отрицательно частичках материи — ионах и свою теорию соответственно называет «ионной теорией». «Я принимаю, — пишет Лоренц, — что во всех телах находятся маленькие заряженные электричеством материальные частицы (Massentcibchen) и что все электрические процессы основаны на конфигурации и движении этих «ионов». Лоренц указывает, что такое представление общепринято для явлений в электролитах и что последние исследования электрических разрядов показывают, что «в электропроводности газов мы имеем дело с конвекцией ионов».

    Другое предположение Лоренца заключается в том, что эфир не принимает участия в движении этих частиц и, следовательно, материальных тел, он неподвижен. Эту гипотезу Лоренц возводит к Френелю. Лоренц подчеркивает, однако, что речь идет не об абсолютном покое эфира, такое выражение он считает бессмысленным, а о том, что части эфира покоятся друг относительно друга и что все действительные движения небесных тел являются движениями относительно эфира.

    Электромагнитное состояние эфира описывается векторами диэлектрического смещения и напряженностью магнитного поля. Эти векторы Лоренц обозначает готическими буквами. Мы будем обозначать их латинскими буквами. Уравнения электронной теории Лоренца мы выпишем в той окончательной форме, которую Лоренц им придал в своей статье 1903 г. «Электронная теория», в «Энциклопедии математических наук» и в книге «Теория электронов». В свободном (не заполненном веществом) эфире

    в тех точках, где находятся заряды, распределенные с объемной плотностью р,

    Если заряды движутся со скоростью v, имеется уравнение непрерывности:

    Движение электричества и изменение электрического смещения во времени создают магнитное поле, описываемое уравнением:

    Другое основное уравнение, связывающее электрическое и магнитное поле:

    Далее Лоренц выписывает закон силы, ныне называемой силой Лоренца:

    Во всех этих уравнениях Лоренц пользовался рационализированной гауссовой системой единиц, введенной Хевисайдом, и уравнениями электромагнитного поля в той форме, которую им придал Герц. В своей статье «Опыт теории электрических и оптических явлений в движущихся телах» он еще применяет громоздкие обозначения и не до конца рационализированную систему единиц. Однако именно в этой статье впервые была написана система основных уравнений электронной теории. Хотя эти уравнения еще не приняли окончательную форму и самый термин «электронная теория» еще не употреблялся Лоренцем, именно работа 1895 г. является первым систематическим изложением электронной теории.

    Использованные Лоренцем рационализированные системы были введены английским физиком Оливером Хевисайдом (1850—1925). Хевисайд с 1885 г. публиковал в английском журнале «Электричество» («The Electrician») цикл статей по электромагнитной теории Их продолжение, печатавшееся частями, составило трехтомный труд «Электромагнитная теория». В нем Хевисайд широко использует векторный анализ, операционные методы и рациональные единицы. Во второй том он включил специальное приложение о рациональных единицах, где поместил свою переписку с Лоджем по этому вопросу и краткий отчет о дискуссии в «Электричестве» осенью 1895 г.

    Пропаганда Хевисайда в пользу рациональной системы встретила сильных противников, как показала дискуссия, о которой Хевисайд пишет во втором томе. Тем не менее Хевисайд считает, что то, что сделано, «представит вопрос рационализации в ином свете для некоторых народов». Голландец в лице Лоренца поддержал идею рационализации единиц, и Лоренц во всех своих трудах пользовался единицами Хевисайда. В принятой сегодня системе единиц СИ рациональная система соединена с практической.

    Возвратимся к Лоренцу и его «Опыту». Лоренц рассматривает уравнения электромагнитного поля в движущихся телах, переходя от неподвижных координат к подвижным. При этом Лоренц наряду с обычным временем t рассматривает чисто формальное «местное время»

    Уравнения поля при таком преобразовании оказываются, если пренебречь членами второго порядка относительно v/c, такими же, как и в неподвижной системе. Лоренц формулирует свой вывод следующим образом: «Пусть для покоящейся системы тел известно состояние движения, для которого Dx, Dy, Dz, Ех, Еу, Ez, Hx, Hy, Hz суть данные функции х, у, г, и t, тогда в той же системе, если она движется со скоростью р, существует состояние движения, в котором Dx', Dy', Dz', Ех, Еу, Ег, Hx', Ну', Нz' точно такие же функции х, у, z и t

    Применяя этот вывод к оптическим явлениям на движущейся Земле, Лоренц формулирует положение, которое позже стали называть принципом относительности первого порядка. «По нашей теории движение Земли не оказывает никакого влияния первого порядка на опыты с земными источниками света».

    Теория Лоренца объясняет кажущееся увлечение эфира движущейся жидкостью в опыте физо. Что же касается опыта Майкельсона, которому Лоренц посвящает три параграфа своей книги, то он находит свое объяснение в гипотезе Лоренца — фицдже-ральда о сокращении размеров в направлении движения в отношении

    Параграфы книги Лоренца (91 и 92), посвященные гипотезе, целиком приводит Лармор в своей книге «Эфир и материя»

    Джозеф Лармор, воспитанник Кембриджа, известен открытием так называемой «прецессии Лармора». Электрон, вращающийся по орбите, совершает в магнитном поле дополнительное, прецессиальное вращение вокруг силовых линий магнитного поля с угловой скоростью

    ? = (e/2m) H, где заряд е и напряженность магнитного поля H измерены в абсолютных электромагнитных единицах. С помощью этой прецессии Лармор объяснил нормальный эффект Зеемана.

    В вышедшей в 1900 г. книге «Эфир и материя» Лармор, так же как и Лоренц, рассматривает взаимоотношение материи и эфира. Так же как и у Лоренца, частицы материи у него «электрифицированы» и связь материальных частиц через эфир осуществляется электромагнитными силами. Но Лармор считает частицы материи особенностями в эфире, имеющими специфическую структуру. Ядро этого особого образования может двигаться в эфире, оставляя самый эфир неподвижным. Вместе с этим ядром движется и создаваемое им напряжение, характеризуемое вектором с компонентами f, g, h. Этот вектор не что иное, как вектор напряженности электрического поля. Другая особенность в эфире имеет вращательный характер и порождает вихревое поле, характеризуемое вектором с компонентами а, Ъ, с, который представляет собой не что иное, как вектор магнитной индукции. Связь между обоими полями выражается уравнениями Максвелла. Лармор показывает, что форма этих уравнений остается неизменной и для движущейся системы, если связь между координатами движущейся и неподвижной систем определяется уравнениями:

    Так в истории физики появляются преобразования, названные преобразованиями Лоренца. Лоренц их написал в 1904 г. и притом еще не совсем правильно. Лармор написал их именно в том виде, в котором они сегодня употребляются в специальной теории относительности. Более того, Лармор показывает, что скорость распространения световой волны в движущейся среде выражается не формулой V°~-^-, где п — показатель преломления, а более сложной, в которую входит скорость движения среды:

    Если скорость сложить со скоростью потока, то абсолютная скорость световой волны будет:

    Это релятивистская формула сложения скоростей. Как видим, она содержалась в книге Лармора более чем за пять лет до теории относительности Эйнштейна. Лармор, опираясь на свою формулу, дал истолкование опыту физо и коэффициенту увлечения Френеля. По формуле Лармора можно записать:

    Первые два члена дают для скорости света в движущейся среде величину:

    что объясняет опыт физо и дает коэффициент увлечения Френеля. «Оставшийся член, — пишет Лармор,— дает поправку второго порядка согласно нашей гипотезе, которая включает отрицательный результат опыта Майкельсона».

    Таким образом, Лармор полностью решил проблему электродинамики движущихся сред и объяснил все оптические эффекты: аберрацию, опыт физо, опыт Майкельсона. Он, так же как и Лоренц, приходит к выводу, что движение материальной системы через эфир изменяет незначительно ее размеры. Здесь он солидарен с фицджеральдом и Лоренцем.

    Лоренц стал развивать идеи, изложенные им в «Опыте теории электрических и оптических явлений в движущихся телах», совершенствуя и углубляя свою теорию. В 1899 г. он выступил со статьей «Упрощенная теория электрических и оптических явлений в движущихся телах», в которой упростил теорию, данную им в «Опыте», введя следующие преобразования:

    Эти результаты его не удовлетворили, и в 1904 г. он выступил с основополагающей статьей «Электромагнитные явления в системе, движущейся со скоростью, меньшей скорости света». Здесь Лоренц выписывает уравнения электронной теории в той современной форме, которая была дана им в 1903 г. в статье в «Математической энциклопедии» и которой еще не было в его работах 1895, 1899 гг. Он взял и новые преобразования координат и времени, записав их в виде:

    с - w

    Эти преобразования Лоренца значительно хуже преобразований Лармора( Почему-то Лоренц ни в преобразованиях 1899 г., ни в статье 1904 г. не вводит в формулу для x` время! ), и полной инвариантности уравнений электронной теории Лоренцу достигнуть не удалось, уравнение div d = p переходило в уравнение

    Лоренц в 1912 г., переиздавая эту работу, в примечаниях признал, что ему не удалось полностью совместить свою теорию с принципом относительности. «С этим обстоятельством,— писал Лоренц, — связана беспомощность некоторых дальнейших рассуждений в этой работе».

    В своей работе Лоренц делает ряд допущений. Важнейшими из них, кроме гипотезы неподвижного эфира, являются следующие: гипотеза об уравнениях преобразования координат и времени, гипотеза о деформации электрона. Лоренц считал, что неподвижный электрон имеет форму равномерно заряженной сферы, при движении же электрона «размеры в направлении движения уменьшаются в kl раз, а размеры в перпендикулярном движению направлении — в I раз». Далее Лоренц считает, что силы, действующие между независимыми частицами, «подвергаются изменению точно таким же образом, как электрические силы электростатической системы». Отсюда получается сокращение Лоренца— Фицджеральда и объяснение опыта Майкельсона.

    Движущийся электрон будет обладать инерцией. «В процессах, при которых возникает ускорение в направлении движения, электрон ведет себя так, как будто он имеет массу m1,2 а при ускорении в направлении, перпендикулярном к движению, так, как будто он обладает массой т2. Величинам m1, и m2 поэтому удобно дать название «продольной» и «поперечной» электромагнитной масс. Я полагаю, что, кроме этой, нет никакой «действительной» или «материальной» массы».

    Итак, масса, ньютоновское количество материи, стала электромагнитной, зависящей от скорости. У Лоренца продольная и поперечная массы соответственно равны:

    Заметим, что в работах Лоренца, в том числе в работе 1904 г., никакого принципа относительности не встречается. Позже, уже после создания теории относительности, он в своих лекциях о принципе относительности, прочитанных в 1910 и 1912 гг., писал после описания результата Майкельсона: «Все нулевые эффекты таких экспериментов могут быть объяснены из основных уравнений теории электронов, но для некоторых из них нужно прибегнуть к помощи дополнительных гипотез». Это Лоренц и сделал в своей работе 1904 г. и более ранних работах 1887 и 1895 гг.

    Знаменитый французский математик и астроном Анри Пуанкаре (1854— 1912) в 1900 г. на Парижском конгрессе физиков порицал Лоренца за пренебрежение принципом относительности. Сам он в опубликованной в 1905 г. статье «К динамике электрона» указывает, что нулевой результат опыта по обнаружению движения Земли «представляет, по-видимому, общий закон природы».

    Пуанкаре пишет преобразования Лоренца в виде:

    где s — скорость движения системы, измеренная в единицах скорости света.

    Пуанкаре доказывает, что преобразования Лоренца образуют группу, при этом I оказывается равным 1. Пуанкаре принадлежит и само название «преобразования Лоренца». Изучая следствия из этих преобразований, Пуанкаре находит формулу сложения скоростей, формулу преобразований напряженностей электрического и магнитного полей, плотности заряда, плотности тока и по существу уже получает четырехмерную релятивистскую электродинамику.

    Важно, однако, подчеркнуть, что Лоренц, Лармор, Пуанкаре развили свои теории на базе классической электродинамики, опираясь на концепцию эфира. Их интересовало объяснение на этой основе фундаментальных опытов оптики и электродинамики движущихся сред. Им удалось найти такое объяснение и подходящий математический аппарат. Но будет ли пригодно это объяснение для неэлектромагнитных сил, этого они не знали. До понимания принципа относительности как всеобщего закона природы они еще не дошли.( Ближе всех к этому подошел Пуанкаре. В статьях «Наука и гипотеза» (1903), «Ценность науки» (1904) он подробно рассматривает принцип относительности среди других фундаментальных законов. Но, как он сам говорил в Геттингенской лекции о новой механике, эти соображения высказывались им в чисто философском плане. Еще в 1904 г. Пуанкаре допускал возможность существования скоростей, больших скорости света. ) Вопрос о постоянстве и особенно предельном значении скорости света, имеющий фундаментальное значение для разработки новых представлений о пространстве и времени, ими не поднимался. Глубокое понимание принципа относительности и выработка в связи с этим новых представлений о пространстве и времени принадлежат Эйнштейну, который и является подлинным создателем теории относительности.

    Глава вторая. Теория относительности Эйнштейна

    Критика механики Ньютона и геометрии Евклида

    Электродинамика движущихся сред в теории электронов вела ко многим радикальным выводам, прежде всего к крушению представления о неизменных твердых частичках. Твердых тел и неизменных частиц в природе нет, форма и размеры тел и частиц зависят от скорости движения. От скорости тел зависит и масса частиц, которая обусловлена инерциальным свойством окружающего частицу электромагнитного поля. Именно этот новый взгляд на природу массы и заставил говорить об «исчезновении» материи.

    Все это были, конечно, весьма радикальные изменения в физических воззрениях, ведущие к дальнейшему отходу от привычных представлений, от «явного для нас» ко все более «неявному для нас», новому, непривычному. Но вместе с тем электродинамика и электронная теория оставляли неизменным основное представление классической физики о пространстве и времени. Геометрия оставалась евклидовой, время, как у Ньютона, текло повсюду равномерно, само по себе.

    И хотя у Лармона, Лоренца, Пуанкаре время преобразовывалось при переходе от одной системы к другой, это преобразование носило чисто формальный характер и ни в малейшей степени не затрагивало основных представлений о пространстве и времени, которые оставались незыблемыми со времен Ньютона.

    Как мы только что сказали, ньютоновские представления о пространстве и времени оставались в физике незыблемыми. Но это вовсе не значит, что наука не подвергала критике эти представления. Наоборот, в развитии математических и физических наук были моменты, когда наука сомневалась в истинности «вечных» положений и противопоставляла им новые, коренным образом отличающиеся от них положения. Так было в истории геометрии.

    Система аксиом и теорем казалась логически такой совершенной и интуитивно такой очевидной, что сомневаться в ее истинности не приходило в голову. Ньютон положил ее в основу своей механики. Его фундаментальное понятие абсолютного, однородного, пустого пространства, являющегося вместилищем всех тел, было евклидовым пространством. Знаменитый немецкий философ Иммануил Кант считал аксиомы геометрии Евклида врожденными.

    Но в системе Евклида был слабый пункт, так называемый пятый постулат, или аксиома о параллельных. Этот постулат уму математиков представлялся не столь уже очевидным, чтобы его можно было считать «врожденной» истиной. Математики древности и нового времени приложили немало усилий, чтобы «доказать» пятый постулат, но тщательный анализ «доказательства» показал, что вместо евклидового постулата пришлось принять новое, эквивалентное старому, допущение.

    И вот казанский математик, гениальный русский ученый Николай Иванович Лобачевский (1792—1856) в 1826 г. пришел к смелому выводу, что взамен пятого постулата можно выдвинуть другой, противоположный ему, и тем не менее создать логически непротиворечивую геометрию, отличающуюся от евклидовой. Это была новая, неевклидова геометрия, столь же истинная, как и евклидова, хотя описывающая совершенно новое, неевклидово пространство.

    Вопрос о том, какая же геометрия более соответствует действительности, как полагал Лобачевский, может быть решен только опытом. Это означало, что геометрические истины не являются врожденными, а приобретаются опытом, имеют только опытное происхождение. Это был очень важный шаг в развитии представлений о пространстве, в развитии самого научного мышления. Английский математик В.Клиффорд назвал Лобачевского «Коперником геометрии», а его научную деятельность оценил как подвиг.

    Когда наступает время, научная идея рождается в нескольких головах. Современники Лобачевского — венгерский математик Янош Больяй (1802— 1860) и старший их современник, знаменитый математик К ф. Гаусс — пришли к аналогичным идеям. Гаусс, правда, ничего не публиковал по этому вопросу при жизни, опасаясь, как он выражался, «крика беотийцев», т. е. невежественных, но горластых людей, однако он высоко ценил работы Лобачевского и Больяй и писал, что сам пришел к таким же идеям.

    Большую роль в развитии новых взглядов на пространство сыграл немецкий математик Бернгард Риман (1826—1866), который произнес в 1854 г., т. е. еще при жизни Лобачевского, Гаусса и Больяй, речь «О гипотезах, лежащих в основании геометрии». Риман здесь со всей четкостью подчеркивает, что «предположения геометрии не выводятся из общих свойств протяженных величин и что, напротив, те свойства, которые выделяют пространство из других, мыслимых трижды протяженных величин, могут быть почерпнуты не иначе, как из опыта».

    Риман рассматривает пространство n измерений и определяет длину элемента линии в этом пространстве выражением:

    В случае, если все g(ik) = 0 для i +k, пространство будет плоским, или n -мерным евклидовым пространством. В других случаях пространство будет искривленным и кривизна его определяется коэффициентами g(ik). Если кривизна положительна, то пространство называют римановым сферическим пространством, если отрицательна, то пространство будет псевдосферическим пространством Лобачевского.

    Итак, к середине XIX столетия математическая мысль пришла от обычного трехмерного евклидового плоского пространства к многомерному искривленному пространству. Наступила очередь критики ньютоновской концепции пространства и времени физиками. Наиболее резкой критике основные понятия механики Ньютона подверглись со стороны австрийского физика и философа Эрнста Маха (1838— 1916).

    Мах был профессором в Праге, когда в 1883 г. появилась его «Механика», носящая подзаголовок «Истоико-критический очерк ее развития». Критикуя концепцию абсолютного времени Ньютона, Мах замечает, что ньютоновское абсолютное время «не может быть измерено никаким движением и поэтому не имеет никакого ни практического, ни научного значения». «...Время, — говорит Мах, — есть абстракция, к которой мы приходим через посредство изменения вещей: .. наши представления о времени получаются вследствие взаимной зависимости вещей».

    Время у Ньютона отделено от мира, оно существует независимо от вещей, у Маха оно неразрывно связано с вещами. «В наших представлениях времени находит свое выражение самая глубокая и самая общая связь вещей», — пишет Мах. Но эта совершенно правильная мысль у Маха искажается его субъективной идеалистической философией. Оказывается, что к представлению времени мы приходим, как пишет Мах, «через посредство связи содержания поля наших воспоминаний с содержанием поля наших восприятий».

    И здесь Мах идет назад от Ньютона, у которого время (и пространство) объективно, существует независимо от нас, от наших восприятий и воспоминаний. У Маха идеалистическая философия вступает в противоречие с его материалистическими естественнонаучными представлениями. «Мах и Авенариус совмещают в своей философии основные идеалистические посылки и отдельные материалистические выводы»,( Ленин В И Материализм и эмпириокритицизм. — Поли. собр. соч., т. 18, с. 59. ) — пишет Ленин, показывая эклектичность философии Маха. И далее: «... Мах забывает свою собственную теорию и, начиная говорить о различных вопросах физики, рассуждает попросту, без идеалистических выкрутас, т. е. материалистически».( Ленин В И Материализм и эмпириокритицизм. — Поли. собр. соч., т. 18, с. 59. ) физик Мах идет дальше Ньютона, рассматривая пространство и время в тесной связи с реальными вещами и процессами, и он идет назад от Ньютона, когда сводит дело к субъективным переживаниям и ощущениям.

    Приводя высказывания Ньютона об абсолютном и относительном пространстве, абсолютном и относительном движении, Мах пишет: «Об абсолютном пространстве и абсолютном движении никто ничего сказать не может; это чисто абстрактные вещи, которые на опыте обнаружены быть не могут. Все наши основные принципы механики представляют собой... данные опыта об относительных положениях и движениях тел». Понимая, что механика имеет дело с относительными движениями, Мах в своей книге не уделяет никакого внимания принципу относительности и проходит мимо принципа относительности Галилея. Он говорит, что относительные «движения в мировой системе, и с точки зрения учения Птолемея, и с точки зрения учения Коперника, одни и те же. Оба ученья также одинаково правильны, но последнее только проще и практичнее». Когда позже эту мысль высказывали некоторые ревностные релятивисты, то они забывали упомянуть, что она была высказана задолго до возникновения теории относительности человеком, весьма скептически отзывавшимся об этой теории, — Эрнстом Махом.

    Мах, выбрасывая абсолютное пространство и абсолютное движение, по-новому смотрит на закон инерции. «Отношение земных тел к земле может быть сведено к их отношению к отдаленным небесным телам. Если бы мы стали утверждать, что мы о движущихся телах знаем больше, чем это данное в опыте отношение их к небесным телам, мы поступили бы нечестно. Поэтому если мы говорим, что тело сохраняет свое направление и скорость в пространстве, то в этом заключается только краткое указание на то, что принимается во внимание весь мир».

    Эйнштейн позже писал, что «Мах ясно понимал слабые стороны классической механики и был недалек от того, чтобы прийти к общей теории относительности». Но Мах не пришел ни к общей, ни к специальной теории относительности. Он не сумел связать механику с идеями поля, с фактом конечной скорости распространения взаимодействия.

    Принцип Маха, согласно которому движение тела, в том числе и инерциальное движение, определяется взаимодействием на него всех масс Вселенной, предполагает мгновенное воздействие, т. е. силы дальнодействия. Таким образом, критика Махом ньютоновской механики сыграла роль в формировании взглядов Эйнштейна, как об этом писал сам Эйнштейн в письме к Маху. Позитивного перехода к новой механике Мах не нашел.

    Ньютоновскую механику попытался подвергнуть ревизии и Герц. В его последнем сочинении «Принципы механики, изложенные в новой связи», вышедшем уже после смерти автора, в 1894 г., он попытался изложить механику, исключая понятие силы. Система механики Герца «исходит» из трех независимых представлений-из представлений времени, пространства и массы. Наряду с обычными, чувственно воспринимаемыми массами Герц вводит скрытые, неощутимые массы. Основной принцип механики Герц формулирует в следующем виде: «Каждое естественное движение самостоятельной материальной системы состоит в том, что система движется с постоянной скоростью по одному из своих прямолинейных путей. Под влиянием связей движение отступает от этого естественного движения, но все действительные движения, по крайней мере, приближаются к этому движению настолько, насколько это возможно».

    В предисловии к книге Герц писал, что он «очень обязан прекрасной книге о развитии механики Маха». В свою очередь, Мах в предисловии к третьему изданию своей «Механики» в январе 1897 г. писал: «Механика в настоящее время обнаруживает как будто тенденцию вступить в новые отношения к физике, что в особенности обнаруживается в работе Г. Герца». Но ни Маху, ни Герцу не удалось преобразовать механику и поставить ее «в новые отношения к физике». Это удалось сделать лишь Эйнштейну.

    Эйнштейн. Альберт Эйнштейн родился 14 марта 1879 г. в Ульме (Германия) в семье мелкого коммерсанта Германа Эйнштейна. Отец в поисках более обеспеченного и устойчивого существования часто переезжал с семьей из города в город, из страны в страну. Альберт не получил законченного среднего образования и в 16 лет пытался поступить в Высшую техническую школу в Цюрихе (Швейцария) Провалившись на вступительных экзаменах, он поступил в кантональную среднюю школу в швейцарском кантоне Аарау. Окончив эту школу в 1896 г., он поступил в ту же Цюрихскую Высшую политехническую школу на педагогический факультет. Учился Эйнштейн неровно. Он не любил обязательных занятий и экзаменов и предпочитал заниматься тем, что его интересовало. Он получил диплом об окончании школы 2 августа 1900 г. По окончании школы для Эйнштейна наступили трудные дни. Семья, жившая в Италии, не могла больше высылать ему средств, ее положение было не блестящее, к тому же в 1902 г. умер отец. Эйнштейну пришлось думать о заработке. Он пробовал заняться педагогической деятельностью. С мая 1901 г. он несколько месяцев преподавал математику в техникуме города В интертура. В этом же году он опубликовал свою первую работу «Следствия из явлений капиллярности». Потом он проработал несколько месяцев в качестве репетитора и лишь в 1902 г. получил постоянную должность технического инспектора в Швейцарском патентном бюро в Берне. Эту должность он занимал с 23 июня 1902 г. по 15 октября 1909 г. Именно здесь, в Берне, будучи скромным служащим бюро патентов, Эйнштейн стал знаменитым ученым.

    Первые работы Эйнштейна были , посвящены молекулярной физике и термодинамике. В ходе этих исследований Эйнштейн создал теорию броуновского движения, о существовании которого в то время не знал. Статья по этому вопросу—«Новое определение размеров молекул» — появилась в 1905 г. В этом же году в 17-м томе «Annalen der Physik» появилась статья — «Об одной эвристической точке зрения, касающейся возникновения и превращения света», посвященная квантовым свойствам света; в том же томе была опубликована еще одна статья — «К электродинамике движущихся сред», —содержащая основы специальной теории относительности. Каждой из этих трех статей было достаточно, чтобы обессмертить имя их автора.

    В январе 1906 г. Эйнштейн защищает докторскую диссертацию «Новое определение размеров молекул» — первая статья из цикла работ Эйнштейна по броуновскому движению, напечатанных им в 1905-1908 гг. В 1907 г. Эйнштейн создает квантовую теорию теплоемкости.

    В 1908 г. Эйнштейн был утвержден приват-доцентом Бернского университета. В 1909 г. он был избран экстраординарным профессором Цюрихского университета и расстался с бюро патентов.

    В апреле 1911 г. Эйнштейн переехал в Прагу профессором теоретической физики. Через год он снова вернулся в Цюрих, на этот раз профессором Высшей технической школы, в которой когда-то учился. Здесь он пробыл до апреля 1914 г., когда после избрания членом Прусской Академии наук в Берлине переехал в Берлин. Здесь он создал общую теорию относительности, произвел совместно с де Гаазом знаменитый опыт по доказательству существования молекулярных токов Ампера (эффект Эйнштейна—де Гааза). В 1922 г. Эйнштейну была присуждена Нобелевская премия.

    В 20-е годы началась травля Эйнштейна нацистами. После прихода нацистов к власти Эйнштейн вышел из состава Прусской Академии наук и уехал из Германии. Он принял предложение Принстонского института высших исследований США и с апреля 1933 г. стал членом этого института.

    Эйнштейну пришлось дожить до трагической реализации выведенного им соотношения между массой и энергией. Именно Эйнштейн в 1939 г. подписал письмо президенту Рузвельту о необходимости форсировать работы по атомной энергии.

    Эйнштейн тяжело переживал трагедию Хиросимы и Нагасаки. До самой смерти, последовавшей 18 апреля 1955 г., он призывал к миру, к борьбе за предотвращение атомной войны.

    Основополагающая работа Эйнштейна по теории относительности называется «К электродинамике движущихся сред». Название статьи показывает, что она была задумана в русле электродинамики движущихся сред, и вторая часть статьи содержит преобразование уравнений электродинамики Максвелла — Герца для вакуума. Однако основное содержание работы Эйнштейна далеко выходит за рамки электродинамики и содержит новый подход к проблеме пространства и времени. Этим подходом и широкой общей точкой зрения на все, а не только электромагнитные, физические явления статья Эйнштейна существенно отличается от работ Лармора, Лоренца, Пуанкаре и других исследователей по электродинамике движущихся сред.

    Ближе всего к Эйнштейну подошел Пуанкаре. Однако Пуанкаре был непоследовательным в своих выводах Сформулировав еще в 1902 г. принцип относительности как универсальный закон природы, Пуанкаре полагал вполне возможным отказ от него при наличии новых экспериментальных фактов, опровергающих «постулат относительности». Этим он по существу становился на точку зрения противников теории относительности, жаждавших ее экспериментального опровержения.

    Лишь Эйнштейн понял, что принцип относительности — закон такой же абсолютной силы, как закон сохранения энергии. С таких позиций поиски опытов, оправдывающих теорию относительности, равносильны попыткам построить вечный двигатель Опыт Майкельсона и его аналоги не могут удасться, так как противоречат теории относительности.

    Основы этой теории и закладывает Эйнштейн в своей статье. В самом начале статьи Эйнштейн говорит о явлении электромагнитной индукции, которая «зависит ... только от относительного движения проводника и магнита». «Примеры подобного рода, — продолжает Эйнштейн, — как и неудавшиеся попытки обнаружить движение Земли относительно «светоносной среды», ведут к предположению, что не только в механике, но и в электродинамике никакие свойства явлений не соответствуют понятию абсолютного покоя и даже, более того, к предположению, что для всех координатных систем, для которых справедливы уравнения механики, справедливы те же самые электродинамические и оптические законы, как это уже доказано для величин первого порядка. Это предположение (содержание которого в дальнейшем будет называться «принципом относительности») мы намерены превратить в предпосылку и сделать, кроме того, добавочное допущение, находящееся с первым лишь в кажущемся противоречии, а именно, что свет в пустоте всегда распространяется с определенной скоростью V, не зависящей от состояния движения излучающего тела. Эти две предпосылки достаточны для того, чтобы, положив в основу теорию Максвелла для покоящихся тел, построить простую, свободную от противоречий электродинамику движущихся тел.

    Введение «светйносного эфира» окажется при этом излишним, поскольку в предлагаемой теории не вводится «абсолютно покоящееся пространство», наделенное особыми свойствами, а также ни одной точке пустого пространства, в котором протекают электромагнитные процессы, не приписывается какой-нибудь вектор скорости».

    Рис.52. Титульный лист 17 номера, в которой была помещена статья Эйнштейна

    Эйнштейн указывает далее, что теория развивается «на кинематике твердого тела, так как суждения всякой теории касаются соотношений между твердыми телами (координатными системами), часами и электромагнитными процессами. Недостаточное понимание этого обстоятельства является корнем тех трудностей, преодолевать которые приходится теперь электродинамике движущихся тел».

    Мы привели почти целиком введение Эйнштейна к его классической работе «К электродинамике движущихся сред». В нем очень ясно и четко изложены основные идеи этой работы, отличающие ее коренным образом от всех предшествующих работ по электродинамике движущихся сред. Во главу угла ставится принцип относительности и принцип постоянства скорости света. Упраздняется «светоносный эфир», без которого не могли обойтись ни Максвелл, ни Герц, ни Лармор, ни Лоренц, ни Пуанкаре. И наконец, указывается, что всякая физическая теория основана на соотношениях между твердыми телами, часами и электромагнитными процессами (здесь Эйнштейн имеет в виду распространение света).

    Однако Эйнштейн ни слова не говорит о своих предшественниках. Что он читал по электродинамике движущихся сред? Какие неудавшиеся попытки обнаружить движение Земли он имеет в виду? Что он имеет в виду, когда говорит о том, что принцип относительности уже доказан «для величин первого порядка»? Ответить на эти вопросы трудно. Во всей статье Эйнштейна нет ни одной ссылки на литературу. Позднее Эйнштейн утверждал, что он не знал об опыте Майкельсона, когда писал свою работу. Но если он читал работу Лоренца 1895 г., где доказан принцип относительности первого порядка, о чем он здесь упоминает, то он не мог не знать об опыте Майкельсона. Эйнштейн указывал, что он думал над проблемой теории относительности десять лет, начав размышлять еще шестнадцатилетним юнцом. Эти долгие размышления и были главным источником работы. Эйнштейн указывал, что на него наибольшее влияние из опытных фактов оказали во время этих размышлений аберрация и опыты по измерению скорости света в движущейся воде. Этого было, по его мнению, достаточно.

    Следует отметить, что все новые работы Эйнштейна изложены так, что производят впечатление здания, построенного на пустыре: никаких ссылок, никаких указаний на работы предшественников. Публикуя работы по статистической физике, Эйнштейн не знает о существовании статистики Гиббса, публикуя статью по теории броуновского движения, Эйнштейн не знает, что такое движение действительно существует. Поэтому вполне вероятно, что он не знал об опыте Майкельсона и основополагающей работе Лоренца. Но вместе с тем его введение не оставляет сомнения в том, что ему были известны отрицательные результаты попыток обнаружить движение Земли, существование принципа относительности первого порядка. Наконец, его заявление об эфире показывают, что он выступает против концепции абсолютного неподвижного пространства и, таким образом, присоединяется к точке зрения Маха, критикующего эту концепцию Ньютона.

    Все это показывает, что у Эйнштейна были предшественники, о результатах исследований которых он так или иначе был осведомлен. При всей новизне и оригинальности подхода работа Эйнштейна была органически связана с исследованиями по электродинамике движущихся тел, что подчеркнул и сам Эйнштейн не только заглавием, но и целевой установкой своей статьи. Статья Эйнштейна появилась вовремя, она отвечала насущным вопросам физики своего времени.

    Статья Эйнштейна состоит из двух частей. Первая, кинематическая часть составляет основы новой теории пространства и времени, вторая часть — электродинамическая — содержит применение теории относительности к электродинамике движущихся тел.

    Кинематическая часть начинается с определения одновременности. Эйнштейн описывает метод синхронизации разделенных пространственно часов с помощью световых сигналов, приводящий к определению понятий «одновременность» и «время».

    Следует отметить, что метод синхронизации часов с помощью световых сигналов был предложен А. Пуанкаре в 1900 г. Часы, синхронизированные таким образом, показывают, по мнению Пуанкаре, не «действительное», а «местное» время t`=t - (vx)/(c)2

    Это различие «местного» и «действительного» времени указывает на непоследовательность Пуанкаре в трактовке времени и отличает эту трактовку от трактовки Эйнштейна. У Эйнштейна нет никакого «действительного» времени, отличного от времени, определенного синхронизированными часами. В этом пункте он категорически порывает с концепцией абсолютного времени Ньютона, текущего «само по себе».

    Дальнейшую свою теорию Эйнштейн развивает на основе двух постулатов:

    «1. Законы, по которым изменяются состояния физических систем, не зависят от того, к которой из двух координатных систем, движущихся относительно друг друга равномерно и прямолинейно, эти изменения состояния относятся.

    2. Каждый луч света движется в «покоящейся» системе координат с определенной скоростью V независимо от того, испускается ли этот луч света покоящимся или движущимся телом».

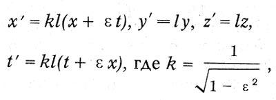
    Эти постулаты: принцип относительности и принцип постоянства скорости света—являются основой теории относительности Эйнштейна. Исходя из них, Эйнштейн получает относительность длин и относительность одновременности. Эйнштейн выводит далее из этих постулатов формулы преобразования координат и времени, которые, по предложению Пуанкаре, называются преобразованиями Лоренца, хотя исторически их вернее назвать преобразованиями Лармора — Эйнштейна. Лармор впервые постулировал их в 1900 г. Эйнштейн впервые вывел их в 1905 г. В обозначениях Эйнштейна эти формулы имеют следующий вид:

    где х, у, z, t— координаты и время точки в покоящейся системе (покоящейся системой Эйнштейн называет систему, в которой справедливы законы Ньютона), ?, ?, ?, ? —координаты и время в системе, движущейся равномерно и прямолинейно вдоль оси х со скоростью v.

    Из этих преобразований получаются сокращение масштабов и замедление хода часов. Сокращения Лоренца- фицджеральда получаются автоматически, как свойство пространства и времени, а не как результат действия каких-то сил, как в теории Лоренца.

    Далее Эйнштейн получает закон сложения скоростей:

    Для случая, когда составляющие скоростей v и w параллельны друг другу и параллельны оси х, формула принимает вид:

    Отсюда следует, что при сложении результирующая скорость и всегда меньше скорости света V и что скорость света, сложенная с любой скоростью, дает одно и то же значение V.

    Во второй части статьи Эйнштейн находит уравнения преобразования для компонент электрического и магнитного поля, закон аберрации и принцип Доплера. Статья заканчивается очерком динамики слабо ускоренного электрона. Здесь Эйнштейн приводит выражения для продольной и поперечной массы и законы движения электрона в электрическом и магнитном полях.

    К статье 1905 г. примыкает небольшая заметка, опубликованная в 18-м томе «Annalen der Physik» за тот же 1905 г. Заметка называется «Зависит ли инерция тела от содержащейся в нем энергии». Эйнштейн приходит к выводу, что при испускании телом энергии L его масса уменьшается на L/(v)2 Отсюда он делает вывод весьма общего характера: «Масса тела есть мера содержащейся в нем энергии; если энергия изменяется на величину L, то масса меняется соответственно на величину L/(9-1020), причем здесь энергия измеряется в эргах, а масса в граммах».

    Так впервые появляется у Эйнштейна знаменитое соотношение между массой и энергией, которое сегодня обычно записывается формулой

    Этот результат был получен Эйнштейном при рассмотрении излучения. «Если теория соответствует фактам, — говорит Эйнштейн в заключение, — то излучение переносит энергию между излучающими и поглощающими телами».

    В 1906 г. Эйнштейн выступил со статьей «Закон сохранения движения центра тяжести и инерция энергии». Здесь он обосновывает соотношение между массой и энергией с помощью мысленного эксперимента. В пустом ящике имеются два одинаковых тела: излучатель и приемник. При излучении телом, находящимся у левой стенки ящика А, света на стенку будет действовать реакция светового давления, в результате которой ящик массой М движется со скоростью — 1/V*S/M,

    где S — излучаемая энергия, V— скорость света. Ящик движется с этой скоростью до тех пор, пока энергия S не поглотится телом В у противоположной стенки. За это время ящик передвинется влево на расстояние 5= (1/V)*(S/M)*(a/V) где a - расстояние АВ

    Так как тела А и В одинаковы, то с помощью невесомого передаточного механизма они могут быть переставлены, и тело В затем отдаст полученную им энергию. Таким путем без затраты энергии ящик М может быть передвинут как угодно далеко неоднократным повторением процесса. «Ясно, — пишет Эйнштейн, — что полученный результат не содержит внутреннего противоречия, но он противоречит основным законам механики, согласно которым первоначально покоящееся тело, на которое не действуют другие тела, не может перемещаться»

    Это противоречие устраняется, если предположить, что излучение обладает массой т. Когда излучение проходит расстояние а, то вместе с ним проходит это расстояние и масса т.

    Ящик массой М за это же время смещается в противоположную сторону на расстояние 5, и центр инерции системы остается в покое; если

    8М = am пли М (1/V)*(S/M)*(a/V) = am, то

    т =S/(V*V) - соотношение между массой и энергией.

    Эйнштейн прибегал к мысленному эксперименту для вывода соотношения между массой и энергией, используя выражение светового давления, теоретически обоснованное Максвеллом и экспериментально доказанное П. Н.Лебедевым.

    Релятивистскую динамику начал разрабатывать М. Планк в 1906 г. К этому времени большой интерес вызвали работы В. Кауфмана (1871— 1947), проводившего опыты по изучению зависимости массы от скорости быстро движущихся электронов. Опыты Кауфмана, начатые в 1901 г., установили несомненную зависимость массы электрона от скорости, но характер этой зависимости установить было трудно. Сам Кауфман считал, что его опыты показали, что масса зависит от скорости не как у Лоренца —Эйнштеина

    , а как у Абрагама.

    Макс Абрагам (1875-1922) в 1902-1903 гг. вывел, исходя из представлений об электроне как твердом заряженном шарике, довольно сложную формулу зависимости массы электрона от скорости.

    Результаты Кауфмана были подвергнуты критике Планком и другими физиками, указывавшими, что опыты Кауфмана недостаточно точны. В дальнейших работах других физиков формула Лоренца— Эйнштейна нашла подтверждение.

    Рис. 53. Опыт Кауфмана

    Большое участие в пропаганде и развитии идей теории относительности и теории электрона принял выдающийся французский физик Поль Ланжевен.

    Поль Ланжевен родился 23 января 1872 г. в семье парижского ремесленника. С детства он впитал революционные традиции парижских коммунаров и закончил свой жизненный путь членом французской коммунистической партии.

    Ланжевен окончил школу физики и химии Парижского муниципалитета, в которой физику преподавал Пьер Кюри.

    По окончании школы в 1891 г. Ланжевен начал готовиться к поступлению в высшее учебное заведение и в 1893 г. сдал экзамен в Высшую нормальную школу. Закончив эту школу в 1897 г., Ланжевен на стипендию города Парижа уехал в Англию, в Кембридж, в знаменитую Кавендищ-скую лабораторию, которой в то время руководил Д. Д. Томсон.

    В Кавендишской лаборатории в то время велись интенсивные исследования по электропроводности газов. Это определило харакгер первых исследований Ланжевена. Его докторская диссертация «Исследования в области ионизированных газов» была защищена им в 1902 г. После защиты Ланжевен стал читать самостоятельный курс в Коллеж де Франс, одном из старейших высших учебных заведений франции, основанном еще в 1530 г. Позднее Ланжевен написал исторический очерк «физика в Коллеж де Франс».

    Работая над ионизацией газов, Ланжевен глубоко интересуется электронной теорией. Уже в своей диссертации он говорит об этой теории, которая, по его мнению, является началом новой эры в науке. Он считает, что работы Лоренца и Лармора являются попыткой создать из эфира, «этого субстрата Вселенной, сложную среду, представляющую собой материю».

    Ланжевен говорит об открытиях электрона Д. Томсоном и объяснении эффекта Зеемана Лоренцем на основе теории электронов. Он считает, что понятие «электроны», или корпускулы, по терминологии Томсона, «имеет, по-видимому, первостепенное значение».

    22 сентября 1904 г. Ланжевен сделал на конгрессе в Сан-Луи обширный доклад «физика электронов». В этой статье Лэнжевен выступает безусловным сторонником Лоренца и подробно развивает физику электронов и эфира и указывает на трудности, возникающие перед электронной теорией.

    Несмотря на наличие фундаментальных трудностей, электронная теория оказалась способной объяснить многое: поляризацию, процессы ионизации, термоэлектронную эмиссию, электропроводность металлов. Сюда же Ланжевен относит и магнетизм. В 1905 г. он опубликовал статью «Магнетизм и теория электронов», в которой объясняет с электронной точки зрения диамагнетизм и парамагнетизм. Эта теория Ланжевена вошла в учебники и представляет собой первый шаг в теоретическом истолковании магнитных явлений, которые до того рассматривались только феноменологически.

    В том же, 1905 г. Ланжевен опубликовал заметку «О невозможности обнаружить поступательное движение Земли с помощью физических опытов». Эта заметка примыкает к идеям доклада 1904 г. Ланжевен, ссылаясь на статью Лоренца 1904 г. и книгу Лармора «Эфир и материя», указывает, что «электронная теория полностью предвидит, и притом во всех порядках приближения, невозможность обнаружить при помощи статических измерений или наблюдений положения равновесия, либо интерференционных полос в оптике, движение всей системы электронов, если сам наблюдатель увлекаем вместе с нею». Такой системой являются твердые тела, которые под действием внутренних электромагнитных сил испытывают «в направлении движения сокращение, в результате которого все линейные размеры, параллельные направлению движения, умножаются на

    , где р представляет отношение скорости движения системы к скорости света; при этом размеры, перпендикулярные направлению движения, остаются неизменными».

    В по еле дующих работах: «Эволюция понятий пространства и времени» (1911), «Время, пространство и причинность в современной физике» (1911) — Ланжевен уже целиком переходит на точку зрения Эйнштейна и говорит уже не об электромагнитном, а об общем принципе относительности, применимом ко всем физическим явлениям, а не только к электромагнитным.

    «Если различные группы наблюдателей, — пишет Ланжевен в первой статье, — равномерно поступательно перемещаются относительно друг друга..., то все механические и физические явления будут подчиняться одним и тем же законам для всех групп наблюдателей. Опыты, проведенные внутри материальной системы, с которой связан наблюдатель, не позволят ему выявить равномерное поступательное движение всей системы в целом».

    В годы первой мировой войны Ланжевен интенсивно работает над проблемой борьбы с подводными лодками. Он разработал систему локации с помощью ультразвуковых волн, излучаемых кварцевым генератором. Помимо эффективного практического значения, метод Ланжевена оказал глубокое влияние на развитие ультраакустики.

    Ланжевен был первым физиком, указавшим на значение закона связи массы и энергии для объяснения отклонения масс атомов от целочисленных значений. Эти отклонения, указывает Ланжевен, «могли бы произойти вследствие того, что образование атомов из первоначальных элементов (путем распада, как мы это видим в радиоактивности, или при помощи обратного процесса, еще не наблюденного до сих пор, который мог бы произвести тяжелые атомы) сопровождалось бы изменениями внутренней энергии путем испускания или поглощения излучения».

    Это было сказано в 1913 г. в докладе «Инертность энергии и вытекающие из нее следствия», физика еще не усвоила понятие ядра, введенное Резерфордом в 1911 г., не имела никакого представления о структурных элементах ядра, еще не оформила понятия изотопа, а Ланжевен уже говорит о дефекте масс при ядерных превращениях.

    Ланжевен дожил до открытия атомной энергии. Он пережил войну с фашизмом, был арестован при захвате Парижа немцами и выслан в Труа под надзор полиции. Его зять, физик Жан Соломон, был казнен нацистами, а дочь, вдова Соломона, выслана в концлагерь в Германию. С помощью друзей Ланжевену удалось бежать в Швейцарию. Проведя там несколько месяцев, он вернулся 25 сентября 1944 г. в освобожденный Париж и встал в первые ряды борцов за мир и прогресс, вступив в члены Коммунистической партии. Он неустанно призывал к борьбе за социальный прогресс, за создание «лучшего и более справедливого мира». Ланжевен умер 19

    Дальнейшее развитие теории относительности

    Возвращаясь к теории относительности, следует сказать, что создатель этой теории продолжал совершенствовать и развивать ее. В 1907 г. Эйнштейн опубликовал большую статью «О принципе относительности и его следствиях». Здесь основная идея теории уже не затушевана электродинамикой движущихся сред, хотя именно здесь Эйнштейн впервые упоминает работу Лоренца 1904 г. и опыт Майкельсона—Морли. Вообще эта статья в отличие от первой статьи 1905 г. изобилует ссылками и показывает, что Эйнштейн тщательно следил за развитием созданной им теории, которой к моменту написания статьи исполнилось два года.

    Эйнштейн начинает с анализа понятия времени и формулировки принципа постоянства скорости света. Он делает основное предположение, что «часы могут быть сверены так, что скорость распространения каждого светового луча в вакууме, измеренная с помощью этих часов, везде равна универсальной постоянной с при условии, что система координат является неускоренной «.Заметим, что Эйнштейн отказывается от прежнего обозначения скорости света V и заменяет ныне общеупотребляемым обозначением с. Он указывает, что «принцип постоянства скорости света» стал «вероятным» благодаря подтверждениям, которые получила на опыте теория Лоренца, основанная на предпосылке о существовании абсолютно покоящегося эфира.

    Здесь Эйнштейн ссылается на работу Лоренца 1895 г. и в особенности на тот факт, что эта теория дает коэффициент увлечения (опыт физо) в согласии с опытом. Таким образом, постулат о скорости света был высказан Эйнштейном на основании работы Лоренца 1895 г. и объяснения опыта физо. Опыт же Майкельсона— Морли показывает «принцип относительности»: «Законы природы не зависят от состояния движения системы отсчета, по крайней мере если она ускорена». Обратим внимание на слова «по крайней мере». Уже в этой работе Эйнштейн начинает думать о распространении принципа относительности на системы отсчета, находящиеся в произвольном движении.

    Далее Эйнштейн выводит преобразования координат и времени, которые он не называет преобразованиями Лоренца. Из этих преобразований получаются следствия о масштабах, часах и формула сложения скоростей, а также в применении к оптике аберрация и принцип Доплера. Кинематика теории относительности в этой статье почти повторяет изложение кинематики в статьте 1905 г.

    Переходя к электродинамике, Эйнштейн показывает, что «электродинамические основы теории Максвелла-Лоренца соответствуют принципу относительности». Он указывает, что «напряженность электрического или магнитного поля сама по себе не существует, ибо от выбора системы координат зависит, есть ли в данном месте (точнее, в пространственно-временной окрестности точечного события) электрическое или магнитное поле». Таким образом, электрическое и магнитное поле в отдельности потеряли абсолютный характер. Эйнштейн еще не нашел математического выражения для электромагнитного поля как объекта, существующего независимо от системы отсчета, но найденные им преобразования компонентов уже отражают инвариантный характер электромагнитного поля. Заметим, что Эйнштейн уточняет понятие локализации состояния в точке, говоря «о пространственно-временной окрестности точечного события». Этим высказыванием он предваряет будущую интерпретацию Минковского. Затем Эйнштейн переходит к механике материальной точки. Он развивает здесь идеи, изложенные им в статье 1905 г. Здесь он выписывает релятивистское выражение функции Гамильтона:

    и каноническое уравнение динамики, написав формулу кинетической энергии:

    где ? — вектор количества движения (импульса), компоненты которого имеют вид:

    ? везде обозначает массу покоя частицы, q — ee скорость.

    Эйнштейн подробно останавливается на опытах Кауфмана 1906 г., приводит схему его экспериментальной установки. Он считает результаты Кауфмана, «принимая во внимание трудности исследования», согласующимися с теорией относительности. «Однако наблюдаемые отклонения являются систематическими и значительно превосходят экспериментальные ошибки измерений Кауфмана». Что является причиной этих систематических ошибок: «еще не учтенные источники ошибок или несоответствие теории относительности экспериментальным фактам»? На этот вопрос, по мнению Эйнштейна, можно ответить «лишь тогда, когда будут получены более разнообразные экспериментальные данные».

    Следующий раздел посвящен механике и термодинамике систем. Здесь Эйнштейн вновь касается вопроса о связи массы и энергии. Он находит выражение энергии системы:

    Сравнивая это выражение с полученным ранее выражением для материальной точки, он находит, что «в отношении зависимости энергии от скорости рассматриваемая физическая система ведет себя как материальная точка с массой М, причем М зависит от энергии Е системы согласно формуле:

    Этот результат имеет чрезвычайно важное теоретическое значение: в последнем соотношении инертная масса и энергия физической системы выступают как однородные величины.

    Масса ? эквивалентна в смысле инерции количеству энергии ?c2. Эйнштейн обращается для проверки этой зависимости к радиоактивным процессам. Если М — атомный вес распадающегося атома, m1 m2, ... — атомные веса конечных продуктов распада, то

    где E — энергия, выделенная при распаде одного грамм-атома радиоактивного элемента.

    Подсчеты показали Эйнштейну, что для проверки формулы на известных в то время радиоактивных превращениях нужно определять атомные веса элементов с точностью до пятого знака. Он пишет: «Это, конечно, недостижимо. Однако не исключено, что будут открыты радиоактивные процессы, в которых в энергию радиоактивных излучений превращается значительно большая часть массы исходного атома, чем в случае радия ».

    Как мы знаем, ожидания Эйнштейна оправдались. При распаде ядер выделяется значительная энергия. Значительная энергия выделяется и при синтезе легких ядер. Возникла новая отрасль электрической техники — ядерная энергетика, использующая эти огромные энергетические ресурсы.

    Эйнштейн излагает далее основы релятивистской термодинамики, содержащейся в работе Планка 1907 г. Он дает релятивистское определение температуры на основе работы Мозен-гайля (1907) по термодинамике излучения. Эйнштейн внимательно следит за развитием своей теории и использует самые последние данные, полученные другими исследователями.

    Весьма важна последняя часть работы — «Принципы относительности и тяготение». Здесь Эйнштейн ставит вопрос о возможности распространения принципа относительности на системы, движущиеся друг относительно друга с ускорением. «...Этот вопрос, — говорит Эйнштейн, —должен возникнуть перед каждым, кто следил за применениями принципа относительности до настоящего времени...» Он указывает, что «пока еще нет возможности подробно обсуждать здесь этот вопрос», тем не менее считает необходимым высказать свое мнение. Мнение Эйнштейна состоит в том, что две системы, из которых одна движется с постоянным ускорением в направлении оси х, а другая покоится в однородном гравитационном поле с напряженностью у в направлении х, физически равноценны.

    Так впервые появился знаменитый «принцип эквивалентности» Эйнштейна, согласно которому «мы будем предполагать полную физическую равноценность гравитационного поля и соответствующего ускорения системы отсчета».

    Опираясь на этот принцип, Эйнштейн исследует влияние гравитации на часы и распространение света. Он находит, что часы в точках с разностью гравитационного потенциала Ф идут неодинаково: часы в точках с потенциалом Ф идут на 1 + — быстрее, чем точках с нулевым потенциалом. «В этом смысле можно сказать, что процесс, происходящий в часах, — и вообще любой физический процесс— протекает тем быстрее, чем больше гравитационный потенциал в области, где разыгрывается этот процесс».

    Исследуя влияние гравитации на электромагнитные процессы, Эйнштейн приходит к выводу, что световые лучи, распространяющиеся не по оси х, искривляются гравитационным полем; изменение направления световых лучей составляет

    на 1 см пути света, где ? означает угол между направлением силы тяжести и светового луча.

    Это первые, еще не вполне точные результаты будущей общей теории относительности. Эйнштейну понадобится десять лет, чтобы закончить основы этой теории, используя соответствующий математический аппарат. Мы не будем излагать историю создания этой теории и дальнейшего развития специальной теории относительности. Остановимся лишь на фундаментальной работе Минковского «Пространство и время», опубликованной в 1908 г.

    Герман Минковский родился 22 июня 1864 г. на территории Российской империи, в предместье г. Ков-но (ныне г. Каунас Литовской ССР). В детстве он был отправлен в Германию, окончил гимназию в Кенигсберге (ныне Калининград) в 1880 г., получил высшее образование в Кенигсберге и Берлине. Восемнадцатилетним студентом он представил в Парижскую Академию наук сочинение о теории квадратных форм. Сочинение юного математика было удостоено Большого приза по математике. Двадцати трех лет Минковский — приват-доцент Боннского университета, а с 1892 г. экстраординарный профессор этого университета. В 1894—1896 гг, он профессор университета в Кенигсберге, с 1896 по 1902 г. —профессор Высшего технического училища в Цюрихе.

    После Цюриха Минковский был профессором Геттингенского университета. В этой должности он и скончался 12 января 1909 г., спустя неполных четыре месяца после того, как 21 сентября 1908 г. он сделал свой знаменитый доклад «Пространство и время» на 80-м съезде немецких естествоиспытателей и врачей в Кельне.

    Минковский в последние годы жизни активно занимался электродинамикой движущихся сред на основе электронной теории и постулата относительности. Полученные им уравнения, названные позже «уравнениями Минковского», несколько отличаются от уравнений Лоренца, но согласуются с экспериментальными фактами. Электродинамика Минковского — четырехмерная электродинамика. Вместе с двумя докладами— «Принцип относительности» (1907) и «Пространство и время» (1908) —статья Минковского ч«Основные уравнения для электродинамических процессов в движущихся телах» составляет математическую теорию физических процессов в четырехмерном мире, в которой преобразования Лармора —Эйнштейна получают наглядную геометрическую интерпретацию. «Отныне пространство само по себе и время само по себе, —говорил Минковский в своем последнем докладе, —низводятся до роли теней, и лишь некоторый вид соединения обоих должен еще сохранить самостоятельность».

    По Минковскому, инвариантность уравнений движения механики по отношению к преобразованию осей координат и по отношению к преобразованиям Галилея означает инвариантность по отношению к преобразованию четырехмерных координат: трех пространственных координат х, у, z и координаты времени, умноженной на мнимое число. Совокупность этих четырех координат Минковский называет «миром». С точкой (х, у, z, t) связана некоторая субстанция, совокупность состояний которой образует «мировую линию». «Весь мир представляется разложенным на такие мировые линии, и мне хотелось бы сразу отметить, что, по моему мнению, физические законы могли бы найти свое наисовершеннейшее выражение, как взаимоотношения между этими мировыми линиями».

    Минковский рассматривает группу преобразований координат и времени, обозначаемую им Gc, относительно которой законы природы остаются неизменными. «Систему отсчета можно еще соответственно преобразованиям названной группы Gc произвольно изменять, причем выражение закона природы меняться не будет».

    Минковский дает наглядную геометрическую интерпретацию этих преобразований, вводит четырехмерные векторы, различая временно-подобные и пространственно-подобные векторы, а также собственное время мировой точки Р:

    С помощью этих понятий Минковский дает четырехмерную формулировку законов механики, и в частности законов движения электрона. «В механике, переработанной таким образом, — пишет Минковский, — сами собой исчезают дисгармонии, мешавшие согласованию ньютоновской механики и современной электродинамики». И действительно, четырехмерный формализм Минковского является адекватным языком релятивистской физики, завершением построения специальной теории относительности. Дальнейшее ее развитие заключалось в решении частных задач механики, электродинамики и термодинамики на основе разработанных принципов В настоящее время теория относительности рассматривается как необходимый элемент современного физического мировоззрения. Утверждения, противоречащие теории относительности, отвергаются как неправильные. Однако в эпоху становления теории относительности такого единодушного признания ее принципов не было. У теории относительности были непримиримые враги, такие, например, как ф. Ленард и И. Штарк. Ее считали ненужной Д. Д. Томсон, его последователи Н. П. Кастерин и А. К. Тимирязев, не желавшие расстаться с привычным эфиром. Они принимали конкретные результаты, зависимость массы от скорости, связь массы и энергии и т. д., но считали, что эти результаты могут быть получены без такого радикального изменения взглядов на пространство и время, как это было у Эйнштейна и Минковского. Но как это всегда было в истории науки, противники теории постепенно уходили, а научная молодежь сразу же принимала новые принципы.

    Глава третья. Возникновение атомной и ядерной физики

    Открытие Рентгена

    Конец XIX в. ознаменовался повышенным интересом к явлениям прохождения электричества через газы.

    Еще фарадей серьезно занимался этими явлениями, описал разнообразные формы разряда, открыл темное пространство в светящемся столбе разреженного газа, фарадеево темное пространство отделяет синеватое, катодное свечение от розоватого, анодного.

    Дальнейшее увеличение разрежения газа существенно изменяет характер свечения. Математик Плюкер (1801-1868) обнаружил в 1859 г. при достаточно сильном разрежении слабо голубоватый пучок лучей, исходящий из катода, доходящий до анода и заставляющий светиться стекло трубки, ученик Плюкера Гитторф (1824—1914) в 1869 г. продолжил исследования учителя и показал, что на флюоресцирующей поверхности трубки появляется отчетливая тень, если между катодом и этой поверхностью поместить твердое тело.

    Гольдштейн (1850-1931), изучая свойства лучей, назвал их катодными лучами (1876). Через три года Вильям Крукс (1832—1919) доказал материальную природу катодных лучей и назвал их «лучистой материей» — веществом, находящимся в особом четвертом состоянии. Его доказательства были убедительны и наглядны. Опыты с «трубкой Крукса» демонстрировались позже во всех физических кабинетах. Отклонение катодного пучка магнитным полем в трубке Крукса стало классической школьной демонстрацией.

    Однако опыты по электрическому отклонению катодных лучей не были столь убедительными. Герц не обнаружил такого отклонения и пришел к выводу, что катодный луч — это колебательный процесс в эфире. Ученик Герца ф. Ленард, экспериментируя с катодными лучами; в 1894 г. показал, что они проходят через окошечко, закрытое алюминиевой фольгой, и вызывают свечение в пространстве за окошечком. Явлению прохождения катодных лучей через тонкие металлические тела Герц посвятил свою последнюю статью, опубликованную в 1892 г. Она начиналась словами: «Катодные лучи отличаются от света существенным образом в отношении способности проникать через твердые тела». Описывая результаты опытов по прохождению катодных лучей через золотые, серебряные, платиновые, алюминиевые и т. д. листочки, Герц отмечает, что он не наблюдал особых от-личий в явлениях. Лучи проходят через листочки не прямолинейно, а дифракционно рассеиваются. Природа катодных лучей все еще оставалась неясной.

    Вот с такими трубками Крукса, Ленарда и других и экспериментировал Вюрцбургский профессор Вильгельм Конрад Рентген в конце 1895 г. Однажды по окончании опыта, закрыв трубку чехлом из черного картона, выключив свет, но не выключив еще индуктор, питающий трубку, он заметил свечение экрана из синеродистого бария, находящегося вблизи трубки. Пораженный этим обстоятельством, Рентген начал экспериментировать с экраном. В своем первом сообщении «О новом роде лучей», датированном 28 декабря 1895 г., он писал об этих первых опытах: «Кусок бумаги, покрытой платиносинеродистым барием, при приближении к трубке, закрытой достаточно плотно прилегающим к ней чехлом из тонкого черного картона, при каждом разряде вспыхивает ярким светом: начинает флюоресцировать.

    Флюоресценция видна при достаточном затемнении и не зависит от того, подносить ли бумагу стороной, покрытой или не покрытой платиносинеро-дистым барием, флюоресценция заметна еще на расстоянии двух метров от трубки».

    Тщательное исследование показало Рентгену, «что черный картон, не прозрачный ни для видимых и ультрафиолетовых лучей солнца, ни для лучей электрической дуги, пронизывается каким-то агентом, вызывающим энергичную флюоресценцию». Рентген исследовал проникающую способность этого «агента», который он для краткости назвал «Х-лучи», для различных веществ. Он обнаружил, что лучи свободно проходят через бумагу, дерево, эбонит, тонкие слои металла, но сильно задерживаются свинцом.

    Рис. 54. Опыт Крукса с катодым лучом

    Затем он описывает сенсационный опыт: «Если держать между разрядной трубкой и экраном руку, то видны темные тени костей в слабых очертаниях тени самой руки». Это было первое рентгеноскопическое исследование человеческого тела. Рентген получил и первые рентгеновские снимки, приложив их к своей брошюре. Эти снимки произвели огромное впечатление; открытие еще не было завершено, а уже начала свой путь рентгенодиагностика. «Моя лаборатория была наводнена врачами, приводившими пациентов, подозревавших, что они имеют иголки в разных частях тела», — писал английский физик Шустер.

    Уже после первых опытов Рентген твердо установил, что Х-лучи отличаются от катодных, они не несут заряда и не отклоняются магнитным полем, однако возбуждаются катодными лучами. «...Х-лучи не идентичны с катодными лучами, но возбуждаются ими в стеклянных стенках разрядной трубки»,— писал Рентген.

    Рис. 55. Опыт с первой рентгеновской трубкой

    Он установил также, что они возбуждаются не только в стекле, но и в металлах.

    Упомянув о гипотезе Герца — Ленарда, что катодные лучи «есть явление, происходящее в эфире», Рентген указывает, что «нечто подобное мы можем сказать и о наших лучах». Однако ему не удалось обнаружить волновые свойства лучей, они «ведут себя иначе, чем известные до сих пор ультрафиолетовые, видимые, инфракрасные лучи». По своим химическим и люминесцентным действиям они, по мнению Рентгена, сходны с ультрафиолетовыми лучами. В первом сообщении он высказал оставленное потом предположение, что они могут быть продольными волнами в эфире.

    Открытие Рентгена вызвало огромный интерес в научном мире. Его опыты были повторены почти во всех лабораториях мира. В Москве их повторил П. Н. Лебедев. В Петербурге изобретатель радио А. С. Попов экспериментировал с X-лучами, демонстрировал их на публичных лекциях, получая различные рентгенограммы. В Кембридже Д. Д. Томсон немедленно применил ионизирующее действие рентгеновских лучей для изучения прохождения электричества через газы. Его исследования привели к открытию электрона.

    Остановимся на биографии Рентгена.

    Вильгельм Конрад Рентген родился 27 марта 1845 г. в пограничной с Голландией области Германии, в г. Ленепе. Он получил техническое образование в Цюрихе в той самой Высшей технической школе (политехникуме), в которой позже учился Эйнштейн. Увлечение физикой заставило его после окончания школы в 1866 г. продолжить физическое образование. Защитив в 1868 г. диссертацию на степень доктора философии, он работает ассистентом на кафедре физики сначала в Цюрихе, потом в Гисене, а затем в Страсбурге у Кундта. Здесь Рентген прошел хорошую экспериментальную школу и стал первоклассным экспериментатором. Он производил точные измерения отношения cp/cv для газов, вязкости и диэлектрической проницаемости ряда жидкостей, исследовал упругие свойства кристаллов, их пьезоэлектрические и пироэлектрические свойства, измерял магнитное поле движущихся зарядов (ток Рентгена). Часть важных исследований Рентген выполнил со своим учеником, одним из основателей советской физики А. ф. Иоффе.

    Работая в 1885—1900 гг. профессором Вюрцбургского университета, Рентген открыл лучи, ныне носящие его имя. За это открытие он получил в 1901 г. Нобелевскую премию, став первым нобелевским лауреатом по физике. С 1900 г. и до последних дней жизни (умер он 10 февраля 1923 г.) он работал в Мюнхенском университете.

    Открытие радиоактивности

    Открытие рентгеновских лучей произошло 8 ноября 1895 г. Сообщение об открытии датировано 28 декабря. Более полутора месяцев ученый тщательно исследовал неведомые лучи. Ему удалось установить, что они возникают там, где стенки трубки сильно флюоресцируют под ударами катодных лучей. В понедельник 20 января 1896 г. Анри Пуанкаре на заседании Парижской Академии рассказал об открытии новых лучей, демонстрировал рентгеновские снимки и высказал предположение, что рентгеновское излучение связано с флюоресценцией и, возможно, возникает всегда в люминесцирую-щих веществах и никакой катодной трубки для получения Х-лучей не надо. Среди участников заседания был Анри Беккерель, отец и дед которого — оба физики — в свое время занимались флюоресценцией и фосфоресценцией. Беккерель решил проверить гипотезу Пуанкаре. Еще в феврале 1896 г. А. Беккерель демонстрировал действие флюоресцирующего сернистого цинка на фотопластинку, завернутую в черную бумагу. Беккерель решил использовать соли урана. Он взял из коллекции минералов своего отца двойной сульфат уранила калия. Обернув фотопластинку черной бумагой, он положил на нее металлическую пластинку причудливой формы, покрытую слоем урановой соли, и выставил на несколько часов на яркий солнечный свет. После проявления пластинки на ней было отчетливо видно изображение металлической фигуры, той самой фигуры, которая покрывалась до опыта солью урана. Повторные опыты Бекке-реля дали аналогичный результат, и 24 февраля 1896 г. он доложил академии о результатах опытов. Казалось, что гипотеза Пуанкаре полностью подтверждается. Но осторожный Беккерель решил поставить контрольные опыты. К концу февраля он приготовил новую пластинку. Но погода была пасмурной и оставалась такой до 1 марта. Утро 1 марта было солнечным, и опыты можно было возобновить. Беккерель решил, однако, проявить пластинки, лежавшие несколько дней в темном шкафу. На проявленных пластинках четко обозначились силуэты образцов минералов, лежавших на непрозрачных экранах пластинок.

    Минерал без предварительного освещения испускал невидимые лучи, действовавшие на фотопластинку через непрозрачный экран. Беккерель немедленно ставит повторные опыты. Оказалось, чтo соли урана сами по себе без всякого внешнего воздействия испускают невидимые лучи, засвечивающие фотопластинку и проходящие через непрозрачные слои. 2 марта Беккерель сообщил о своем открытии.

    Длинным рядом экспериментов Беккерель шаг за шагом опровергал гипотезу Пуанкаре. Оказалось, что лучи могут испускать только соединения урана— это «урановые лучи», или «лучи Беккереля», как их потом стали называть. Они способны ионизировать воздух и разряжать заряженный электроскоп. Способность урана испускать лучи не ослабевала месяцами. 18 мая 1896 г. Беккерель со всей определенностью констатировал наличие этой способности у урановых соединений и описал свойства излучения. Но чистый уран оказался в распоряжении Беккереля только осенью, и 23 ноября 1896 г. Беккерель сообщил о свойстве урана испускать невидимые «урановые лучи» вне зависимости от его химического и физического состояния.

    В 1897 г. Беккерель продолжает изучать открытые им лучи. В конце этого года в изучение нового явления включаются Мария Склодовская и ее муж Пьер Кюри. В этом же году происходит и другое важное открытие. В лаборатории Кавендиша в Кембридже решается загадка катодных лучей Спор Герца, Ленарда и других немецких физиков с Круксом и другими сторонниками корпускулярной природы катодных лучей решается в пользу сторонников последней концепции. Доказал корпускулярную природу катодных лучей молодой директор лаборатории Кавендиша Джозеф Джон Томсон.

    Д. Д. Томсон. Джозеф Джон Томсон родился 18 декабря 1856 г. в. Манчестере. Здесь, в Манчестере, он окончил Оуэн-колледж, а в 1876—1880 гг. учился в Кембриджском университете в знаменитом колледже святой Троицы (Тринити-колледж), где когда-то профессором был Исаак Ньютон. В январе 1880 г. Томсон успешно выдержал заключительные экзамены и начал работать в Кавендишской лаборатории. В это время директором лаборатории был лорд Рэлей. При Рэлее значительно увеличилось число студентов, занимавшихся научными исследованиями, увеличился штат преподавателей, за счет пожертвований Рэлея и его друзей лаборатория по поднялась приборами.

    22 декабря 1884 г., после ухода Рэлея, 27-летний Томсон советом избирателей был назначен третьим профессором Кавендишской лаборатории. Важные перемены происходят в том-соновский период. В 1887 г. значительное число книг Максвелла было передано лаборатории. Они образовали ядро Кавендишской библиотеки. В 1890 г. была учреждена Максвеллов-ская стипендия из средств, завещанных университету миссис Максвелл. Стипендия давалась на три года наиболее одаренным студентам-исследователям. В 1888 г. Томсон основал классы-практикумы для студентов-медиков. Это явилось причиной резкого увеличения числа студентов, работавших в лаборатории. Временно пришлось перевести медицинские классы в старые комнаты-анатомички до тех пор, пока в 1896 г. не был открыт южный флигель лаборатории. Но и этого оказалось недостаточно, так как в 1895 г., по инициативе Д. Д. Томсо-на, в Кембридже произошла реформа, согласно которой в лабораторию стали приходить выпускники других университетов. Специальная комиссия определяла способность пришедших проводить научные исследования. После двух лет работы в Кембридже они получали степень бакалавра и удостоверение исследователя. Студенты-исследователи из всех стран мира приезжали в Кембридж. Среди приехавших были Э. Резерфорд из Новой Зеландии, Таунсенд из Ирландии, Ланжевен из франции, Бородовский из России, Зелени из США, Ч. Вильсон из Австралии и много других. С каждым годом исследователей из других стран приезжало все больше и больше. Требовалось новое расширение лаборатории. Рэлей в 1906 г. большую часть своих доходов пожертвовал на строительство левого крыла Кавендишской лаборатории. Новое расширение потребовало, в свою очередь, еще большего увеличения штата и совершенствования методов обучения.

    В 1884 г. выходит «Практическая физика» Глазебрука и Шоу, а в 1896 — «Записки лаборатории по элементарной практической физике». Эти книги обобщили ценный опыт лаборатории по проведению практических занятий по общей физике, став главным руководством для работы студентов. Наиболее важным в работе со студентами-исследователями Томсон считал поддержание в них творческого энтузиазма. В послании Британской Ассоциации ori с убежденностью констатировал, что отсутствие энтузиазма—наиболее частая причина неудач. Томсон также предупреждал всех работающих для продвижения науки о тормозящем действии на энтузиазм затянувшегося курса академического обучения. Эта идея Томсона претворялась в жизнь всей деятельностью лаборатории.

    Рис. 56. Опыт Беккереля

    В 1893 г. Томсон организовал Кавендишское физическое общество. На заседаниях этого общества обсуждались статьи, готовившиеся к публикации. Такие дискуссии помогали исследователям разрешать некоторые неясности, стимулировали их интерес к исследованиям.

    Томсон много внимания уделял развитию мастерских лаборатории, приглашал хороших механиков, обучал их. Так, в томсоновское время работал механиком Синслайр. Как вспоминал Д. Д. Томсон, «он был хорошим механиком, но не знал стеклодувного дела. Я дал ему несколько уроков, и спустя 2—3 месяца он овладел этим делом».

    Итак, в томсоновский период лаборатория становится признанной международной школой физической науки. Здесь начали свой научный путь Резерфорд, Бор, Ланжевен и многие другие, в том числе и русские ученые. Заслуги многих учеников Томсона были всемирно признаны. Нобелевской премии были удостоены И. Баркла, В. Брэгг, О. Ричардсон, Ч. Т. Вильсон, Э. Резерфорд.

    Перейдем теперь к основному показателю творческой деятельности лаборатории—важнейшим научным исследованиям и в особенности к исследованиям профессора Д. Д. Томсона. При Рэлее Томсон начал свой научный путь в Кавендишской лаборатории. Первая его статья, опубликованная в 1880 г., была посвящена электромагнитной теории света. В следующем, 1881 г. появились две работы, из которых одна положила начало электромагнитной теории массы. Статья называлась «Об электрических и магнитных эффектах, производимых движением наэлектризованных тел». В этой статье выражена та мысль, что «эфир вне заряженного тела является носителем всей массы, импульса и энергии». С увеличением скорости изменяется характер поля, в силу чего вся эта «полевая» масса возрастает, оставаясь все время пропорциональной энергии. Научные успехи Томсона были высоко оценены Рэлеем, и, уходя в 1884 г. с поста директора лаборатории Кавендиша, он, не колеблясь, рекомендовал своим преемником Томсона.

    Открытие рентгеновских лучей обострило интерес Томсона к явлениям прохождения электричества через газы. Результатом этой коллективной работы, в которой, кроме Томсона, принимали участие молодые его ученики и сотрудники, явилась классическая монография «Прохождение электричества через газы», первое издание которой вышло в 1903 г. В ходе этих исследований был открыт электрон.

    «Исследования, которые привели к открытию электрона, — писал позже Томсон в своих воспоминаниях, — начались с попыток объяснения расхождения поведения катодных лучей под действием магнитных и электрических сил». Действие магнитного поля на катодные лучи было обнаружено многими исследователями, однако в отношении действия электрического поля существовали разногласия. Одни авторы утверждали, что они наблюдали действие электрического поля на катодные лучи, другие отрицали это. Томсон показал, что это расхождение обусловлено низкой техникой откачки газа. Остатки ионизированного газа нейтрализуют влияние внешнего электрического поля. Томсон усовершенствовал технику откачки и получил заметные отклонения катодного пучка электрическим полем. Трубка Томсона с впаянными в нее пластинками конденсатора стала прообразом современной электронно-лучевой трубки.

    Подвергая катодный пучок действию электрического и магнитного полей, Томсон получил возможность определить отношение е/m для катодных лучей. Это отношение оказалось независимым от природы газа в трубке и в тысячу раз большим, чем отношение е/m для водородного иона, полученное из законов электролиза. Если принять, что заряд катодной частицы равен заряду водорода, то масса катодной частицы оказывается в тысячу раз меньше массы атома водорода, самого легкого атома. Этот результат был ошеломляющим. Томсон вспоминает, с каким недоверием было встречено его сообщение в Королевском институте.

    Томсон продолжал свои опыты. Он исследовал отношение е/m для частиц, вырываемых ультрафиолетовым светом, для частиц, испускаемых накаленным катодом,— всюду порядок этого отношения оказался таким же, как для катодных лучей. Эти мельчайшие частицы вещества Томсон назвал корпускулами, однако это название не удержалось. Частицы стали называться электронами. (Термин «электрон» ввел в 1891 г. английский ученый Дж. Стоней.)

    Рис. 57. Метод парабол Томсона

    Стало ясно, что электроны являются составными частями атомов всех веществ. Сам Томсон построил электромагнитную модель атома, предположив, что отрицательно заряженные корпускулы (электроны) располагаются определенным образом внутри положительно заряженной сферы. (Следует отметить, что такую же модель предлагал и Вильям Томсон.) Этот «атом Томсонов» был распространенной моделью атома до открытия ядра Резерфордом и модели атома Бора.

    Метод Томсона имел фундаментальное значение. Он лежит в основе устройства электронно-лучевых трубок, первые модели которых были построены в 1897 г. самим Томсоном и независимо от него ф. Брауном.

    Развитие метода Томсона составляет основу электронной оптики, электронных ламп, современных ускорителей заряженных частиц. Томсон научил физиков управлять электронами, и в этом его основная заслуга. В 1906 г. Д.Д.Томсону за его исследование прохождения электричества через газы была присуждена Нобелевская премия по физике.

    Томсон разработал и методы изучения положительно заряженных частиц. Вышедшая в 1913 г. его монография «Лучи положительного электричества» положила начало масс-спектроскопии. Развивая методику Томсона, его ученик Астон построил первый масс-спектрометр и разработал метод анализа и разделения изотопов. В лаборатории Томсона начались первые измерения элементарного заряда из наблюдения движения заряженного облака в электрическом поле. Этот метод был в дальнейшем усовершенствован Милликеном (1868—1953) и привел к измерениям заряда электрона.

    Рис. 58. Фотографии, полученные Томсоном при применении метода парабол

    В лаборатории Кавендиша начала свою жизнь и знаменитая камера Вильсона, построенная учеником и сотрудником Томсона Вильсоном в 1911 г.

    Таким образом, роль Д. Д. Томсона и его учеников в становлении и развитии атомной и ядерной физики очень велика. Но Д. Д. Томсон («Джи, Джи», как его называли) до конца своей жизни оставался сторонником эфира, разрабатывал модели движения в эфире, результатом которых, по его мнению, были наблюдаемые явления. Так, отклонение катодного пучка в магнитном поле он интерпретировал как прецессию гироскопа, наделяя совокупность электрического и магнитного полей вращательным моментом. Умер Д. Д. Томсон 30 августа 1940 г., в трудное для Англии время, когда над ней нависла угроза вторжения гитлеровцев.

    Открытия П. и М. Кюри

    Вернемся к радиоактивности. Беккерель продолжал исследование открытого им явления. Он считал его свойством урана, аналогичным фосфоресценции. Уран, по мнению Беккереля, «представляет первый пример металла, обнаруживающего свойство, подобное невидимой фосфоресценции». Он считает свойства излучения урана подобными свойствам световых волн. Природа нового явления, таким образом, была еще не понята, не существовало и слова «радиоактивность».

    Беккерель обнаружил и тщательно исследовал свойство урановых лучей делать электропроводящим воздух Его заметка 23 ноября 1896 г. появилась почти одновременно с заметкой Д. Томсона и Э. Резерфорда, показавших, что рентгеновские лучи делают электропроводящим воздух благодаря ионизирующему действию. Так был открыт важный метод исследования радиоактивности. Сообщения Беккере-ля 1 марта и 12 апреля 1897 г., излагавшего результаты наблюдений разряда наэлектризованных тел под действием уранового излучения, содержали важное указание, что активность препаратов урана оставалась неизменной более года.

    Вскоре в исследование нового загадочного явления включились другие исследователи, и прежде всего супруги Пьер и Мария Кюри. Мария Склодовская-Кюри начала исследования радиоактивных явлений в конце 1897 г., избрав изучение этих явлений темой своей докторской диссертации. В апреле 1898 г. была опубликована ее первая статья по радиоактивности Позднее в своей докторской диссертации она писала: «Я измеряла напряженность урановых лучей, пользуясь их свойством сообщать воздуху электропроводность... При этих измерениях употреблялась металлическая пластинка, покрытая слоем уранового порошка».

    Уже в этой первой работе М. Склодовская-Кюри исследовала, нет ли других веществ, обладающих свойством, аналогичным урану. Она нашла, что «торий и его соединения имеют то же свойство». Одновременно аналогичный результат был опубликован в Германии Шмидтом.

    Далее она пишет: «Таким образом, уран, торий и их соединения испускают беккерелевы лучи. Вещества, обладающие этим свойством, я назвала радиоактивными. С тех пор это имя стало общепринятым». Итак, с июля 1898 г., когда был опубликован новый термин в физике, начало жить важное понятие «радиоактивность». Заметим, что эта июльская статья была подписана уже супругами Пьером и Марией Кюри.

    Пьер оставил свою тематику и активно включился в работу жены. В заброшенном сарае Школы промышленной физики и химии, превращенном супругами в лабораторию, началась титаническая работа с отбросами урановой руды, полученной из Иоахимсталя (ныне Иоахимов). В своей книге «Пьер Кюри» Мария Кюри описывает, в каких условиях велась эта работа: «Мне доводилось обрабатывать зараз до двадцати килограммов первичного материала и в результате уставлять сарай большими сосудами с химическими осадками и жидкостями.

    Это был изнурительный труд—переносить мешки в сосуды, переливать жидкости из одного сосуда в другой, несколько часов подряд мешать кипящий материал в чугунном сосуде».

    Это был не только изнурительный, но и опасный труд: исследователи еще не знали вредного действия радиоактивных излучений, которые в конце концов привели Марию Склодовскую-Кюри к безвременной кончине.

    Напряженный труд принес щедрые плоды. В том же, 1898 г. появляются одна за другой статьи, сообщающие о получении новых радиоактивных веществ. В июльском выпуске докладов Парижской Академии наук появилась статья П. и М. Кюри «О новом радиоактивном веществе, содержащемся в смоляной руде». Описав метод химического выделения нового вещества, положившего начало радиохимии, они писали далее: «Мы... полагали, что то вещество, которое мы извлекли из смоляной руды, содержит какой-то металл, до сих пор еще не замеченный, по своим аналитическим свойствам близкий к висмуту. Если существование этого нового металла подтвердится, мы предлагаем назвать его полонием, по названию страны, из которой один из нас родом»

    Активность полония оказалась в 400 раз выше активности урана. В декабре того же года появилась статья супругов Кюри и Бемона «Об одном новом, сильно радиоактивном веществе, содержащемся в смоляной руде». Здесь сообщалось об открытии нового, сильно радиоактивного вещества, по химическим свойствам близкого барию. Согласно точке зрения, высказанной М Склодовской в ее первой работе, радиоактивность является свойством чтомов, сохраняющимся во всех химических и физических состояниях вещества». «При такой точке зрения, — писали авторы, — радиоактивность нашего вещества, не будучи обусловлена барием (барий не радиоактивен,— Я. К.), должна быть приписана какому-то другому элементу».

    Было получено хлористое соединение нового элемента, активность которого в 900 раз превышает активность урана. В спектре соединения была обнаружена линия, не принадлежащая ни одному из известных элементов. «Перечисленные нами доводы, —писали в заключение авторы статьи,— заставляют нас думать, что это новое радиоактивное вещество содержит какой-то новый элемент, который мы предлагаем назвать радием».

    Открытия полония и радия завершили новый этап в истории радиоактивности. В декабре 1903 г. А. Бек-керель, Пьер и Мария Кюри были награждены Нобелевской премией. Приведем краткие биографические справки о Нобелевских лауреатах 1903 г.

    Анри Беккерель родился 15 декабря 1852 г. в семье известного физика Александра Эдмонда Беккереля, прославившегося своими исследованиями фосфоресценции. Крупным ученым был и отец Александра Эдмонда— дед Анри — Антуан Сезар Беккерель. Беккерели: дед, сын, внук—жили в доме французского естествоиспытателя Кювье, принадлежащем Национальному музею естественной истории. В этом доме Анри и сделал свое великое открытие, и мемориальная доска на фасаде гласит: «В лаборатории прикладной физики Анри Беккерель открыл радиоактивность 1 марта 1896 г.».

    Анри учился в лицее, затем в Политехнической школе, по окончании которой работал инженером в Институте путей сообщения. Но вскоре его постигло горе: умерла его молодая жена, и молодой вдовец с сыном Жаном, будущим четвертым физиком Беккерелем, переезжает к отцу в Музей естественной истории. Сначала он работает репетитором Политехнической школы, а с 1878 г., после смерти деда, становится ассистентом своего отца.

    В 1888 г. Анри защищает докторскую диссертацию и ведет вместе с отцом разностороннюю научную работу. Через год его избирают в Академию наук. С 1892 г. он становится профессором Национального музея естественной истории. Открытие радиоактивности круто повернуло судьбу Беккереля. Он — Нобелевский лауреат, обладатель всех знаков отличия Парижской Академии наук, член Лондонского Королевского общества. Летом 1908 г. академия избирает его непременным секретарем физического отделения. Умер Беккерель 25 августа 1908 г.

    Пьер Кюри родился 15 мая 1859 г. в Париже в семье врача. Эжен Кюри, отец Пьера, во время революции 1848 г., в дни Парижской Коммуны был на боевом посту, оказывая помощь раненым революционерам и коммунарам. Человек высокого гражданского долга и мужества, он привил эти качества своим сыновьям Жаку и Пьеру. Мальчики — шестнадцатилетний Жак и двенадцатилетний Пьер помогали отцу в дни баррикадных боев Коммуны.

    Пьер получил домашнее образование. Незаурядные способности и прилежание помогли ему выдержать в шестнадцать лет экзамен на звание бакалавра. Юный бакалавр слушал лекции в Сорбонне, работал в лаборатории профессора Леру в фармацевтическом институте и уже в восемнадцать лет стал лиценциатом физики. С 1878 г. он работал ассистентом Парижского университета. С этого же времени он вместе с братом Жаком занимается исследованием кристаллов. Вместе с Жаком они открывают пьезоэлектричество. В 1880 г. публикуется статья Пьера и Жака Кюри «Образование полярного электричества под действием давления в гемиэдрических кристаллах с косыми гранями». Основной вывод работы они формулируют следующим образом: «Какова бы ни была причина, всякий раз, когда гемиэдрический кристалл с косыми гранями сжимается, возникает электрическая поляризация определенного направления; всякий раз, когда этот кристалл растягивается, выделение электричества происходит в противоположном направлении».

    Затем они открывают противоположный эффект: деформацию кристаллов под действием электрического напряжения. Они впервые изучили электрические деформации кварца, создали пьезокварц и использовали его для измерения слабых электрических зарядов и токов. Ланжевен при менял пьезокварц для генерации ультразвука. Пьезокварц используется также и для стабилизации электриче ских колебаний.

    После пятилетней плодотворной работы пути братьев разошлись. Жак Кюри (1855—1941) уехал в Монпелье и занимался минералогией, Пьер был назначен в 1883 г. руководителем практических работ по физике в только что открытой Парижским муниципалитетом Школе промышленной физики и химии. Здесь Кюри выполнил свои исследования по кристаллографии и симметрии, часть которых он провел с Жаком, время от времени приезжавшим в Париж.

    В 1891 г. Пьер Кюри обратился к опытам по магнетизму. В результате этих опытов он четко разделил диамагнитные и парамагнитные явления по их зависимости от температуры. Изучая зависимость ферромагнитных свойств от температуры, он нашел «точку Кюри», при которой исчезают ферромагнитные свойства, и открыл закон зависимости восприимчивости парамагнитных тел от температуры (закон Кюри).

    В 1895 г. Пьер Кюри женился на Марии Склодовской.

    Рис. 59. Лаборатория П. и М. Кюри

    С момента открытия радиоактивности новая область исследования захватила молодых супругов, и с 1897 г. они совместно работают над ее изучением. Это творческое содружество продолжалось до дня трагической гибели Пьера. 19 апреля 1906 г., возвратившись из деревни, где он с семьей проводил пасхальные каникулы, Пьер Кюри участвовал на собрании Ассоциации преподавателей точных наук. Возвращаясь с собрания, он, переходя улицу, попал под ломовую телегу и был убит ударом в голову.

    «Угас один из тех, кто был истинной славой франции», — писала в биографии Пьера Кюри Мария Кюри.

    Мария Склодовская-Кюри. Мария Склодовская родилась в Варшаве 7 ноября 1867 г. в семье преподавателя варшавской гимназии. Мария получила хорошую домашнюю подготовку и закончила гимназию с золотой медалью.

    В 1883 г. после гимназии она работала воспитательницей в семьях богатых поляков. Потом она некоторое время жила дома и работала в лаборатории своего двоюродного брата, сотрудника А.И.Менделеева Иосифа Богусского.

    В 1891 г. она уезжает в Париж и поступает на физико-математический факультет Сорбонны. В 1893 г. она получает степень лиценциата физических наук, а через год становится лиценциатом математических наук.

    В это же время она выполняет первую научную работу по теме «Магнитные свойства закаленной стали», предложенной известным изобретателем цветной фотографии Липпманом. Работая над темой, она перешла в Школу промышленной физики и химии, где встретилась с Пьером Кюри.

    Вместе они открыли новые радиоактивные элементы, вместе были удостоены в 1903 г. Нобелевской премии, и после гибели Пьера Мария Кюри стала его преемницей в Парижском университете, где Пьер Кюри был в 1900 г. избран профессором. 13 мая 1906 г первая женщина—лауреат Нобелевской премии становится первой женщиной-профессором знаменитой Сорбонны Она же впервые в мире начала читать курс лекций по радиоактивности. Наконец, в 1911 г. она становится первым ученым дважды лауреатом Нобелевской премии. В этом году она получила Нобелевскую премию по химии.

    Во время первой мировой войны Мария Кюри создала рентгеновские установки для военных госпиталей. Перед самой войной в Париже был открыт Институт радия, ставший местом работы самой Кюри, ее дочери Ирен и зятя Фредерика Жолио. В 1926 г. Мария Склодовская-Кюри избирается почетным членом Академии наук СССР.

    Тяжелое заболевание крови, развившееся в результате длительного действия радиоактивного излучения, привело ее к смерти 4 июля 1934 г. В год ее смерти Ирен и Фредерик Жолио-Кюри открыли искусственную радиоактивность. Славный путь династии Кюри блистательно продолжался.

    Открытие квантов

    Открытие рентгеновских лучей (Рентген, 1895 г.), радиоактивности (Беккерель, 1896 г.), электрона (Том-сон, 1897 г.), радия (Пьер и Мария Кюри, 1898 г.) положили начало изучению атомной и ядерной физики. В 1899 г. Э. Резерфорд выступил с большой статьей о радиоактивности, показав, что излучение урана и тория имеет сложный состав, разделяясь на лучи, названные им аив (позже к ним присоединились у-лучи). Это указывало на сложный характер радиоактивного излучения. В 1900 г., изучая давно известное человечеству тепловое излучение, Макс Планк открыл его атомный характер.

    Тепловое излучение знакомо людям с незапамятных времен. Греясь на солнце или у огня, человек наслаждался теплом, испускаемым солнечными лучами или лучами очага. Но вот на вопрос, почему натопленная печь греет, оказалось не так-то легко ответить. Существование «тепловых лучей» предположил в XVIII в. химик Шееле (1742—1786), но опыты с тепловыми лучами проводили еще флорентийские академики, доказавшие, что «холод» от глыбы льда охлаждает шарик термоскопа, помещенного в фокусе вогнутого зеркала. Опыты с отражением тепловых лучей вогнутыми зеркалами («зеркала Пикте») проводил в XVIII в. Пикте (1752-1825), а Прево (1751—1839) в 1791 г. установил закон подвижного теплового равновесия. В. Гершель открыл невидимые «тепловые лучи» за красной частью видимого спектра.

    Теория теплового излучения началась с 1859 г., когда Кирхгоф открыл основной закон теплового излучения, носящий его имя, и установил понятие абсолютно черного тела, испуска-тельная способность которого имеет универсальное значение. Макс Планк в своей научной автобиографии писал о законе Кирхгофа: «Этот закон утверждает, что если в откачанном пустом пространстве, ограниченном полностью отражающими стенками, находятся совершенно произвольные излучающие и поглощающие тела, то с течением времени устанавливается такое состояние, при котором все тела имеют одну и ту же температуру, а излучение по всем своим свойствам, в том числе по спектральному распределению энергии, зависит только от температуры, но не от свойств тел». Это равновесное излучение и есть излучение абсолютно черного тела, закон распределения которого по длинам волн спектра представляет универсальную функцию длин волн и температуры. «Это так называемое нормальное распределение энергии, — писал Планк, — представляет собой нечто абсолютное».

    Через 20 лет после установления Кирхгофом своего закона (он обосновал его с помощью принципов термодинамики в 1860 г.) Жозеф Стефан (1835-1893) из измерений, выполненных французскими физиками, сделал вывод, что суммарная энергия всех длин волн, излучаемых черным телом, пропорциональна четвертой степени абсолютной температуры тела. Коэффициент пропорциональности есть универсальная константа.

    Стефан сформулировал свой закон в 1879 г. Через пять лет, в 1884 г., ученик Стефана Людвиг Больцман, применив к излучению принципы термодинамики и исходя из существования светового давления, равного, по Максвеллу, для изотропного излучения одной трети объемной плотности энергии, вывел теоретически закон Стефана. С этого времени он стал называться законом Стефана — Больцмана, а постоянная закона — постоянной Стефана — Больцмана.

    Больцман показал теоретикам путь исследования — применение принципов термодинамики и электромагнитной теории света. Идя этим путем и привлекая кинетическую теорию материи, русский физик В. А. Михельсон в 1887 г. приступил к теоретическому объяснению распределения энергии в спектре излучения твердого тела. Работа Михельсона «Опыт теоретического объяснения распределения энергии в спектре твердого тела» была опубликована в январе 1887 г. в «Журнале Русского физико-химического общества», а также на французском языке в «Gournal de Physique» и на английском языке в «Philosophical Magazine» в том же, 1887 г.

    Владимир Александрович Михельсон родился 30 июня 1860 г. в Тульчине Подольской губернии. По окончании в Москве частной гимназии в 1878 г. он поступает в Петербургский институт инженеров путей сообщения. Однако он скоро понял, что его призванием является физика, и перешел в Московский университет. А. Г. Столетов замечает способности Михельсона и по окончании университета в 1883 г. оставляет его для подготовки к профессорскому званию. В 1887 г. Михельсон отправляется за границу, где в лаборатории Гельмгольца работает над магистерской диссертацией «О нормальной скорости воспламенения гремучих газовых смесей». Диссертация получила высокую оценку, и по предложению Столетова совет физико-математического факультета присудил Михельсону докторскую степень, минуя магистерскую.

    Михельсон был избран профессором кафедры физики и метеорологии Московского сельскохозяйственного института, бывшей Петровской сельскохозяйственной академии и будущей Тимирязевской сельскохозяйственной академии в Петровском-Разумовском. Михельсон развернул большую работу по организации метеорологических наблюдений в России и созданию при лаборатории метеорологической обсерватории По его проекту в Петровском-Разумовском была построена метеорологическая обсерватория, ныне носящая имя В. А. Михельсона. Сам Михельсон много и плодотворно занимался актинометрией.

    После Октябрьской революции Михельсон активно сотрудничает с Советской властью. Одна из его статей, в которой он предсказывал наступление засухи, привлекла внимание В. И. Ленина и по его указанию была опубликована в «Известиях» 17 сентября 1920 г. под названием «Важное предостережение».

    В. А. Михельсон умер 27 февраля 1927 г.

    Возвращаясь к истории теплового излучения, следует отметить, что статье Михельсона предшествовали измерения, проведенные американским астрофизиком Самуэлем Ланглеем (1834— 1906). Он опубликовал в 1886 г. свои исследования над инфракрасными лучами с помощью изобретенного им болометра и исследования по распределению энергии в солнечном спектре. Михельсон указывает, что результаты Ланглея делают актуальным теоретический анализ распределения энергии в непрерывном спектре. Он подчеркивает, что «большая часть предлагаемых результатов должна быть рассматриваема лишь как первое, грубое приближение к действительности». Полученные им теоретические кривые «обладают всеми без исключения общими свойствами, какие указывает Ланглей, описывая свои экспериментальные кривые». Одним из важных свойств кривых Ланглея является наличие максимума, который смещается по- мере повышения температуры в сторону коротких волн. Теория Михельсона дала следующее соотношение между абсолютной температурой 9 и длиной волны ? max

    или, если ввести более употребительное обозначение температуры:

    Михельсону не удалось дать точную формулировку закона смещения. Но его работа послужила началом пути, по которому пошел Вильгельм Вин (1864— 1928), давший в 1893 г. точное выражение этого закона:

    В том же, 1893 г. была представлена диссертация «Исследования по математической физике» Б. Б. Голицына, во второй части которой содержалась теория теплового излучения. В ней Голицын впервые ввел понятие температуры излучения, которая в то время отождествлялась с температурой эфира и поэтому представлялась весьма спорной. «Мы не знаем, могут ли быть в свободном эфире нестройные движения, и потому уже не можем говорить о температуре эфира», — писали в своем критическом отзыве на диссертацию Голицына А. Г. Столетов и А. П. Соколов. Дальнейшее развитие теоретической физики доказало правоту Голицына, да и сам эфир был исключен из физической картины мира. За Голицыным осталась историческая заслуга введения в науку важного понятия температуры излучения. В его диссертации содержались также и другие результаты, предвосхищавшие выводы Вина и Рэлея — Джинса. Однако резкий критический отзыв оппонентов Столетова и Соколова заставил Голицына взять диссертацию обратно.

    Борис Борисович Голицын родился 2 марта 1862 г. По происхождению он принадлежал к старому титулованному (князья Голицыны) дворянскому роду Он воспитывался в Морском корпусе, который окончил в 1880 г. в чине гардемарина. С 1884 по 1886 г. он учился в Морской академии, по окончании которой пытался поступить в Петербургский университет. Серьезным препятствием к осуществлению этого намерения было отсутствие аттестата зрелости, и Голицын, подобно Лебедеву, уехал в Страсбург к Кундту. Здесь он встретился с П. Н. Лебедевым, знакомство с которым перешло в дружбу. В Страсбурге он защитил диссертацию «О законе Дальтона» на степень доктора философии. Возвратившись в Россию, он сдал в Петербургском университете магистерские экзамены и был направлен в Москву, где получил место приват-доцента университета. Представленная им магистерская диссертация «Исследования по математической физике» дослужила началом тяжелой истории в летописях русской науки. Совершенно неожиданно для многих неудачный диссертант был избран в Петербургскую Академию наук на место, которое было уже обещано Столетову. Для самого Столетова эта история обернулась трагически: ослабленный переживаниями, его организм не вынес простудного заболевания, и вскоре после «академического инцидента» Столетов умер.

    Голицын, как академик, прославился своими исследованиями по сейсмологии и организации сейсмологических наблюдений. Ему принадлежат также важные исследования критического состояния, принципа Доплера — физо, где он совместно с И. И. Вилипом дал экспериментальное доказательство этого эффекта.

    Умер Голицын 16 мая 1916 г.

    Несмотря на существенные результаты, достигнутые в теории теплового излучения, вид универсальной функции распределения энергии излучения по длинам волн оставался неопределенным. Луммер (1860—1925) и Вин в 1895 г. построили модель абсолютно черного тела в виде замкнутой полости с малым отверстием. Через два года, в 1897 г., Луммер и Прингсгейм (1859—1917), проводя опыты с абсолютно черным телом, построили экспериментальные кривые распределения энергии по длинам волн. В этом же году проблему излучения начал атаковать Планк.

    Макс Планк родился 23 апреля 1858 г. в г. Киле в семье профессора юридического факультета Кильского университета Вильгельма Планка. Когда Максу было девять лет, семья переехала в Мюнхен. Планк учился сначала в Мюнхенском, а затем в Берлинском университете, где слушал лекции Кирхгофа, Гельмгольца, Вейерштрасса. Его заинтересовала термодинамика, особенно ее второй закон, и этот интерес остался у Планка на всю жизнь. Вернувшись в Мюнхен и сдав экзамен на право преподавания в высшем учебном заведении, Планк защитил в 1879 г. докторскую диссертацию «О втором законе механической теории тепла». Через год он защитил диссертацию «Равновесное состояние изотропных тел при различных температурах» на получение звания доцента.

    Работая доцентом Мюнхенского университета, Планк начал составлять курс лекций по теоретической физике. Но до 1897 г. он не мог приступить к публикации своих лекций. В 1887 г. он написал конкурсное сочинение на премию философского факультета Геттингенского университета. За это сочинение Планк получил премию, а сама работа, содержащая историко-методо-логический анализ закона сохранения энергии, переиздавалась пять раз, с 1887 по 1924 г. За это же время Планк опубликовал ряд работ по термодинамике физико-химических процессов. Особую известность получила созданная им теория химического равновесия разведенных растворов. В 1897 г. вышло первое издание его лекций по термодинамике. Эта классическая книга переиздавалась несколько раз (последнее издание вышло в 1922 г.) и переводилась на иностранные языки, в том числе и на русский. К тому времени Планк был уже ординарным профессором Берлинского университета и членом Прусской Академии наук. С 1897 г. Планк вплотную занялся проблемой теплового излучения.

    Результатом исследований было открытие искомой функции распределения энергии по частотам, интерпретация которой потребовала от Планка введения гипотезы квантов энергии. В 1906 г вышла классическая монография Планка «Лекции по теории теплового излучения». Она переиздавалась несколько раз. Русский перевод книги под названием «Теория теплового излучения» вышел в 1935 г. За открытие кванта действия в 1918 г. Максу Планку была присуждена Нобелевская премия по физике.

    Дальнейший жизненный путь Планка связан с тяжелыми переживаниями. Во время первой мировой войны погиб под Верденом его сын, умерли две дочери. В 1945 г. за участие в антигитлеровском заговоре был казнен его старший сын. Во время войны его дом был разбомблен, собранная им в течение всей жизни библиотека погибла. Сам он во время поездки в Кассель был засыпан в бомбоубежище, где провел несколько часов, пока его не откопали. Умер Планк 4 октября 1947 г., прожив почти 90 лет. Он видел возвышение и поражение Германии, пережил франко-прусскую войну, первую и вторую мировые войны. На его глазах происходили расцвет и крушение классической физики. При его жизни создавалась макс-велловская электродинамика, термодинамика, классическая статистика, электронная теория, теория относительности. Ему было сорок лет, когда супруги Кюри открыли радий, в сорок два года он сам открыл квант действия. Он был свидетелем развития квантовой механики, ядерной физики, а конец его жизни был озарен пожаром Хиросимы.

    Об истории открытия закона излучения и возникновения гипотезы квантов Планк рассказывал неоднократно. Об этом он говорил в своей нобелевской речи «Возникновение и постепенное развитие теории квантов», произнесенной в Стокгольме 2 июля 1920 г. Об этом рассказывается и в изданной посмертно в 1948 г. «Научной автобиографии» Планка.

    Как уже было сказано, Планк приступил к проблеме излучения в 1897 г. До этого наибольших успехов в решении этой задачи добился В. Вин. В 1893 г. он нашел формулу для объемной плотности невидимого излучения в виде функции

    где f — функция, остающаяся неопределенной. Из этой формулы вытекал закон смещения ? mах Т = const.

    В 1896 г. Вин пошел дальше и написал функцию в явном виде. Его закон имел вид:

    Казалось бы, задача была решена. Но, во-первых, вывод Вина с теоретической точки зрения не был безупречным, и Рэлей писал в 1900 г., что «с теоретической стороны этот результат представляется мне немногим более, чем догадкой»; во-вторых, — и это главное — формула Вина хорошо оправдывалась в области высоких частот (коротких волн), но в измерениях с инфракрасными волнами, выполненными Рубенсом и Курльбаумом, «обнаружилось совершенно отличное от закона Вина поведение».

    Во всяком случае Планк пошел своим путем. Он рассматривал модель черного тела, представлявшую собой совокупность электромагнитных осцилляторов, излучающих и поглощающих электромагнитную энергию каждый определенной частоты. Введя гипотезу «естественного излучения», Планк привел эту систему в соответствие с необратимостью термодинамических процессов, несмотря на то что излучение описывается обратимыми уравнениями электродинамики. 15 мая 1899 г. Планку удалось найти соотношение между объемной плотностью излучения и средней энергией осциллятора:

    где U(Т) — средняя энергия осциллятора.

    Планк установил соотношение между энергией и энтропией осциллятора, в основе которого, по-видимому, лежит закон Вина. Но как раз в это время измерения Рубенса и Курльбаума показали неприменимость закона Вина для длинных волн, и это поставило Планка перед трудной проблемой. Планк построил из связи энтропии и энергии некоторую величину R, которая в области применимости закона Вина оказывается пропорциональной энергии. Однако в областях длинных волн следовало принять R пропорциональной квадрату энергии.

    «Таким образом, — вспоминал Планк, — первыми опытами для функции R было установлено два простых предельных вида: при малых энергиях R пропорциональна энергии, а при больших энергиях — квадрату энергии... Дело теперь состояло в том, чтобы найти точное выражение для R, которое давало бы закон распределения энергии, совпадающий с экспериментально установленным. Теперь ничего другого не оставалось, как приравнять в общем случае величину R сумме двух членов — одного линейного, а другого квадратного по энергии, так что при малых энергиях решающее значение имел первый член, а при больших — второй.

    При этом была найдена новая формула для излучения, которую я представил на заседании Берлинского физического общества 19 октября 1900 г. и рекомендовал проверить».

    Формула, найденная Планком, имела вид:

    Рубенс немедленно после заседания начал сравнивать формулу Планка с данными его измерений. Утром он пришел к Планку и сообщил, что повсюду было найдено удовлетворительное совпадение его формулы с опытом. Но, как признавался Планк, метод нахождения формулы придавал ей «только формальный смысл удачно угаданного закона». И здесь Планк впервые обратился к статистике, к той самой статистике, с которой Михельсон начал поиски закона излучения, используя идеи Больцмана о связи энтропии и вероятности. Этой зависимости Планк придал следующий вид:

    S = klnW,

    где k — постоянная Больцмана, хотя ввел и впервые вычислил эту величину Планк. Для того чтобы ввести вероятность в закон излучения, Планку пришлось принять гипотезу, что каждый осциллятор излучает и поглощает энергию конечными порциями. Эту порцию Планк положил пропорциональной частоте ? = h? , где h — некоторая универсальная постоянная, которую Планк назвал «элементарным квантом действия». «Таким образом, — писал Планк, — и для излучения было установлено существование энтропии как меры вероятности в больцмановском смысле».

    Однако при подсчете вероятности Планку пришлось отойти от метода Больцмана, и только значительно позже выяснился смысл этого отхода: статистика квантов не является больцманов-ской. 14 декабря 1900 г. Планк доложил Берлинскому физическому обществу о своей гипотезе и новой формуле излучения

    Из этой формулы, справедливой во всех областях спектра, получались и закон Стефана — Больцмана и закон смещения Вина. Для больших частот она переходила в формулу Вина, а для малых частот — в формулу:

    данную Рэлеем в июле 1900 г. в небольшой статье «Замечания о законе черного излучения». Рэлей вывел эту формулу, применяя закон равномерного распределения энергии по степеням свободы.

    В 1905 г. он и независимо от него Джине показали, что классическая статистика приводит не к формуле Планка, а именно к формуле Рэлея, которая стала называться с тех пор законом Рэлея — Джинса.

    История закона излучения продолжалась еще и в XX в. Сам Планк как-то пытался ввести свою гипотезу в русло классических представлений. Однако это ему не удалось.

    Гипотеза квантов захватывала все новые и новые области, став «царицей» современной физики.

    Открытие рентгеновских лучей, радиоактивности, электрона, радия, кванта действия определило характер развития физики XX в. Начиналась научная революция.

    Глава четвёртая. Первый этап революции в физике

    Открытие радиоактивных преврещений. Идея атомной энергии

    Открытия конца XIX в. и первого пятилетия XX в. привели к революции в физическом миропонимании. Рухнуло представление о неизменных атомах, о массе как неизменном количестве вещества, о законах Ньютона как незыблемых устоях физической картины мира, об абсолютных пространстве и времени, в непрерывных процессах была обнаружена дискретность, прерывность.

    Представление о неизменных, неразрушимых атомах, существовавшее в физике и философии со времен Демокрита, было разрушено открытием радиоактивности. Уже в самом начале исследований радиоактивности Мария Склодовская-Кюри писала: «Радиоактивность урановых и ториевых соединений представляется атомнымт, свойствами... Я исследовала с этой точки зрения урановые и ториевые соединения и произвела множество измерений их активности при различных условиях. Из совокупности этих измерений выходит, что радиоактивность этих соединений действительно есть атомное свойство. Она представляется здесь связанной с наличностью атомов обоих рассматриваемых элементов и не уничтожается ни переменой физического состояния, ни химическими преобразованиями».

    Таким образом, оказалось, что атомы урана, тория и позднее открытых полония и радия не являются мертвыми кирпичиками, а обладают активностью, испускают лучи. Природа этих лучей была исследована рядом ученых, но первым обнаружил сложный состав радиоактивных лучей Резерфорд. В опубликованной в 1899 г. статье «Излучение урана и вызываемая им электропроводность» он показал электрическим методом, что излучение урана имеет сложный состав.

    Одну из пластин конденсатора покрывали порошком солей урана и соединяли с полюсом батареи, вторую соединяли с квадрантом квадрантного электрометра, другую пару квадрантов которого подключали к заземленному полюсу батареи. Измеряли скорость разряда, обусловленного ионизирующим действием урановых лучей. Порошок накрывали тонкими листами металлической фольги. «Эти опыты,— писал Резерфорд, — показывают, что излучение урана неоднородно по составу, — в нем присутствуют по крайней мере два излучения различного типа. Одно очень сильно поглощается, назовем его для удобства а-излучением, а другое имеет большую проникающую способность, назовем его Р-излучением».

    Во время исследований Резерфорд узнал о работе Шмидта, открывшего радиоактивность тория (об аналогичном открытии Склодовской-Кюри он, по-видимому, не знал). Он исследовал излучения тория и обнаружил, что а-излучение тория обладает большей проникающей способностью, чем а-излучение урана. Он также констатировал, что излучение тория «неоднородно по составу, в нем присутствуют какие-то лучи большой проникающей способности». Однако точного анализа ториевого излучения Резерфорд не проводил. В 1900 г. Вилар открыл сильно проникающее слабое излучение. Лучи Вилара стали называться 7-лучами.

    Оказалось, что ? -, ? -, ? - лучи отличаются не только проникающей способностью. Беккерель в 1900 г. показал, что р -лучи отклоняются магнитным полем в ту же сторону, что и катодные лучи. Этот результат получили супруги Кюри, Мейер, Швейдлер и другие. Эти опыты показали, как писал Резер-форд в 1902 г., что «отклоняемые лучи во всех отношениях подобны катодным лучам». Резерфорд прямо говорит о ? - лучах как об электронах. Проводя опыты именно с ? - лучами, В. Кауфман в 1901 г. обнаружил зависимость массы ох скорости.

    В феврале 1903 г. Резерфорд показал, что и «неотклоняемые» а-лучи на самом деле «отклоняются в сильном магнитном и электрическом полях. Эти лучи отклоняются в противоположную по сравнению с катодными лучами сторону и, следовательно, должны состоять из положительно заряженных частиц, движущихся с большой скоростью».

    В 1903 г. в своей докторской диссертации «Исследования о радиоактивных веществах» М. Склодовская-Кюри дала схему структуры радиоактивного излучения по отклонению их в магнитном поле, вошедшую с тех пор во все учебники.

    Вскоре после открытия полония и радия супруги Кюри установили, «что лучи, испускаемые этими веществами, действуя на неактивные вещества, способны сообщить им радиоактивность и что эта наведенная радиоактивность сохраняется в течение достаточно длительного времени».

    Затем Резерфорд, изучая радиоактивность соединений тория, писал, что эти соединения, кроме обычных радиоактивных лучей, «непрерывно испускают какие-то радиоактивные частицы, сохраняющие радиоактивные свойства в течение нескольких минут». Резерфорд назвал эти частицы «эманацией». «По своим фотографическим и электрическим действиям эманация похожа на уран. Она способна ионизировать окружающий газ и действует в темноте на фотопластинку при экспозиции в несколько дней». Резерфорд на опытах с соединениями тория подтвердил их свойство возбуждать «в любом твердом веществе, расположенном рядом с ним, радиоактивность, которая со временем исчезает», т. е. ту наведенную радиоактивность, которую Кюри наблюдала за год до этого. Он показал далее, что между эманацией тория и возбужденной радиоактивностью существует тесная связь. «Эманация,— писал Резерфорд, — в некотором смысле есть непосредственная причина возбуждения радиоактивности». Резер-форд не обнаружил испускания эманации имевшимся в его распоряжении образцом «не совсем чистого радия». Однако Дорн позднее использовал более чистый образец радия и показал, что радий обладает такой же способностью испускать эманацию, как и торий.

    «По мнению Резерфорда, — писала в своей диссертации Склодовская-Кюри, — эманация радиоактивного тела представляет собой материальный, радиоактивный газ, выделяющийся из этого тела». В 1902 г. Резерфорд и Содди выступили с первой статьей «Причина и природа радиоактивности». Исследуя способность соединений тория испускать эманацию, они химическими споcобами выделили из гидроокиси тория активный компонент, «обладающий специфическими химическими свойствами и активностью, по меньшей мере в 1000 раз большей активности вещества, из которого он был выделен».

    Рис. 60. Спинтарископ Крукса

    Сославшись на пример Крукса, выделившего в 1900 г. из урана активный компонент, названный Круксом UX, Резерфорд и Содди назвали выделенный ими из тория компонент ThX. В результате тщательных исследований они пришли к выводу: «Радиоактивность тория в любой момент есть радиоактивность двух противоположных процессов:

    1) образования с постоянной скоростью соединением тория нового активного вещества;

    2) уменьшения со временем излучающей способности активного вещества.

    Нормальная или постоянная радиоактивность тория есть равновесное состояние, при котором скорость роста радиоактивности, обусловленная образованием нового активного вещества, уравновешивается скоростью уменьшения радиоактивности уже образовавшегося вещества».

    Отсюда следует кардинальный вывод, который Резерфорд и Содди формулируют так: «...радиоактивность есть атомное явление, одновременно сопровождаемое химическими изменениями, в результате которых появляются новые типы вещества, причем эти изменения должны протекать внутри атома, а радиоактивные элементы должны испытывать спонтанные превращения».

    Первая статья Резерфорда и Содди появилась в сентябрьском номере «Philosophical Magazine». В ноябрьском номере появилась вторая статья. Описав эксперимент по измерению эманационной способности, Резерфорд и Содди писали далее: «Было приведено достаточно данных, чтобы ясно показать, что как в радиоактивности тория, так и радия проявляются сложнейшие превращения, каждое из которых сопровождается непрерывным образованием особого вида активного вещества». Образующаяся из радия и тория эманация является инертным газом. Ученые обращают внимание на связь радиоактивности с гелием, который, возможно, является конечным продуктом распада.

    В апреле и мае 1903 г. появились новые работы Резерфорда и Содди — «Сравнительное изучение радиоактивности радия и тория» и «Радиоактивное превращение». Теперь они уже со всей определенностью утверждают, что «все изучавшиеся случаи радиоактивного превращения сводятся к образованию одного вещества из другого (если не учитывать испускаемые лучи). Когда происходит несколько превращений, то они происходят не одновременно, а последовательно».

    Далее Резерфорд и Содди формулируют закон радиоактивного превращения: «Во всех случаях, когда отделяли один из радиоактивных продуктов и исследовали его активность независимо от радиоактивности вещества, из которого он образовался, было обнаружено, что активность при всех исследованиях уменьшается со временем по закону геометрической прогрессии».

    Отсюда следует, что «скорость превращения все время пропорциональна количеству систем, еще не подвергнувшихся превращению»:

    dN/dt = -? Nt

    Другими словами: «Относительное количество радиоактивного вещества, превращающегося в единицу времени, есть величина постоянная». Эту постоянную Резерфорд и Содди назвали радиоактивной постоянной, а теперь ее называют постоянной распада.

    Из своего открытия Резерфорд и Содди делают важные выводы о существовании новых радиоактивных элементов, которые могут быть опознаны по их радиоактивности, даже если они имеются в ничтожно малых количествах.

    Предвидение Резерфорда и Содди блестяще оправдалось, а методы радиохимии, созданные супругами Кюри, Резерфордом и Содди, стали мощным орудием в открытии новых элементов, позволившим отождествить новый, 101-й элемент—менделеевий — в количестве всего 17 атомов.

    В своей классической работе Резерфорд и Содди коснулись фундаментального вопроса об энергии радиоактивных превращений. Подсчитывая энергию испускаемых радием а-частиц, они приходят к выводу, что «энергия радиоактивных превращений, по крайней мере, в 20 000 раз, а может, и в миллион раз превышает энергию любого молекулярного превращения». При этом данные оценки энергии касаются лишь энергии излучения, а не полной энергии радиоактивного превращения, которая, в свою очередь, может составлять лишь часть внутренней энергии атома, так как внутренняя энергия образующихся продуктов остается неизвестной.

    Резерфорд и Содди считают, что «энергия, скрытая в атоме, во много раз больше энергии, освобождающейся при обычном химическом превращении». Эта огромная энергия, по их мнению, должна учитываться «при объяснении явлений космической физики». В частности, постоянство солнечной энергии можно объяснить тем, «что на Солнце идут процессы субатомного превращения».

    Вновь поражаешься прозорливости авторов, увидевших еще в 1903 г. космическую роль ядерной энергии. 1903 г. стал годом открытия этой новой формы энергии, о которой с такой определенностью высказывались Резерфорд и Содди, назвав ее внутриатомной энергией.

    В том же году в Париже Пьер Кюри со своим сотрудником Лабордом измерил теплоту, самопроизвольно выделяемую солями радия. Он установил: «1 грамм радия выделяет количество теплоты порядка 100 малых калорий за один час». «Непрерывное выделение такого количества тепла, — писал Кюри, —не может быть объяснено обычным химическим превращением. Если искать причину образования тепла в каких-то внутренних превращениях, то эти превращения должны быть более сложной природы и должны быть вызваны какими-то изменениями самого атома радия».

    Правда, Кюри допускал возможность и какого-то другого механизма выделения энергии. Мария Склодов-ская-Кюри предполагала, что радиоактивные элементы берут энергию из внешнего пространства. Оно «постоянно пронизывается некоторыми неизвестными еще радиациями, которые при встрече с радиоактивными телами задерживаются и преобразуются в радиоактивную энергию». Но эта гипотеза, высказанная ею в 1900 г., замечательная содержащейся в ней идеей космического излучения, была оставлена, и в 1903 г. Кюри признала: «Новейшие исследования благоприятствуют гипотезе атомных превращений радия».

    1903 г. следует считать в истории радиоактивности красной датой. Это год открытия закона радиоактивных превращений и нового вида энергии — атомной энергии, проявляющейся в этих превращениях. Это год рождения первого прибора, позволяющего «видеть» отдельные атомы,— спинтарископа Крукса. «Существенная часть этого прибора, — писала Мария Склодовская-Кюри, — зернышко радиевой соли, укрепленное на конце металлической проволоки перед экраном из фосфоресцирующего цинка. Расстояние от радия до экрана очень мало (примерно 1/2 мм). В лупу наблюдают обращенную к радию сторону экрана. Глаз видит здесь настоящий дождь светящихся точек, которые постоянно вспыхивают и вновь исчезают; экран имеет вид как бы звездного неба».

    Высказав гипотезу, что каждая вспышка экрана обусловлена ударом в него а-частицы, Кюри пишет, что в таком случае «здесь мы в первый раз имели бы перед собой явление, позволяющее различать индивидуальное действие частицы, имеющей атомные размеры». Так оно и оказалось.

    Наконец, 25 июня 1903 г. Мария Склодовская-Кюри защищает свою докторскую диссертацию, из которой мы взяли описание спинтарископа, и становится первой женщиной во франции, получившей эту высокую ученую степень. Здесь мы вступили в область личных биографий и, поскольку это произошло, приведем краткую биографическую справку об одном из авторов закона радиоактивного распада — Фредерике Содди.

    Фредерик Содди родился 2 сентября 1877 г. В 1896 г. он окончил университет в Оксфорде. Его имя вошло в историю науки с того времени, как он в 1900— 1902 гг работал вместе с Резерфордом в Монреале, в Канаде, и пришел вместе с ним к теории радиоактивных превращений. В 1903—1904 гг. Содди работал с У. Рамзеем в Лондонском университете, и здесь в 1903 г. он вместе с Рамзеем доказал спектроскопическим путем, что из эманации радия получается гелий. С 1904 по 1914 г. Содди был профессором университета в Глазго. Здесь он независимо от фаянса открывает закон радиоактивного смещения (1913) и вводит понятие изотопов.

    С 1914 по 1919 г. Содди — профессор Абердинского университета, с 1919 по 1936 г. он —профессор Оксфордского университета. В 1921 г. Содди получил Нобелевскую премию по химии.

    Его перу принадлежит ряд книг по радиоактивности и радиохимии, некоторые из них переведены на русский язык: «Радий и его разгадка», «Материя и энергия», «Химия радиоэлементов», «Радий и строение атома».

    Умер Содди 22 сентября 1956 г.

    Содди был одним из первых адептов атомной энергии. В книге «Радий и его разгадка», русский перевод которой вышел в 1910 г, он ставит вопрос: обладают ли нерадиоактивные элементы запасом энергии? Он решает его в том смысле, что «этим внутренним запасом энергии, с которым мы впервые познакомились в связи с радием, в большей или меньшей степени обладают все элементы вообще и что он является неотъемлемой особенностью их внутреннего строения». При трансмутации (превращении) элементов происходит выделение энергии.

    Содди ясно видел огромную трудность задачи освобождения внутриатомной энергии и недостаточность имевшихся тогда средств для ее решения, но опыт истории науки внушил ему уверенность в ее решении в будущем «Мы едва ли можем сомневаться в том, что когда-нибудь мы сможем разрушать и создавать элементы, как теперь мы разрушаем и создаем химические соединения; мировой пульс забьется тогда с новой силой, также неизмеримо превосходящей все силы, как эти последние, в свою очередь, превосходят естественные ресурсы дикаря»

    Развитие квантовой теории Эйнштейном

    Открытие радиоактивных превращений и возникновение представлений об огромных запасах внутриатомной энергии было одним из существенных моментов начавшейся революции в физике. Столь же существенным было возникновение теории относительности, новых представлений о пространстве, времени, массе, о связи массы и энергии. Гораздо менее заметными и очень медленно сказывающимися были I идеи Планка о квантах энергии Сам создатель этой идеи, хотя и использовал свою формулу для определения таких атомных констант, как число Авогадро и заряд электрона, не слишком верил в кванты и полагал, что их как-то удастся ввести в русло представлений электромагнитной теории света.

    Впервые обратил внимание на идею квантов и развил ее Альберт Эйнштейн в опубликованной в 1905 г. статье «Об одной эвристической точке зрения, касающейся возникновения и превращения света». В самом начале статьи Эйнштейн подчеркивал противоположность представлений физики о структуре материи и структуре света. «Согласно теории Максвелла, — писал Эйнштейн,—во всех электромагнитных, а значит, и световых явлениях энергию следует считать величиной, непрерывно распределенной в пространстве, тогда как энергия весомого тела, по современным физическим представлениям, складывается из энергий атомов и электронов. Энергия весомого тела не может быть раздроблена на сколь угодно большое число произвольно малых частей, тогда как энергия пучка света, испущенного точечным источником, по максвелловской (или вообще по любой волновой) теории света, непрерывно распределяется по все возрастающему объему».

    Однако Эйнштейн полагает, что «теория света, оперирующая непрерывными пространственными функциями, приведет к противоречию с опытом, когда ее будут применять к явлениям возникновения и превращения света». По мнению Эйнштейна, явления «черного излучения», фотолюминесценции, фотоэффекта и другие, связанные с возникновением и превращением света, «лучше объясняются предположением, что энергия света распределяется по пространству дискретно».

    Согласно сделанному им в этой статье предположению «энергия пучка света, вышедшего из каждой точки, не распределяется непрерывно во все возрастающем объеме, а складывается из конечного числа локализованных в пространстве неделимых квантов энергии, поглощаемых или возникающих только целиком».

    Так Эйнштейн вернулся к ньютоновским представлениям о неделимых световых частицах, «поглощаемых или возникающих только целиком».

    Но это возвращение произошло на новом, высшем уровне, когда оптика прочно усвоила волновые представления и не собиралась, да и не могла от них отказаться. В. И. Ленин сравнивал развитие науки с движением по спирали. Эйнштейн начал в теории света новый виток спирали.

    Эйнштейн начинает с рассмотрения одной трудности в теории излучения черного тела. Если представить, что электромагнитные осцилляторы, которыми являются молекулы тела, подчиняются законам классической статистики Максвелла — Больцмана, то каждый такой осциллятор в среднем будет обладать энергией:

    где R — постоянная Клапейрона, N — число Авогадро. Используя соотношение Планка между средней энергией осциллятора и объемной плотностью энергии, находящейся с ним в равновесном излучении:

    где E? — средняя энергия осциллятора частоты v, L — скорость света, ? — объемная плотность энергии излучения, Эйнштейн пишет равенство:

    Из него он находит объемную плотность энергии:

    «Это соотношение, — пишет Эйнштейн, — найденное при условии динамического равновесия, не только противоречит опыту, но и утверждает, что в нашей картине не может быть и речи о каком-либо однозначном распределении энергии между эфиром и веществом». В самом деле, суммарная энергия излучения оказывается бесконечной:

    К аналогичному выводу в том же, 1905 г. пришли независимо друг от друга Рэлей и Джине. Классическая статистика приводит к закону излучения, резко противоположному опыту. Эта трудность получила название «ультрафиолетовая катастрофа».

    Эйнштейн указывает, что формула Планка:

    переходит для больших длин волн и больших плотностей излучения в найденную им формулу:

    Эйнштейн подчеркивает, что значение числа Авогадро совпадает со значением, найденным другим способом. Обращаясь далее к закону Вина , хорошо оправдывающегося для больших значений ?/T, Эйнштейн получает выражение энтропии излучения:

    «Это равенство показывает, что энтропия монохроматического излучения достаточно малой плотности зависит от объема так же, как энтропия идеального газа или разбавленного раствора».

    Переписав это выражение в виде:

    и сравнивая его с законом Больцмана:

    S-S0= (R/N) lnW,

    Эйнштейн находит выражение вероятности того, что энергия излучения в объеме V0 сосредоточится в части объема V:

    Эйнштейн интерпретирует эту формулу следующим образом: «Монохроматическое излучение малой плотности (в пределах области применимости закона излучения Вина) в смысле теории теплоты ведет себя так, как будто оно состоит из независимых друг от друга квантов энергии величиной R??/N». Заметим, что величина ? в современных обозначениях равна ?=h/k, где k = R/N, и, таким образом, энергия кванта (R??/N)=h?

    Эйнштейн применяет свою теорию к явлению люминесценции и не только дает объснение правила Стокса, согласно которому частота люминесценции v2 меньше или равна частоте возбуждающего излучения v1 ( v2 < v1), но и указывает на возможные причины отступления от него.

    Особенно важное значение имеет объяснение Эйнштейном фотоэффекта. Квант энергии света, поглощаясь электроном, сообщает ему кинетическую энергию (R/N) ?? - P, где Р - работа выхода электрона. При наличии задерживающего потенциала Я, препятствующего электрону покидать освещаемую поверхность, выполняется равенство:

    П = (R/N) ?? - P.

    Такова знаменитая теория фотоэффекта, давшая простое и непринужденное объяснение этого явления, остававшегося загадкой для волновой теории.

    Наблюдения, сделанные Ленардом в 1902 г., как указывал Эйнштейн в своей статье, не противоречили его теории. В самом деле, скорости фотоэлектронов не зависели от интенсивности световых лучей, а число их было пропорционально интенсивности. Что же касается зависимости энергии фотоэлектронов от частоты, то она была исследована лишь в 1912 г. Ричардсоном, Комптоном и в 1916 г. Милликеном. Последние классические эксперименты наряду с измерениями Милликеном элементарного заряда были удостоены Нобелевской премии.

    К идее квантов Эйнштейна привел закон Вина, справедливый в области коротких волн. Ему казалось, как он писал год спустя, что «теория излучения Планка в известном смысле противостоит моей работе». Однако тщательный анализ закона Планка привел Эйнштейна к выводу, что формула Планка основана на гипотезе квантов. Этот вывод составляет содержание работы Эйнштейна 1906 г. «К теории возникновения и поглощения света». Здесь Эйнштейн показал, что в основе теории Планка лежит следующее утверждение: «Энергия элементарного резонатора может принимать только целочисленные значения, кратные величине (R/N) ??, энергия резонатора при поглощении и испускании меняется скачком, а именно на целочисленное значение, кратное величине (R/N) bv ».

    Эйнштейн увидел кванты впервые именно там, где квантовая природа света выражена особенно отчетливо: в явлении фотоэффекта. Квантовый характер излучения для него был очевиден только в коротковолновой области спектра, в области применимости закона Вина. Лишь через год он понял, что кванты являются фундаментом закона Планка. Каприз исторического развития науки выразился в том, что кванты появились в физике там, где их труднее всего было увидеть, — в законе черного излучения. Эйнштейн шел к квантовой теории естественным путем и сразу понял необходимость введения квантовых представлений в теорию света. Для него сомнений Планка и других физиков, считавших гипотезу квантов временной, не существовало. Он ясно видел, что возникновение и поглощение света описывается квантовыми законами.

    В работе 1906 г. Эйнштейн устанавливает количественные соотношения между рядом напряжений Вольта и пороговой частотой фотоэффекта. Это соотношение выражается формулой:

    U=(R/A) ??

    и для контактной разности потенциалов двух металлов, выраженной в вольтах, Эйнштейн получает следующее значение:

    «В этой формуле, — пишет Эйнштейн, — содержится следующее, по крайней мере в общем и целом, справедливое утверждение: чем более электроположительным является металл, тем меньше низшая частота света, вызывающая фотоэффект».

    В следующем, 1907 г. Эйнштейн применил идею квантов к теории теплоемкости. Теорема равномерного распределения энергии по степеням свободы в теории теплоемкости твердого тела приводит к закону Дюлонга и Пти, который Эйнштейн записывает в виде с = 3Rn, или с = 5,94n, где п — число атомов в молекуле. Эта формула не дает зависимости теплоемкости от температуры и не дает правильного значения теплоемкости для углерода (алмаза), бора и кремния. Эйнштейн, предположив, что молекула твердого тела является квантовым осциллятором со средней энергией

    получил для удельной теплоемкости грамм-эквивалента выражение:

    Таким образом, теплоемкость является функцией температуры. Она удовлетворяет закону Дюлонга и Пти только при комнатной температуре, при приближении к абсолютному нулю теплоемкость падает.

    Этот вывод был экспериментально подтвержден работами Нернста и его учеников, в результате которых Нернст пришел к своему тепловому закону, названному третьим началом термодинамики. Вместе с тем оказалось, что основная предпосылка Эйнштейна о монохроматичности колебаний осциллятора неверна, и сам Эйнштейн, а также Дебай, Борн и Карман уточнили квантовую теорию теплоемкости. Но основное положение работы Эйнштейна, что энергия элементарного образования может принимать только

    значения 0, (R/N)??, 2(R/N)?? и т. д., т. е. энергия квантуется, осталось незыблемым. Эйнштейну принадлежит заслуга расширения идеи квантов на новые области, что показало ее фундаментальное значение в физике. В этом заключалась вторая важная черта научной революции в физическом миропонимании, не сразу принятая и осознанная физиками.

    Ленинский анализ 'Новейшей революции в естествознании'

    В 1909 г. вышла книга В. И. Ленина «Материализм и эмпириокритицизм» В. И. Ленин не был физиком и, написав эту книгу, выполнил важную партийную, политическую задачу, разоблачив антимарксистские взгляды, бытовавшие в годы реакции среди части русских социал-демократов. Непосредственным поводом к написанию работы послужил выход книги «Очерки по философии марксизма», составленной из статей В. А. Базарова, А В. Луначарского, А. А. Богданова и других авторов, называвших себя марксистами. На самом деле в книге излагалась не философия марксизма, а философия Маха, Авенариуса и других эмпириокритиков и эмпирионистов.

    По свидетельству Маха, еще в 1863— 1871 гг. он пришел к выводу, «что цель физических исследований заключается в установлении зависимости наших чувственных переживаний друг от друга, а понятия и теории физики суть лишь средства для достижения этой цели, — средства временные, которыми мы пользуемся лишь в видах экономии мышления (некоторые же физические понятия могут быть признаны даже аналогом к иллюзорной вещи в себе)».

    В. И. Ленин поставил задачу разоблачить антимарксистский, антиматериалистический характер выступлений русских махистов, эмпириокритиков. Он охарактеризовал эти выступления как «типичный философский ревизионизм» и поставил своей задачей «разы-

    екать, на чем свихнулись люди, преподносящие под видом марксизма нечто невероятно сбивчивое, путаное и реакционное».( Ленин В. И. Материализм и эмпириокритицизм. — Поли. собр. соч., т. 18, с. 11. )

    Решая эту задачу, В. И. Ленин глубоко проанализировал не только теорию познания Маха, Авенариуса и русских эпигонов махизма, но и «новейшую революцию в естествознании», посвятив ей пятую главу своего труда. Он выполнил колоссальную работу, которую не мог выполнить ни один из его современников — естествоиспытателей или философов (напомним, что Плеханов в своих выступлениях против махистов обошел полным молчанием революцию в физике).

    В. И. Ленин, цитируя различных авторов, в том числе и Анри Пуанкаре («Ценность науки», 1905), отмечает важнейшие революционные открытия в области физики: Х-лучи, лучи Беккереля, радий, электронную теорию, электромагнитную массу, нарушение принципов механики Ньютона и т. д.

    Заметим, что В. И. Ленин не упоминает ни теории относительности, ни теории квантов. Это вполне естественно. Во время работы В. И. Ленина над «Материализмом и эмпириокритицизмом» эти новые области физики печатались только на страницах специальных журналов, для них не было даже соответствующих рубрик в реферативных журналах. В обзорных работах, в популярных книгах господствовал еще эфир и как последнее достижение физики освещалась электромагнитная теория света Максвелла.

    Характерна в этом отношении книга Люсьена Пуанкаре (1862-1920), вышедшая в 1906 г., которой также пользовался В. И. Ленин в работе над своим произведением. Книга называлась «Эволюция современной физики». В 1910 г. она вышла в русском переводе.

    Самая последняя научная новость, о которой сообщалось в книге, — это гипотеза радиоактивного распада Резер-форда — Содди и вопрос о внутриатомной энергии.

    Титульный лист первого издания книги Ленина 'Материализм и эмпириокритицизм'

    Книга Л. Пуанкаре дает представление об умонастроениях физиков 1905 г., в момент перехода от механической картины мира к электромагнитной. Имена Лоренца, Лармора, Ланжевена фигурируют на заключительных страницах книги. К ним прибавляются имена Рентгена, Беккереля, супругов Кюри, Резерфорда, но имена Планка и Эйнштейна не встречаются в книге. В книге В. И. Ленина встречаются те же имена, за исключением супругов Кюри и Резерфорда. Говоря об электромагнитном понимании материи, он ссылается на книгу О. Лоджа «Об электронах» (1906), А. Риги «О строении материи» (1908), Д. Д. Томсона «Корпускулярная теория материи» (1907), статью П. Ланжевена «физика электронов» (1905). Ни в одной из этих работ не упоминаются Планк и Эйнштейн. Естественно, что и В.И.Ленин не упоминает этих имен, хотя, как мы увидим далее, он прекрасно понял релятивистский характер новой физики.

    Оценивая ситуацию, сложившуюся в физике в результате новых открытий, В. И. Ленин обращает внимание на высказывание А. Пуанкаре о наличии «серьезного кризиса» в физике, вызванного электронной теорией материи, и прежде всего исчезновением «реальной или механической массы электрона», которая оказывается полностью электромагнитной. «Исчезает масса. Подрываются основы механики».( Ленин В. И. Материализм и эмпириокритицизм. — Полн.собр. соч., т. 18, с. 267. )

    В. И. Ленин приводит далее высказывание А. Рея (1873—1940), который противопоставляет единодушие физиков первых двух третей XIX в., считавших, что «физика есть лишь более сложная механика», разброду в современной физике, когда «у каждого ученого свои особые тенденции» и физика как наука «имеет многочисленные школы, выводы которых зачастую расходятся, а иногда прямо враждебны один другому...».( Ленин В. И. Материализм и эмпириокритицизм. — Полн.собр. соч., т. 18, с. 267. )

    В. И. Ленин, рассматривая далее высказывание Рея, уточняет философскую сущность в воззрениях физиков: «Материалистическая теория познания, стихийно принимавшаяся прежней физикой, сменилась идеалистической и агностической, чем воспользовался фидеизм, вопреки желанию идеалистов и агностиков».( Ленин В. И. Материализм и эмпириокритицизм. — Полн.собр. соч., т. 18, с. 267. )

    Рей разделяет физиков по их идейным позициям на три школы: энергетическую, или концептуалистскую (Мах, Дюгем), механическую, или новомеханическую (Кирхгоф, Гельм-гольц, Томсон (лорд Кельвин), Максвелл из старых, Лармор, Лоренц из новых физиков) и промежуточную, критическую, школу (Анри Пуанкаре). В. И. Ленин критикует эту классификацию, он указывает на неточность терминологии Рея и показывает, что суть дела в замене материализма идеализмом.

    «Суть кризиса современной физики состоит в ломке старых законов и основных принципов, в отбрасывании объективной реальности вне сознания, т. е. в замене материализма идеализмом и агностицизмом».( Ленин В. И. Материализм и эмпириокритицизм. — Полн.собр. соч., т. 18, с. 267. ) Основной трудностью, породившей этот кризис, было «исчезновение материи». В. И. Ленин посвящает анализу этой проблемы отдельный раздел— «Материя исчезла». Результат этого анализа выражен им с классической ясностью: «Материя исчезает» — это значит исчезает тот предел, до которого мы знали материю до сих пор, наше знание идет глубже; исчезают такие свойства материи, которые казались раньше абсолютными, неизменными, первоначальными (непроницаемость, инерция, масса и т. п.) и которые теперь обнаруживаются, как относительные, присущие только некоторым состояниям материи. Ибо единственное «свойство» материи, с признанием которого связан философский материализм, есть своиство быть объективной реальностью, существовать вне нашего сознания».( Ленин В. И. Материализм и эмпириокритицизм. — Полн.собр. соч., т. 18, с. 272. )

    Таково знаменитое ленинское объяснение проблемы «исчезновения материи».

    Наши представления о мире, о материи развиваются, видоизменяются по мере развития наших знаний, но незыблемой остается сама объективная реальность — материя, существующая независимо от нашего сознания.

    Говоря конкретно об изменении этих знаний, В. И. Ленин опирается на господствующую схему развития материи: эфир, первоатом, химический атом, молекула, частица, тело. Старое, ньютоновское: может быть, все вещи произошли из эфира — с особой силой зазвучало в начале XX в. у Д. Д. Томсона, А. Риги, Лармора, Лоренца, Лоджа.

    В. И. Ленин не мог пройти мимо этого всеобщего убеждения. Он писал: «Как ни диковинно с точки зрения «здравого смысла» превращение невесомого эфира в весомую материю и обратно, как ни «странно» отсутствие у электрона всякой иной массы, кроме электромагнитной, как ни необычно ограничение механических законов движения одной только областью явлений природы и подчинение их более глубоким законам электромагнитных явлений и т. д., — все это только лишнее подтверждение диалектического материализма. Новая физика свихнулась в идеализм, главным образом, именно потому, что физики не знали диалектики».( Ленин В. И. Материализм и эмпириокритицизм. — Поли. собр. соч., т. 18, )

    В. И. Ленин показывает, как и в чем «свихнулись» физики, которые не поняли, что обнаружившаяся несостоятельность метафизического, механического материализма вовсе не означает несостоятельность философского материализма. Крушение старых представлений о материи вовсе не означает исчезновения материи, радикальное изменение наших знаний вовсе не означает отсутствия объективной закономерности в природе. В. И. Ленин писал: «Неизменно, с точки зрения Энгельса, только одно: это — отражение человеческим сознанием (когда существует человеческое сознание) независимо от него существующего и развивающегося внешнего мира... «Сущность» вещей или «субстанция» тоже относительны; они выражают только углубление человеческого познания объектов, и если вчера это углубление не шло дальше атома, сегодня — дальше электрона и эфира, то диалектический материализм настаивает на временном, относительном, приблизительном характере всех этих вех познания природы прогрессирующей наукой человека. Электрон так же неисчерпаем, как и атом, природа бесконечна, но она бесконечно существует, и вот это-то единственно категорическое, единственно безусловное признание ее существования вне сознания и ощущения человека и отличает диалектический материализм от релятивистского агностицизма и идеализма».( Ленин В. И. Материализм и эмпириокритицизм. — Поли, собр. соч., т. 18, с. 277-278. )

    Поразительна сила философского мышления Ленина и его несокрушимый научный оптимизм! В эпоху всеобщей растерянности физиков перед лицом новых необычных фактов, в эпоху, когда физики с трудом осваивали переход от механической картины мира к электромагнитной, В. И. Ленин видит уже и эту электромагнитную картину только временным этапом прогрессирующего познания природы человеком. Только что открытый электрон, который, как казалось, является заменой неизменному, неделимому демокритов-скому атому, Ленин объявляет неисчерпаемым.

    В своей последней статье, опубликованной посмертно, лауреат Нобелевской премии Сесил Фрэнк Пауэлл (1903—1969) писал: «Недавно я вспомнил поразительное замечание, сделанное Лениным в 1908 г. в книге «Материализм и эмпириокритицизм», когда электрон был единственной известной элементарной частицей. В то время, как весь научный мир считал, что существуют лишь неизменяемые частицы, Ленин сказал, что электрон неисчерпаем».

    Итак, спустя. 60 лет после выхода «Материализма и эмпириокритицизма» физик, открывший пи-мезоны и другие элементарные частицы, вспомнил «поразительное» утверждение В. И. Ленина о неисчерпаемости электрона, блестяще оправданное последующим развитием физики.

    В. И. Ленин дал точную характеристику современной ему физики. Он писал: «Но как бы ни зарекались от материализма и Рей, и физики, про которых он говорит, а все же остается несомненным, что механика была снимком с медленных реальных движений, а новая физика есть снимок с гигантски быстрых реальных движений. Признание теории снимком, приблизительной копией с объективной реальности,— в этом и состоит материализм».( Ленин В. И Материализм и эмпириокритицизм. — Поли. собр. соч., т. 18, с. 280-281. )

    Из этих слов видно, что В. И. Ленин, не упоминая об Эйнштейне и, вероятно, еще не зная о теории относительности, очень точно отметил переход от классической механики, верной для малых скоростей, к релятивистской механике «гигантски быстрых движений».

    Замечательно также высказывание В. И. Ленина о диалектическом характере новой физики, приведенное им в разделе «Два направления в современной физике и английский спиритуализм». Полемизируя с английским спиритуалистом Уордом, В. И. Ленин писал: «Разрушимость атома, неисчерпаемость его, изменчивость всех форм материи и ее движения всегда были опорой диалектического материализма. Все грани в природе условны, относительны, подвижны, выражают приближение нашего ума к познанию материи, — но это нисколько не доказывает, чтобы природа, материя сама была символом, условным знаком, т. е. продуктом нашего ума. Электрон относится к атому, как точка в этой книге к объему здания в 30 сажен длины, 15 — ширины и 7и 1/2 — высоты (Лодж), он двигается с быстротой до 270 000 километров в секунду, его масса меняется с его быстротой, он делает 500 триллионов оборотов в секунду, — все это много мудренее старой механики, но все это есть движение материи в пространстве и во времени. Ум человеческий открыл много диковинного в природе и откроет еще больше, увеличивая тем свою власть над ней, но это не значит, чтобы природа была созданием нашего ума или абстрактного ума, т. е. уордовского бога, богдановской «подстановки» и т. п.».( Ленин В. И. Материализм и эмпириокритицизм. — Поли. собр. соч., т. 18, с. 298. )

    В. И. Ленин увидел в проникновении физики в микромир, в мир разрушаемого атома торжество материалистической диалектики.

    Он пророчески указывал, что это проникновение приведет к увеличению власти человека над природой, и открытие атомной энергии подтвердило его предвидение.

    В. И. Ленин ставит вопрос: почему новая физика оказалась связанной с махизмом? Он утверждает, что эта связь заключается в том, что махисты в физике «рабски плетутся за модой», не умея оценить новые тенденции, определить их место. В. И. Ленин разоблачает фальшь разглагольствований на тему, что «философия Маха есть «философия естествознания XX века», «новейшая философия естественных наук», «новейший естественнонаучный позитивизм» и т. п.».( Ленин В. И. Материализм и эмпириокритицизм. — Полн. собр. соч., т. 18, с. 321. )

    Он указывает, что махизм связан только с одной школой — школой Пуанкаре, Дюгема, Пирсона — и что общим у всех представителей этой школы является философский идеализм. Он указывает, что этот уклон в сторону идеализма у одной школы естествознания «есть временный зигзаг, преходящий болезненный период в истории науки, болезнь роста, вызванная больше всего крутой ломкой старых установившихся понятий».( Ленин В. И. Материализм и эмпириокритицизм. — Полн. собр. соч., т. 18, с. 321. )

    В. И. Ленин обращает внимание на высказывание Рея о математизации физики" «Кризис физики состоит в завоевании физики духом математики Прогресс физики, с одной стороны, и прогресс математики, с другой, привели в XIX веке к тесному сближению этих обеих наук...».( Ленин В. И. Материализм и эмпириокритицизм. — Полн. собр. соч., т. 18, с. 321. )

    Отмечая это обстоятельство (В. И. Ленин приводит длинную выдержку из Рея о математизации физики), В. И Ленин пишет: «Реакционные поползновения порождаются самим прогрессом науки. Крупный успех естествознания, приближение к таким однородным и простым элементам материи, законы движения которых допускают математическую обработку, порождает забвение материи математиками. «Материя исчезает», остаются одни уравнения».( Ленин В. И. Материализм и эмпириокритицизм. — Полн. собр. соч., т. 18, с. 321. )

    Другой причиной «физического» идеализма В. И. Ленин считает «принцип релятивизма, относительности нашего знания, принцип, который с особенной силой навязывается физикам в период крутой ломки старых теорий и который — при незнании диалектики — неминуемо ведет к идеализму».( Ленин В. И. Материализм и эмпириокритицизм. — Полн. собр. соч., т. 18, с. 327. )

    Подводя итоги своего анализа «новейшей революции в естествознании», В. И. Ленин писал: «Одним словом, сегодняшний «физический» идеализм точно так же, как вчерашний «физиологический» идеализм, означает только то, что одна школа естествоиспытателей в одной отрасли естествознания скатилась к реакционной философии, не сумев прямо и сразу подняться от метафизического материализма к диалектическому материализму. Этот шаг делает и сделает современная физика, но она идет к единственно верному методу и единственно верной философии естествознания не прямо, а зигзагами, не сознательно, а стихийно, не видя ясно своей «конечной цели», а приближаясь к ней ощупью, шатаясь, иногда даже задом».( Ленин В. И. Материализм и эмпириокритицизм. — Полн. собр. соч., т. 18, с. 327. )

    В сложной противоречивой обстановке физики начала XX в. В. И. Ленин увидел главное: современная физика «рожает диалектический материализм». Теперь диалектический характер физической науки ясен даже противникам материалистической диалектики. В. И. Ленин, не будучи специалистом-физиком, сумел глубоко схватить философскую сущность новых открытий в физике, увидел рождение диалектики физикой тогда, когда одна школа естествоиспытателей увидела в них идеализм.

    В.И.Ленин отмечает именно одну школу, подчеркивая тем самым, что основная масса физиков не сознательно, стихийно укрепляла фундамент материалистической диалектики. Гениальный труд В. И.Ленина помогает физикам и сегодня правильно ориентироваться в сложном мире, открываемом современной наукой.

    Глава пятая. Атом Резерфорда-Бора

    Модели атома до Бора

    Развитие исследований радиоактивного излучения, с одной стороны, и квантовой теории — с другой, привели к созданию квантовой модели атома Резерфорда — Бора. Но созданию этой модели предшествовали попытки построить модель атома на основе представлений классической электродинамики и механики. В 1904 г. появились публикации о строении атома, принадлежащие одна японскому физику Хантаро Нагаока (1865—1950), другая — английскому физику Д. Д. Томсону.

    Нагаока исходил из исследований Максвелла об устойчивости колец Сатурна и представил строение атома аналогичным строению солнечной системы: роль Солнца играет положительно заряженная центральная часть атома, вокруг которой по установленным кольцеобразным орбитам движутся «планеты»—электроны. При незначительных смещениях электроны возбуждают электромагнитные волны, периоды которых, по расчетам Нагаоки, того же порядка, что и частоты спектральных линий некоторых элементов.

    В атоме Томсона положительное электричество «размазано» по сфере, в которую вкраплены, как изюм в пудинг, электроны. В простейшем атоме водорода электрон находится в центре положительно заряженной сферы. При смещении из центра на электрон действует квазиупругая сила электростатического притяжения, под действием которой электрон совершает колебания. Частота этих колебаний определяется радиусом сферы, зарядом и массой электрона, и если радиус сферы имеет порядок радиуса атома, частота этих колебаний совпадает с частотой колебания спектральной линии атома В многоэлектронных атомах электроны располагаются по устойчивым конфигурациям, рассчитанным Томсоном. Томсон считал каждую такую конфигурацию определяющей химические свойства атомов. Он предпринял попытку теоретически объяснить периодическую систему элементов Д. И. Менделеева. Эту попытку Бор позднее назвал «знаменитой» и указал, что со времени этой попытки «идея о разделении электронов в атоме на группы сделалась исходным пунктом и более новых воззрений». Отметив, что теория Томсона оказалась несовместимой с опытными фактами, Бор тем не менее считал, что эта теория «содержит много оригинальных мыслей и оказала большое влияние на развитие атомной теории».

    В 1905 г. В. Вин выступал с докладом об электронах на съезде немецких естествоиспытателей и врачей в Мюнхене. Здесь он, в частности, указывал на трудность объяснения линейчатых спектров атомов с точки зрения электронной теории. Он говорил: «Проще всего было бы понимать каждый атом как планетную систему, которая состоит из положительно заряженного центра, вокруг которого обращаются электроны как планеты. Но такая система не может быть устойчивой вследствие излучаемой электронами энергии. Поэтому мы вынуждены обратиться к системе, в котором электроны находятся в относительном покое или обладают ничтожными скоростями, хотя такое представление содержит много сомнительного».

    Такой статической моделью был атом Кельвина — Томсона. И эта модель была общепринятой по причинам, указанным Вином.

    Модель атома как планетной системы приходила в голову многим: о ней писал Л. Пуанкаре, о ней говорили и Вин, и Перрен, который в своем нобелевском докладе причислял себя к пионерам планетарной модели атома. Но эта модель наталкивалась на непреодолимую трудность, о которой говорил Вин, и поэтому уступила место модели Кельвина — Томсона.

    Но вскоре оказалось, что новые опытные факты опровергают модель Томсона и, наоборот, свидетельствуют в пользу планетарной модели, факты эти были открыты Резерфордом.

    Резерфорд. Эрнст Резерфорд родился 30 августа 1871 г. в семье новозеландского фермера. Окончив школу в Хавелоке, где в это время жила семья, он получил стипендию для продолжения образования в колледже провинции Нельсон, куда поступил в 1887 г. Через два года он сдал экзамен в Кен-терберийский колледж-филиал Новозеландского университета в Крайчестере. Резерфорд окончил колледж в 1893 г. с отличием и получил степень магистра по физике и математике. В это время Резерфорд занялся изучением магнитного действия электромагнитных волн. В 1894 г. в «Известиях философского института Новой Зеландии» появилась его первая печатная работа «Намагничение железа высокочастотными разрядами». В 1895 г. оказалась вакантной стипендия для получения научного образования, первый кандидат на эту стипендию отказался по семейным обстоятельствам, вторым кандидатом был Резерфорд Приехав в Англию, Резерфорд получил приглашение Д. Д. Томсона работать в Кембридже в лаборатории Кавендиша. Так начался научный путь Резерфорда.

    Резерфорд, продолжая свою работу над магнитным детектором, вместе с тем заинтересовался исследованиями Томсона по электропроводности газов В 1896 г. появляется совместная работа Томсона и Резерфорда «О прохождении электричества через газы, подвергнутые действию лучей Рентгена».

    В 1897 г. выходит в свет заключительная статья Резерфорда «Магнитный детектор электрических волн и некоторые его применения». После этого он полностью сосредоточивает свои силы на исследовании газового разряда В том же, 1897 г. появляется его новая работа «Об электризации газов, подверженных действию рентгеновских лучей, и о поглощении рентгеновского излучения газами и парами».

    Открытие радиоактивности определило научный путь Резерфорда. В 1898 г. он приступил к тщательному изучению свойств уранового излучения. Результатом этого явилась большая статья «Излучение урана и созданная им электропроводность». Она была опубликована в 1899 г., когда Резерфорд был профессором кафедры теоретической физики университета Мак-Гилла в Монреале (Канада), куда он прибыл в сентябре 1898 г.

    В Монреале Резерфорд пробыл с 1898 по 1907 г. Здесь он сделал фундаментальные открытия: им была открыта эманация тория и разгадана природа так называемой «индуцированной радиоактивности»; совместно с Содди он открыл радиоактивный распад и его закон. Здесь им была написана книга «Радиоактивность». В Монреале он начал тщательное исследование природы a-частиц, закончившееся уже в Манчестере полной разгадкой их природы. Здесь же он начал свои исследования по прохождению а-частиц через вещество.

    Рис. 62. Резерфорд в лаборатории в Канаде

    Огромный размах научной работы Резерфорда в Монреале (им было опубликовано как лично, так и совместно с другими учеными 66 статей, не считая книги «Радиоактивность») принес Резерфорду славу первоклассного исследователя. Он получает приглашение занять кафедру в Манчестере. 24 мая 1907 г. Резерфорд вернулся в Европу. Начался новый период его жизни.

    В Манчестере Резерфорд развернул кипучую деятельность, привлекая молодых ученых из разных стран мира. Одним из его деятельных сотрудников был немецкий физик Ганс Гейгер (1882—1945), создатель первого счетчика элементарных частиц — счетчика Гейгера. В Манчестере с Резерфордом работали Э. Марсден, К. фаянс, Г. Мо-зли, Г. Хевеши и другие физики и химики.

    В Манчестер в 1912 г. приехал Нильс Бор, который позже вспоминал об этом периоде: «В это время вокруг Резерфорда группировалось большое число молодых физиков из разных стран мира, привлеченных его чрезвычайной одаренностью как физика и редкими способностями как организатора научного коллектива».

    В этой атмосфере коллективного научного творчества родились крупные научные достижения Резерфорда, из которых в первую очередь следует отметить разгадку природы а-частиц и открытие ядерного строения атома.

    Сюда же следует присоединить и знаменитые статьи Бора по квантовой теории планетарного атома. В Манчестере было положено начало квантовой и ядерной физике. В 1908 г. Резерфорду была присуждена Нобелевская премия по химии.

    Плодотворная работа резерфордовской группы в Манчестере была прервана войной. Война разбросала дружный коллектив по разным, враждующим друг с другом странам. Сам Резерфорд был привлечен к военным исследованиям. Был убит Мозли, только что прославивший свое имя крупным открытием в спектроскопии рентгеновских лучей, Чедвик томился в немецком плену. Лишь по окончании войны Резерфорд смог возобновить свои исследования, но уже в другом месте. С 1919 г. и до самой смерти, последовавшей 19 октября 1937 г., Резерфорд работал директором Кавендишской лаборатории в Кембридже.

    Он начал эту работу сенсационным открытием искусственного превращения элементов. Это открытие необычайно стимулировало развитие ядерной физики. Сам Резерфорд в ходе своих исследований предсказал существование нейтральной частицы, равной по массе ядру водорода. Такая частица была найдена в 1932 г. его учеником и сотрудником Чедвиком (1891—1974). В Кембридже ф. Астоном (1877-1945) был построен первый масс-спектрограф и открыты изотопы. В Кембридже в 1932 г. была осуществлена Кокроф-том и Уолтоном реакция расщепления лития протонами, ускоренными с помощью высоковольтного ускорителя.

    Кембридж вновь собирал исследователей из разных стран мира и готовил квалифицированные кадры ученых-физиков для многих стран.

    Сюда приехал молодой советский физик П. Л. Капица, ставший активным сотрудником и другом Резерфорда, создавший впоследствии у себя на родине первоклассный научный институт—Институт физических проблем Академии наук СССР, ныне носящий имя С. И. Вавилова. По инициативе П. Л. Капицы в 1971 г. в Советском Союзе было отмечено 100-летие со дня рождения великого ученого. Было издано собрание трудов Резерфорда, выпущена юбилейная медаль. На XIII Международном конгрессе по истории науки, состоявшемся в августе 1971 г. в Москве, памяти Резерфорда было посвящено специальное заседание, на котором выступили с воспоминаниями ученики Резерфорда, приехавшие из Англии, Канады и США. Заседание проходило под председательством П. Л. Капицы, вручавшего всем докладчикам памятную медаль Резерфорда и том его трудов на русском языке.

    Открытие атомного ядра

    Рассмотрим несколько подробнее одно из фундаментальных открытий Резерфорда —открытие атомного ядра и планетарной модели атома. Мы видели, что уподобление атома планетной системе делалось еще в самом начале XX в. Но эту модель было трудно совместить с законами электродинамики, и она была оставлена, уступив место модели Томсона. Однако в 1904 г. начались исследования, приведшие к утверждению планетарной модели. Вильям Брэгг (1862—1942) в Австралии, изучая прохождение а-частиц через вещество, нашел, что частицы не рассеиваются веществом, а поглощаются им, проходя в веществе до поглощения определенный прямолинейный отрезок — длину пробега.

    Одна из тем, выдвинутая Резерфордом в Манчестере,— рассеяние ?-частиц. Она была поручена Гейгеру и Марсдену (1889-1970).

    Метод, применявшийся этими исследователями, заключался в следующем: а-частицы, испускаемые источником, диафрагмировались щелью и попадали на экран из сернистого цинка, на котором получалось изображение щели в виде узкой полоски. Затем между щелью и экраном помещали тонкую металлическую пластинку, изображение щели размывалось, что указывало на рассеяние а-частиц веществом пластинки. Исследуя угол рассеяния, Гейгер установил, что наиболее вероятный угол рассеяния пропорционален атомному весу и обратно пропорционален кубу скорости частицы.

    Рис. 45. Схема счётчика Гейгера

    Но наиболее поразительным оказался факт, открытый Гейгером и Марсденом в 1909 г., — существование больших углов рассеяния. Некоторая, очень небольшая часть а-частиц (примерно 1/8000) рассеивается на угол, больший прямого, отбрасываясь, таким образом, обратно к источнику. Тонкая пластина отбрасывала частицы, летящие с большой скоростью. Как раз в том же, 1909 г. Резерфорд и Ройдс неопровержимо доказали, что а-частицы являются дважды ионизированными атомами гелия. Для таких тяжелых быстро движущихся частиц рассеивание на углы, большие прямого, казалось весьма невероятным. Резерфорд говорил, что это так же невероятно, как если бы пуля отскакивала от листа папиросной бумаги.

    Одно из возможных объяснений аномального рассеяния состояло в том, что оно складывается из многих небольших углов отклонений, вызванных атомами рассеивающего вещества.

    Рис. 64. Записи импульсов с первого счётчика Гейгера

    Исходя из модели Томсона, Резерфорд подсчитал, что это не может давать больших отклонений даже при многих столкновениях с частицей. И здесь Резерфорд обратился к планетарной модели.

    Рис. 65. Лаборатория Резерфорда в Кембридже

    Когда а-частица проходит мимо заряженного ядра, то под воздействием кулоновской силы, пропорциональной заряду ядра и заряду а-частицы и обратно пропорциональной квадрату расстояния между ними, она движется по гиперболе, удаляясь по ее ветви после прохождения мимо ядра. Ее прямолинейный путь, таким образом, искривляется, и она отклоняется на угол рассеяния ф.

    Рис. 48. Схема масс-спектрометра Астона

    7 марта 1911 г. Резерфорд сделал в философском обществе в Манчестере доклад «Рассеяние а- и в-лучей и строение атома». В докладе он, в частности, говорил: «Рассеяние заряженных частиц может быть объяснено, если предположить такой атом, который состоит из центрального электрического заряда, сосредоточенного в точке и окруженного однородным сферическим распределением противоположного электричества равной величины. При таком устройстве атома а- и в-частицы, когда они проходят на близком расстоянии от центра атома, испытывают большие отклонения, хотя вероятность такого отклонения мала».

    Резерфорд рассчитал вероятность такого отклонения и показал, что она пропорциональна числу атомов n в единице рассеивающего материала, толщине рассеивающей пластинки и величине b2, выражаемой следующей формулой:

    где Ne — заряд в центре атома, Е — заряд отклоняемой частицы, m — ее масса, u — ее скорость. Кроме того, эта вероятность зависит от угла рассеяния ? , так что число рассеянных частиц на единицу площади пропорционально (cosec)4 Ф/2

    Этот «закон косеканса» был проверен экспериментально Гейгером и был найден справедливым в пределах экспериментальных ошибок.

    Важным следствием теории Резерфорда было указание на заряд атомного центра, который Резерфорд положил равным ± Ne. Заряд оказался пропорциональным атомному весу. «Точное значение заряда центрального ядра не было определено, — писал Резерфорд, — но для атома золота оно приблизительно равно 100 единицам заряда».

    В 1913 г. Гейгер и Марсден предприняли новую экспериментальную проверку формулы Резерфорда, подсчитывая рассеяние частиц по производимым ими сцинтилляционным вспышкам «Это была трудная, кропотливая работа, — характеризовал Резерфорд работу своих сотрудников, — так как нужно было считать много тысяч частиц. Результаты Гейгера и Марсдена весьма близко согласуются с теорией». Из этих утомительных и кропотливых исследований и возникло представление о ядре как устойчивой части атома, несущей в себе почти всю массу атома и обладающей положительным (Резерфорд еще в 1913 г. считал знак заряда неопределенным) зарядом. При этом число элементарных зарядов оказалось пропорциональным атомному весу.

    Рис. 67. Здание каведишской лаборатории

    Заряд ядра оказался важнейшей характеристикой атома. Бор вспоминал, что в 1912—1913 гг. «в центре интересов всей манчестерской группы было исследование многочисленных следствий открытия атомного ядра». Далее он писал: «С самого начала было ясно, что благодаря большой массе ядра и его малой протяженности в пространстве сравнительно с размерами всего атома строение электронной системы должно зависеть почти исключительно от полного электрического заряда ядра. Такие рассуждения сразу наводили на мысль о том, что вся совокупность физических и химических свойств каждого элемента может определяться одним целым числом...»

    В 1913 г Ван ден Брук показал, что заряд ядра совпадает с номером элемента в таблице Менделеева. В том же 1913 г. ф. Содди и К. фаянс пришли к закону смещения Содди — фаянса, согласно которому при а-распаде радиоактивный продукт смещается в менделеевской таблице на два номера выше, а при (3-распаде — на номер ниже. С точки зрения представления о номере элемента как о заряде ядра этот закон получает простое истолкование. К этому же времени Содди пришел к представлению об изотопах как разновидностях одного и того же элемента, ядра атомов которых имеют одинаковый заряд, но разные массы.

    Рис. 68. Установка Резерфорда по расщеплению ядра

    Заметим, что эта интерпретация пришла в голову Бору еще до того, как Содди и фаянс открыли закон смещения чисто эмпирически. Эта же модель, все плодотворное значение которой было осознано Бором во время его пребывания в Манчестере, была положена им в основу первой квантовой модели атома. В богатом событиями 1913 г. были опубликованы три знаменитые статьи Бора «О строении атомов и молекул», открывшие путь к атомной квантовой механике.

    Бор. Нильс Бор родился 7 октября 1885 г. в семье профессора физиологии Копенгагенского университета Христиана Бора. В 1903 г. Бор поступил в Копенгагенский университет. Еще в студенческие годы Бор выполнил конкурсную работу по поверхностному натяжению. Работа была удостоена золотой медали Датской Академии наук.

    В 1909 г., спустя два года после окончания Бором университета, эта работа — «Определение коэффициента поверхностного натяжения воды методом колебания струи» — была опубликована в трудах Лондонского Королевского общества.

    Весной 1911 г. состоялась защита докторской диссертации Бора на тему «Анализ электронной теории металла», в сентябре того же года Бор приехал на стажировку в Кембридж к Д. Д. Том-сону. Д. Д. Томсон в это время занимался анализом положительных лучей. Им был разработан метод точного анализа—метод парабол, с помощью которого он впервые обнаружил у неона существование двух разновидностей атомов: с атомным весом 20 и 22. Продолжая эти исследования уже после войны, ученик Томсона Астон открыл изотопы многих стабильных элементов. Исследования самого Томсона были обобщены им в монографии «Лучи положительного электричества и их применение к химическому анализу», вышедшей в 1913 г. Томсон поручил и Бору провести эксперимент с положительными лучами. Бор собрал вакуумную установку, однако дело дальше не пошло, и он начал готовить к изданию свою докторскую диссертацию. Томсон отнесся без внимания к работе Бора и не прочитал ее.

    В том же, 1911 г., когда Бор приехал в Кембридж, сотрудник Томсона Чарлз Томас Рис Вильсон (1869-1959) изобрел замечательный прибор, известный ныне под названием «камера Вильсона». Этот прибор позволяет видеть заряженную частицу по оставляемому ею туманному следу. Резерфорд, приехавший на традиционный ежегодный обед в Кембридж, в своей речи с энтузиазмом отозвался о приборе Вильсона и полученных первых результатах. Бор, который впервые увидел Резерфорда на этом обеде, вспоминал, «что наибольшее восхищение у Резерфорда, как это он подчеркивал в своей речи, вызвала настойчивость, с которой Вильсон (в то время они уже были связаны тесной дружбой в Кавендишской лаборатории. — П. К.) продолжал свои исследования по образованию тумана со все более и более усовершенствованными аппаратами». Великий исследователь ядра ясно видел возможности, открываемые камерой Вильсона в изучении ядерных процессов. Позднее в том же Кембридже ученик и сотрудник Резер-форда Блэккет (1897—1974) получил вильсоновскую фотографию расщепления ядра азота а-частицей, первой ядерной реакции, открытой Резерфордом.

    Встреча с Резерфордом произвела на Бора огромное впечатление. Вскоре по своим личным делам он побывал в Манчестере, и ему удалось встретиться и побеседовать с Резерфордом. «Во время беседы, в которой Резерфорд с подлинным энтузиазмом говорил о многих новых перспективах развития физики, он любезно согласился на мою просьбу о том, чтобы присоединиться к группе, работающей в его лаборатории, после того как ранней весной 1912 г. я должен был закончить свои занятия в Кембридже; там я был сильно увлечен оригинальными идеями Дж. Дж. Томсона, касающимися электронного строения атомов».

    В апреле 1912 г. Бор приехал в Манчестер. История позаботилась о том, чтобы создатель квантовой модели атома поработал сперва с автором первой модели атома, а затем приехал к автору планетарной модели, чтобы на основе этой модели создать теорию атома Резерфорда — Бора. Знаменитая статья Бора, в которой были заключены основы этой теории, начиналась с указания на модели Резерфорда и Томсона и обсуждения их особенностей и различий. Бор послал свою статью Резерфорду. Резерфорд сразу понял революционный характер идей Бора и высказал критические замечания по самым фундаментальным пунктам теории Бора. Бор был вынужден поехать в Манчестер с переработанным вариантом статьи, чтобы договориться с Резерфордом. После длительных дискуссий статья Бора и две его последующие статьи были опубликованы. Однако окончательный ответ на возражения Резерфорда был дан только созданием квантовой механики, и Бор по существу всю жизнь разрабатывал теоретико-познавательные основы физики микромира, уточняя и развивая идеи, начало которым было положено его статьями 1913 г.

    Сотрудничество Резерфорда и Бора обещало быть длительным и тесным. В мае 1914 г. Резерфорд прислал Бору предложение занять в Манчестере освободившееся место. Бор с радостью принял это предложение и послал заявление Резерфорду. Работа Бора в Манчестере началась в тяжелых условиях первой мировой войны. Резерфорд с рядом сотрудников был в Австралии и возвратился оттуда в разгар военных действий. Мозли был призван в армию и убит. Ему удалось сделать замечательное открытие в области рентгеновских спектров и установить связь между частотами линий характеристического излучения и порядковым номером элемента. В декабре 1913 г. была опубликована статья, в которой он писал: «Полученные результаты имеют большое значение для изучения структуры атома и полностью подтверждают точку зрения Резерфорда и Бора».

    Генри Мозли родился 23 ноября 1887 г., умер 10 августа 1915 г. «Страшным потрясением для всех нас было трагическое известие о безвременной гибели Мозли в 1915 г. во время Галли-польской операции; его смерть вызвала скорбь у физиков всего мира», — писал Бор в своих воспоминаниях о Резерфорде. Сам Бор в 1916 г. покинул Манчестер и занял пост профессора теоретической физики в Копенгагенском университете.

    Бор, несмотря на все трудности военного времени, продолжал разрабатывать свою теорию. В 1915 г. он опубликовал работы «О сериальном спектре водорода и строении атома» и «Спектр водорода и гелия», «О квантовой теории излучения в структуре атома». Он развил исследования, выполненные им в Манчестере в августе 1912 г., и опубликовал их под названием «Теория торможения заряженных частиц при их прохождении через вещество». Через три года, также в Манчестере, он закончил и опубликовал статью «О торможении быстро движущихся заряженных частиц при прохождении через вещество».

    В декабре 1915 и январе 1916 г. Арнольд Зоммерфельд (1868—1951) развил теорию Бора, рассмотрев движение электрона по эллиптическим орбитам и обобщив правила квантования Бора. Зоммерфельд дал также теорию тонкой структуры спектральных линий, введя релятивистское изменение массы со скоростью. В его расчеты вошла безразмерная универсальная постоянная тонкой структуры:

    Бор получил статью Зоммерфельда в Манчестере в марте 1916 г. и с восторгом отозвался о ней. Он писал, что «работа Зоммерфельда в значительной степени изменила современное понимание квантовой теории». Теория атома после открытия Зоммерфельда стала называться теорией Бора —Зоммерфельда.

    По возвращении в Копенгаген Бор обнаружил пакет со статьей Эренфеста, содержащей теорию адиабатических инвариантов. Эта теория давала критерий квантующихся величин и до создания квантовой механики была единственной руководящей нитью при применении правил квантования, предвосхищавшей многие выводы, следующие из статьи Бора.

    К 1916 г. теория Бора начала разрабатываться многими физиками. Была создана квантовая теория эффекта Зеемана и открытого в 1913 г. Штарком (1874-1957) эффекта влияния электрического поля на спектры. «Область нашей работы, — писал Бор Резерфорду, — после получения статьи Эренфеста превратилась из страны с довольно малочисленным населением в донельзя перенаселенное государство».

    Продолжая развивать свои идеи, Бор сформулировал принцип соответствия (1918), означавший шаг вперед в ответе на вопросы, поставленные Ре-зерфордом. Чрезвычайно существенно, что благодаря Бору Копенгаген превратился в центр теоретической физики.

    Рис.69. Камера Вильсона

    К Бору примкнул молодой физик, ставший его ассистентом, Гендрик Антон Крамере (1894-1952). Бор создал институт теоретической физики, в организации которого ему деятельную поддержку оказывал Резерфорд. Осенью 1920 г., когда сооружение здания института подходило к концу, в Копенгаген приехал Резерфорд, которому Копенгагенский университет присвоил почетную степень. Поддержка Резерфорда имела для Бора огромное значение, и он вспоминал об этом в своей статье «Памяти Резерфорда». В институте Бора работал радиомеханик Георг Хевеши (1885-1966), который в 1922 г., руководствуясь идеями Бора, открыл вместе с Костером (1889—1950) новый элемент — гафний. В 1922 г. к группе теоретиков института примкнули Паули и Гейзенберг, будущие создатели квантовой механики.

    В 1922 г. Бор получил Нобелевскую премию по физике. В прочитанном им 11 декабря 1922 г. в Стокгольме нобелевском докладе он развернул картину состояния атомной теории к этому времени. Одним из наиболее существенных успехов теории было нахождение ключа к периодической системе элементов, которая объяснялась наличием электронных оболочек, окружающих ядра атомов. Огромная физическая интуиция позволила Бору, еще не зная принципа Паули и спина электрона, наметить правильную картину построения периодической системы, исправить ошибку химиков в классификации редких земель и предсказать существование нового элемента, который и был открыт Костером и Хевеши, давшими ему название гафний.

    В 1925 г. работой Гейзенберга началось создание квантовой механики. В том же году Уленбек и Гаудсмит, работавшие у Эренфеста, открыли спин электрона, а Паули открыл принцип, носящий ныне его имя. С тех пор мысли Бора сосредоточились на проблемах квантовой механики, которые он горячо обсуждал со своими молодыми коллегами. После открытия Гейзенбергом в 1927 г. принципа неопределенности Бор выдвинул в качестве основной теоретической идеи квантовой теории принцип дополнительности.

    В сентябре 1927 г. в связи со столетием со дня смерти Вольта на его родине, в Италии, на берегу озера Комо состоялся Международный конгресс физиков. На этом конгрессе Бор выступил с докладом «Квантовый постулат и новейшее развитие атомной теории», которым было положено начало так называемой «копенгагенской» интерпретации квантовой теории.

    В октябре состоялся Сольвеевский конгресс в Брюсселе по теме «Электроны и фотоны». На конгрессе вспыхнула дискуссия между Бором и Эйнштейном по вопросу о копенгагенской интерпретации, которую Эйнштейн оспаривал. Дискуссия продолжалась с новой силой на Сольвеевском конгрессе 1930 г. В этих дискуссиях участвовал и Эренфест. Затем в 1935 г. дискуссия продолжалась в печати. Эйнштейн до самой смерти оставался противником копенгагенской точки зрения, а Бор до самой смерти продолжал развивать и уточнять свою концепцию.

    В 1936 г. Бор выступил со статьей «Захват нейтрона и строение ядра», в которой предложил капельную модель ядра и механизм захвата нейтрона ядром. Ядерной физике была посвящена также работа 1937 г. «О превращении атомных ядер, вызванных столкновением с материальными частицами». Странно, ни Бор, ни кто другой не мог предсказать деления ядра, подсказываемого капельной моделью. Интерпретация опытов ферми 1934 г. затянулась, и лишь после опытов Гана и Штрассмана в конце 1938 — начале 1939 г. было открыто деление урана. Бор немедленно реагировал на это открытие и посвятил ему ряд работ, в том числе и совместную работу с Дж. А. Уил-лером «Механизм деления ядер».

    В 1939 г. началась вторая мировая война, а в 1940 г. Дания была оккупирована гитлеровцами. К этому времени уже началась работа по осуществлению цепной реакции деления. В 1942 г. в США под руководством ферми был построен первый реактор. Широким фронтом развернулась работа по изготовлению атомной бомбы. Пребывание Бора в оккупированной гитлеровцами Дании становилось опасным. Осенью 1943 г. Бор выехал в Швецию, а 6 октября 1943 г. его на самолете вывезли в Англию. Затем Бор уехал в США, где принял участие в работе над проектом атомной бомбы в Лос-Анджелесе, где он жил под именем Николаса Бейкера.

    По окончании войны в августе 1945 г. Бор вернулся в Данию. Мир уже знал об атомной бомбе, разрушившей Хиросиму и Нагасаки. С этого момента и до конца жизни проблема предотвращения атомной войны волновала Бора. Он принял участие в работе Первой Женевской конференции по мирному использованию атомной энергии. В 1957 г. ему была присвоена первая премия «Атом для мира».

    В 1961 г. Бор приехал в Советский Союз. Он посетил Объединенный институт ядерных исследований в Дубне, физический институт Академии наук в Москве, Московский и Тбилисский университеты. Это была его последняя в.стреча с советскими учеными. 18 ноября 1962 г. он неожиданно скончался.

    Эренфест. Говоря о Боре, мы упомянули имя Эренфеста. Его имя в истории физики XX в. встречается часто. Он был связан и с Бором, и с Эйнштейном, и с Лоренцем, и многими другими физиками. Он был связан и с русскими физиками и в последние годы жизни собирался перейти в один из советских университетов.

    Пауль Эренфест, которого в России называли Павлом Сигизмундовичем, родился в Вене 18 января 1880 г. В 1899-1901 гг. и в 1903-1904 гг. он учился в Венском университете, где слушал лекции Больцмана, и в 1901—1903 гг. —в Геттингенском университете.

    Вернувшись в 1903 г. из Геттингена в Вену, Эренфест стал активным участником семинара, которым руководил Больцман. На семинаре родилась и тема докторской диссертации Эренфеста «Движение твердых тел в жидкостях и механика Герца». Больцман, бывший его оппонентом, с большой похвалой отозвался о диссертации, которую Эренфест защитил в июне 1904 г. В том же году Эренфест вступил в брак с Т. А. Афанасьевой (1876-1964). Прожив в Вене и Геттингене до лета 1907 г., Эренфесты отправились в Россию. В России они прожили пять лет. В Петербурге Эренфест организовал на своей квартире семинар, в котором принимали участие молодые физики Петербурга Д. С. Рождественский, К. К. Баумгарт, Л. Д. Исаков и студенты-физики Ю. А. Крутков, В. Р. Бурсиан, В. Г. Хлопин, В. М. Чулановский и другие. Это были будущие советские ученые—академики и профессора. Семинар Эренфеста стал точкой роста будущей советской теоретической физики. Сам Эренфест готовился к магистерским экзаменам, которые держал в 1909—1910 гг., читал курс по проблемам математической физики в политехническом институте, писал статьи по вопросам теоретической физики. Среди этих работ поистине классической стала совместная статья П. С. Эренфеста и Т. А. Афанасьевой-Эренфест «Принципиальные основы статистического понимания в механике», опубликованная в Математической энциклопедии в 1912 г. Весьма интересной была его совместная заметка с Л. Д. Исаковым «О так называемой «групповой скорости», в которой Эренфест исправил ошибку Рэлея и показал, что методом аберрации измеряется не фазовая, а групповая скорость.

    Однако получить прочное место в Петербурге Эренфесту не удалось. Как ни ценили его петербургские физики, как ни старались они помочь ему устроиться на кафедру какого-либо из петербургских институтов, министерство просвещения было непреклонно, и места в Петербурге Эренфесту получить не удалось. Начались поиски места в Вене, в Праге, во Львове. Поиски были безрезультатными. И здесь совершенно неожиданно судьба Эренфеста круто повернулась. В апреле 1912 г. Эренфест разослал оттиски статьи, напечатанной в Математической энциклопедии, различным ученым, в том числе и Лоренцу. 20 апреля 1912 г. Лоренц прислал Эренфесту письмо, в котором дал высокую оценку статье и задал Эренфесту вопрос о том, где он сейчас работает и как складывается его судьба.

    Эренфеста несколько удивила озабоченность Лоренца его судьбой, но в следующем письме Лоренц разъяснил смысл своих вопросов. Он собирался оставить ординарную профессуру по кафедре теоретической физики Лейденского университета и подыскивал себе преемника. «Я подумал также и о Вас», —писал Лоренц. В результате Эренфест принял предложение Лоренца, и состоялось избрание Эренфеста профессором кафедры теоретической физики Лейденского университета. Профессором в Лейдене Эренфест пробыл двадцать один год, до трагической гибели 25 сентября 1933 г.

    Эренфест был искренним другом Советского Союза. Он был другом многих советских физиков: А. ф. Иоффе, Д. С. Рождественского, Ю. А. Круткова и других, часто приезжал в Советский Союз. 6 декабря 1924 г. Эренфест по представлению А. ф. Иоффе и П. П. Лазарева был избран членом-корреспондентом Академии наук СССР вместе с Бором, Ланжевеном, Майкельсоном,

    Милликеном, Лауэ, Дебаем, Борном. В представлении Лазарев и Иоффе, перечисляя заслуги Эренфеста, писали: «В частности, П. С. Эренфест сыграл весьма крупную роль и в России. Его следует считать основателем школы теоретической физики, к которой принадлежали Г. Г. Вейхардт, В. Р. Бурсиан, Ю. А. Крутков».

    Атом Бора

    Вернемся, однако, к работам Бора о строении атомов. Бор, как и Томсон до него, ищет такое расположение электронов в атоме, которое объяснило бы его физические и химические свойства. Бор уже знает о модели Резер-форда и берет ее за основу. Ему известно также, что заряд ядра и число электронов в нем, равное числу единиц заряда, определяется местом элемента в периодической системе элементов Менделеева. Таким образом, это важный шаг в понимании физико-химических свойств элемента. Но остаются непонятными две вещи: необычайная устойчивость атомов, несовместимая с представлением о движении электронов по замкнутым орбитам, и происхождение их спектров, состоящих из вполне определенных линий. Такая определенность спектра, его ярко выраженная химическая индивидуальность, очевидно, как-то связана со структурой атома. Все это очень трудно совместить с универсальностью электрона, заряд и масса которого не зависят от природы атома, в состав которого они входят. Устойчивость атома в целом противоречит законам электродинамики, согласно которым электроны, совершая периодические движения, должны непрерывно излучать энергию и, теряя ее, «падать» на ядро. К тому же и характер движения электрона, объясняемый законами электродинамики, не может приводить к таким характерным линейчатым спектрам, которые наблюдаются на самом деле. Линии спектра группируются в серии, они сгущаются в коротковолновом «хвосте» серии, частоты линий соответствующих серий подчинены странным арифметическим законам.

    Так, Иоганн Бальмер (1825-1898) в 1885 г. нашел, что четыре линии водорода На, Нр, Н7, Н5 имеют длины волн, которые могут быть выведены из одной формулы:

    Позже было найдено еще два десятка линий в ультрафиолетовой части, и их длины волн также укладывались в формулу Бальмера.

    Иоганн Ридберг (1854-1919) в 1889-1900 гг. нашел, что и линии спектров щелочных металлов могут быть распределены по сериям. Частоты линий каждой серии могут быть представлены в виде разности двух членов — термов. Так, для главной серии

    где R — некоторое постоянное число, получившее название постоянной Ридберга, s и р — дробные поправки, меняющиеся от серии к серии.

    «Основным результатом тщательного анализа видимой серии линейчатых спектров и их взаимоотношений, — писал Бор, — было установление того факта, что частота v каждой линии спектра данного элемента может быть представлена с необыкновенной точностью формулой ? = Т — Т", где Т и Т" — какие-то два члена из множества спектральных термов Г, характеризующих элемент».

    Бору удалось найти объяснение этого основного закона спектроскопии и вычислить постоянную Ридберга из таких фундаментальных величин, как заряд и масса электрона, скорость света и постоянная Планка. Но для этого ему пришлось ввести в физику атома представления, чуждые классической физике.

    Это прежде всего представления о стационарных состояниях атомов, находясь в которых электрон не излучает, хотя и совершает периодическое движение по круговой орбите.

    Для таких состояний момент импульса равен кратному от h/2n. При переходе с одной орбиты на другую электрон излучает и поглощает энергию, равную кванту. В заключительных замечаниях к трем своим статьям «О строении атомов и молекул» Бор формулирует свои основные гипотезы следующим образом:

    «1. Испускание (или поглощение) энергии происходит не непрерывно, как это принимается в обычной электродинамике, а только при переходе системы из одного «стационарного» состояния в другое.

    2. Динамическое равновесие системы в стационарных состояниях определяется обычными законами механики, тогда как для перехода системы между различными стационарными состояниями эти законы не действительны.

    3. Испускаемое при переходе системы из одного стационарного состояния в другое излучение монохроматично, и соотношение между его частотой v и общим количеством излученной энергии Е дается равенством E = hv, где h — постоянная Планка.

    4. Различные стационарные состояния простой системы, состоящей из вращающегося вокруг положительного ядра электрона, определяются из условия, что отношение между общей энергией, испущенной при образовании данной конфигурации, и числом оборотов электрона является целым кратным А/2 я . Предположение о том, что орбита электрона круговая, равнозначно требованию, что момент импульса вращающегося вокруг ядра электрона был бы целым кратным h /2л.

    5. «Основное» состояние любой атомной системы, т. е. состояние, при котором излученная энергия максимальна, определяется из условия, чтобы момент импульса каждого электрона относительно центра его орбиты равнялся h/2n ».

    Далее Бор пишет: «Было показано, что при этих предположениях с помощью модели атома Резерфорда можно объяснить законы Бальмера и Ридберга, связывающие частоты различных линий в линейчатом спектре».

    Именно Бор получил для спектра водорода формулу:

    «Мы видим, — пишет Бор, — что это соотношение объясняет закономерность, связывающую линии спектра водорода. Если взять т2 — 2 и варьировать т1 получим обычную серию Бальмера.

    Если взять ? 2 = 3, получим в инфракрасной области серию, которую наблюдал Пашен и еще ранее предсказал Ритц. При ? 2 = 1 и ? 2 — 4, 5,... получим в крайней ультрафиолетовой и соответственной крайней инфракрасной областях серии, которые еще не наблюдались, но существование которых можно предположить ».

    Действительно, серия в ультрафиолетовой области, соответствующая ? 2= 1, была найдена Лайманом (1874— 1954) в 1916 г., серия в инфракрасной области, соответствующая ? 2 = 4, была найдена Брэкетом в 1922 г., и серия ? 2 — 5 была найдена Пфундом в 1924 г.

    Используя известные в то время значения е, т, h, Бор вычислил значение постоянной в спектральной формуле:

    тогда как экспериментальное значение равно 3,290 • (10)15. «Соответствие между теоретическим и наблюдаемым значениями лежит в пределах ошибок измерений постоянных, входящих в теоретическую формулу», — писал Бор.

    Бор дал объяснение спектральной серии, наблюдаемой в 1896—1897 гг. Пикерингом в спектре звезды ?-Кормы. Он показал, что эта серия соответствует спектру ионизированного гелия.

    После опубликования статей Бора фаулер обнаружил новые линии при разряде в трубке, заполненной водородом и гелием, которые, по его мнению, не укладываются в серию Бора. Бор уточнил теорию, введя движение ядра и электрона около общего центра массы. Тогда:

    в точном соответствии с экспериментом.

    В последующих работах Бор непрерывно уточнял основы своей теории. Она была дополнена принципом соответствия (1918), позволяющим делать определенные выводы об интенсивности и поляризации спектральных линий. Зоммерфельд развил теорию пространственного квантования, позволившую дать объяснение нормального эффекта Зеемана. Эффект Щтарка, открытый в 1913 г., был объяснен на основе модели Бора Эйнштейном и Шварцшильдом (1916). Сам Бор неоднократно занимался вопросом о влиянии магнитных и электрических полей на спектры атомов. Он же впервые включил в квантовую теорию атома и рассмотрение рентгеновских спектров, считая, что «характеристическое рентгеновское излучение испускается при возвращении системы в нормальное состояние, если каким-либо воздействием, например катодными лучами, были предварительно удалены электроны внутренних колец» (1913).

    Волновой характер рентгеновского излучения был установлен Максом Лауэ (1879-1960), Вальтером Фридрихом (1883—1968) и Паулем Книппингом (1883-1935). В 1912 г. Лауэ пришла в голову мысль использовать в качестве дифракционной решетки для рентгеновских лучей кристалл. Он предложил Фридриху и Книппингу произвести эксперимент. Эксперимент с кристаллами цинковой обманки, каменной соли и свинцового блеска блестяще подтвердил предположение Лауэ. Статья Лауэ, Фридриха и Книппинга «Интерференционные явления в рентгеновских лучах» была опубликована в 1912 г. и в дополненном виде в 1913 г.

    Рис. 70. Схема опыта Лауэ, Фридриха и Книппинга

    Лауэ сразу же после опытов Фридриха и Книппинга дал теорию эксперимента, которая составила первую теоретическую часть статьи 1913 г. Однако она еще не давала возможностей точного измерения длин волн рентгеновских лучей, поскольку не была известна точно структура кристаллов. Основы рентгеноскопии и рентгеноструктурного анализа были даны отцом и сыном Брэггами: Вильямом Генри Брэггом (1862—1942) и его сыном Вильямом Лауренсом Брэггом (1890-1971). Они нашли, что пучок рентгеновских лучей отражается от поверхности кристалла по закону геометрической оптики для углов скольжения ?, удовлетворяющих условию:

    2dsin? = n?.

    Аналогичное соотношение было найдено русским физиком Юрием (Георгием) Викторовичем Вульфом (1863—1925). Закон Брэггов и Вульфа дал возможность измерить длины рентгеновских лучей.

    Открытые в 1908 г. Чарлзом Гловером Баркла (1877—1944) так называемые характеристические лучи образуют линейчатый спектр, распадающийся на серии, обозначаемые в рентгеноскопии буквами К, L, M, N, ... .

    Рис. 71. Установка Лауэ, Фридриха и Книппинга

    Генри Мозли в 1913—1914 гг. открыл закон смещения длин волн характеристических лучей, принадлежащих к одной и той же серии, при переходе от элемента к элементу. Частота рентгеновских лучей, определяющая их «жесткость», возрастает с возрастанием порядкового номера элемента. Заметим, что пионеры рентгеноскопии М. Лауэ, В. Г. и В. Л. Брэгги, Ч. Баркла получили Нобелевские премии по физике: Лауэ — в 1914 г., Брэгги —в 1915 г., Баркла — в 1917 г.

    Первое теоретическое истолкование рентгеновских спектров на основе идей Бора состоит в том, что они обязаны переходам электронов на вакантные места во внутренних оболочках. Оно было дано Зоммерфельдом в его фундаментальной работе 1916 г. В том же 1916 г. П. Дебай и П. Шеррер разработали новую методику рентгеновского анализа кристаллов в порошке, получившую широкое распространение в рентгеноструктурном анализе.

    Идеи Бора получили экспериментальное подтверждение в опытах Джеймса франка (1882—1964) и Густава Герца, которые начиная с 1913 г. изучали соударения электронов с атомами паров и газов. Оказалось, что электрон может сталкиваться с атомами газов упруго и неупруго. При упругом ударе электрон отскакивает от тяжелого атома (например, ртути), не теряя энергии, при неупругом ударе его энергия теряется и передается атому, который при этом либо возбуждается, либо ионизируется. Порции энергии, затрачиваемые на возбуждение атома, вполне определенные: так, электрон при столкновении с атомами ртути теряет энергию 4,9 эВ, что соответствует энергии кванта ультрафиолетового света длиной волны 2537 А. Квантовый характер поглощения энергии атомом был продемонстрирован в опытах франка, Герца и других физиков с поразительной наглядностью. За эти исследования, которые продолжались ряд лет, в 1925 г. франк и Герц были удостоены Нобелевской премии.

    Квантовый характер излучения и поглощения энергии атомом лег в основу теоретического исследования о световых квантах, выполненного Эйнштейном в 1916—1917 гг. В этом исследовании Эйнштейн вывел формулу Планка, исходя из представления о направленном излучении. Атом излучает и поглощает энергию квантами. Выстреливая квант в определенном направлении, атом сообщает ему не только энергию h? , но и импульс h?/c. При излучении молекула газа переходит из энергетического состояния Zmc энергией em в состояние Zn с энергией еn излучая энергию еm — еn. Поглощая такую же энергию, молекула переходит из состояния Zn в состояние Zm Молекула может перейти из состояния Zm в состояние Zn самопроизвольно, спонтанно. Вероятность такого перехода за время dt пропорциональна этому промежутку времени dt:

    Но, кроме этого спонтанного перехода, впервые введенного Бором при объяснении спектров, по Эйнштейну, для молекул и атомов, находящихся в световом поле, возможны индуцированные переходы под действием светового излучения. Вероятность такого «индуцированного излучения»:

    где ? — объемная плотность световой энергии. Точно так же вероятность поглощения энергии молекулой, находящейся в состоянии Zn и перехода ее на высший энергетический уровень Zm, будет:

    В равновесном состоянии атом в среднем столько же поглощает энергии, сколько и излучает. Поэтому:

    где по закону статистики Больцмана число молекул, находящихся в состоянии Zn, пропорционально:

    Из предыдущего равенства получается:

    Положим ?m - ?n = h?, и для высоких частот, применяя закон Вина, получим формулу Планка:

    Идея Эйнштейна об индуцированном излучении нашла в современной физике и технике важное применение в лазерах.

    Как было уже сказано, в 1916 т. Зоммерфельд обобщил теорию Бора, введя правила квантования для систем с несколькими степенями свободы. Он рассмотрел движение по эллипсу, введя азимутальные и радиальные квантовые числа. Введя далее пространственное квантование и третье квантовое число, он дал теорию нормального эффекта Зеемана. Наконец, он дал теорию тонкой структуры спектральных линий и объяснение рентгеновских спектров. Все эти результаты были подробно разработаны им в классической монографии «Строение атомов и спектры», первое издание которой вышло в 1917 г. До 1924 г. включительно эта книга выдержала четыре издания. Последнее издание ее уже в двух томах вышло в 1951 г. и русский перевод — в 1956 г.

    Таким образом, к 1917 г. идеи Бора получили всестороннее развитие как в работах самого Бора, так и других авторов. Они были экспериментально подтверждены, и теория Бора получила всеобщее признание. Но те трудные вопросы, которые были поставлены Резерфордом, еще не были сняты, а многие трудности, с которыми сталкивалась теория в попытках рассмотреть многоэлектронные атомы, аномальный эффект Зеемана и многое другое, показали, что в теории Бора при всех ее успехах есть серьезные недостатки принципиального характера. Трудности и противоречия накопились, и надо было искать выход. Но прежде чем рассказать, каким путем были преодолены трудности теории Бора, рассмотрим коротко историю развития физики в нашей стране.


    Рим. 72. Одна из первых лауэграмм

    Глава шестая. Становление советской физики

    Исторические замечания

    В истории науки перевороты в развитии науки нередко происходили одновременно с социальными переворотами. Вряд ли это совпадение можно считать случайностью. Наука — социальное явление, и изменение социальных условий неизбежно сказывается на ее развитии.

    Так, в Древней Греции в эпоху восстания демоса против господства родовой аристократии начала складываться античная наука, в воззрениях представителей которой, начиная с Фалеса, отчетливо звучит тема изменения, развития сущего.

    В эпоху, последовавшую за завоеваниями Александра Македонского, характер греческой науки изменился самым радикальным образом.

    Современное опытное естествознание, как указывал Энгельс, родилось в обстановке «всеобщей революции» Английская буржуазная революция XVII в. создала английскую науку, французская буржуазная революция обеспечила ведущие позиции франции в математических и естественных науках.

    Революции, происходившие в отдельных странах, неизбежно оказывали глубокое влияние на весь ход мировой истории, в том числе и на развитие науки и культуры. Особенно глубокое влияние имела Великая Октябрьская социалистическая революция, открывшая новую эру в истории человечества.

    История Октябрьской социалистической революции самым тесным образом связана с историей партии, под руководством которой русский рабочий класс совершил эту революцию. История Коммунистической партии Советского Союза излагается в высшей школе в специальном курсе, и основные факты этой истории достаточно хорошо известны.

    Здесь мы рассмотрим только один вопрос истории Октябрьской революции — вопрос становления советской социалистической науки, и прежде всего физики. Простое сопоставление развития физики в России до Октября и после обнаруживает глубину влияния Октябрьской революции на историю науки в России.

    До Октября науки, и в том числе физика, развивались в Императорской Академии наук и в университетах Петербургском, Московском, Киевском, Казанском, Харьковском, Новороссийском, Томском, а также в Варшаве и Гельсингфорсе (Хельсинках), входивших тогда в состав российской империи Между университетской и академической наукой шла глухая вражда, прорывавшаяся то и дело «академическими инцидентами». Так, лучшие представители университетской науки Д И.Менделеев, К. А. Тимирязев, А. Г. Столетов и многие другие не были допущены в академию, которая не только по названию, но и по самой сути оставалась «императорской» и президентом ее был член императорской фамилии Константин Романов. Академическая наука была страшно далека от народа, от запросов страны.

    С другой стороны, в университетах основное внимание уделялось преподаванию, научная деятельность отходила на второй план. П. Н. Лебедева, для которого научная деятельность стояла на первом плане, это страшно тяготило.

    Ассигнования на научные исследования были ничтожными и к тому же отпускались под строгим надзором царских чиновников, не понимавших нужды науки.

    Перед самой войной, в 1911 г., разразились события, связанные со смертью Толстого, и ряд профессоров Московского и Петербургского университетов подали в отставку. В Московском университете был полный-погром, ушел П.Н.Лебедев со своими учениками, прекратив плодотворную научную деятельность. Вскоре после ухода из университета Лебедев умер.

    Лишь после Октября вернулись в университет его ученики — В. К.Аркадьев, А.К.Тимирязев, В.И.Романов и другие. Лебедев был самым крупным физиком в России до Октября, и его трагическая судьба ярко говорит о тяжелом состоянии физики в России до революции. Ряд физиков вынуждены были уехать из России за границу и там получить научную подготовку.

    А.ф.Иоффе, Л.И.Мандельштам, Н.Д. Папалекси, а несколько ранее П.Н.Лебедев и Б.Б.Голицын получили научную подготовку и начали свой научный путь в Германии. В русских университетах не нашлось места для П. С. Эренфеста и А. ф. Иоффе. Лебедев был глубоко прав, когда писал в ноябре 1911 г., незадолго до своей смерти: «... Если присмотреться к работе наших выдающихся ученых, то приходится утверждать, что в большинстве случаев они дали крупные исследования не благодаря тем условиям, в которых они работали в России, а вопреки им...».

    Революция совершилась, когда Россия была разорена войной. Отсталая экономика, в основе которой лежали соха и лошадь крестьянина, не выдержала напряжения военных лет, страна была разорена. После революции разразилась гражданская война, отрезавшая от центральных областей земледельческие и промышленные районы. Голод, холод, разруха царили в стране в первые послереволюционные годы. Казалось, вся научная жизнь России должна замереть. Но произошло иное. Уже в 1918 г. начали организовываться новые научные учреждения: научно-исследовательские институты и лаборатории. В октябре 1918 г. Бонч-Бруевич при прямой поддержке В. И. Ленина организовал Нижегородскую радиола-брраторию, в которой велись научно-технические исследования по радиофизике и радиотехнике и создавались электронные лампы для нужд молодой советской радиотехники.

    С октября 1918 г. в Петрограде начал свою деятельность Рентгенорадиологи-ческий институт, организованный А. ф. Иоффе и М. И. Неменовым. В это же время Д. С. Рождественский, уделявший большое внимание производству в России оптического стекла, организовал в Петрограде Государственный оптический институт.

    В Москве на базе физического института народного университета им. Шанявского П. П. Лазарев организует Институт биофизики Наркомздра-ва. Организуются и другие научные институты, в том числе Центральный аэрогидродинамический, институт (ЦАГИ), во главе которого был выдающийся русский ученый Николай Егорович Жуковский (1847-1921).

    Эти институты оказали огромное влияние на развитие физики в России. Они, в особенности выделившийся из Рентгенорадиологического института Ленинградский физико-технический институт, стали центрами молодой советской физики и рассадниками научных кадров. Достаточно сказать, что из физико-технического института возникли такие крупные научные институты, как Институт химической физики АН СССР (организатор и руководитель академик Н. Н. Семенов), Институт атомной энергии АН СССР (организатор и руководитель академик И. В. Курчатов) — в Москве, Радиевый институт (руководитель академик В. И. Вернадский), Электрофизический институт (руководитель академик А. А. Чернышев) — в Ленинграде. Ленинградский физико-технический институт был инициатором создания научных институтов в Харькове, Свердловске, Днепропетровске и других городах страны. В развитии советской физики большую роль сыграли съезды русских физиков. В феврале 1919 г. в Петрограде состоялся физический съезд, на котором было принято решение о создании Российской Ассоциации физиков. Ассоциация начала регулярно созывать съезды русских физиков.

    Первый съезд был созван в Москве в сентябре 1920 г. Второй собрался в Киеве в 1921 г. Третий съезд состоялся в Нижнем Новгороде в 1922 г. В его организации и проведении большую роль сыграла Нижегородская радиолаборатория .

    В 1924 г. в Ленинграде состоялся четвертый съезд русских физиков, ставший, по сути дела, Первым Всесоюзным съездом. В его работе принял участие П. С. Эренфест. Этот съезд, состоявшийся уже после смерти Ленина, завершил трудный период становления советской физики.

    Важно отметить, что процесс становления советской физики проходил в труднейших условиях гражданской войны, разрухи, блокады. Ученые голодали, работали в нетопленных лабораториях и кабинетах. Но воодушевленные идеей создания новой науки, они работали с необычайным энтузиазмом. Блокада отрезала советских ученых от зарубежной научной литературы и источников информации. Были закрыты источники поступления научных приборов. Русская отсталая промышленность не могла снабжать научные лаборатории необходимой аппаратурой, ее обычно приобретали от зарубежных фирм. Недостаток научной литературы и оборудования ощущался учеными острее, чем голод и холод. Когда английский писатель Уэллс, приезжавший в Советскую Россию в 1920 г., беседовал в Петрограде с советскими учеными, он был поражен тем, что никто из них не жаловался на трудные бытовые условия, но все жадно расспрашивали о последних научных новостях за границей. Они жаловались лиШь на недостаток научной информации. Блокада капиталистических держав обрекла русскую науку на информационный голод, и Уэллс это остро почувствовал.

    В. И. Ленин и партия делали все возможное, чтобы помочь ученым. Новым институтам оказывалась щедрая поддержка. В своем докладе на годичном собрании Оптического института 15 декабря 1919 г. Д. С. Рождественский отмечал, что Комиссариат по народному просвещению оказал институту огромную помощь в обеспечении необходимой аппаратурой. «Он пошел навстречу идее научно-технического учреждения не только большими, подчас выходящими из всякой нормы средствами, но и активным содействием, в котором фактическое осуществление ставилось всегда выше всякой формы...» Эта поддержка сделала возможным создание института нового типа, в котором соединились научные и технические задачи и как для науки, так и для техники открывались такие возможности, «о которых нам, университетским работникам, не приходилось и мечтать», — говорил Рождественский. В результате напряженной работы советских ученых уже в первые послеоктябрьские годы была создана новая физика с большим диапазоном научных проблем. В тематике исследований советских физиков фигурировали современные проблемы атомной физики, радиоактивности, электроники, радиофизики, физики твердого тела, оптики и спектроскопии, акустики, биофизики, геофизики. Это была наука «сплошного фронта», по меткому выражению С. И. Вавилова. В ее начальной фазе особое развитие получили радиофизика и электроника.

    Радиотехника и радиофизика

    В истории радиотехники до второй мировой войны отчетливо выделяются два этапа. Первый этап — искровой радиотехники — начинается непосредственно с открытия А. С. Попова. Начальным пунктом второго этапа следует считать изобретение в 1907 г. американским радиотехником Ли де Форестом (1873—1961) электронной лампы — триода, внедрению которого в американскую промышленность и радиотехнику в сильной степени способствовал сам изобретатель, получив от соотечественников титул «отца радио». Действительно, роль электронной лампы в развитии радиотехники трудно переоценить. Уже в 1913 г. Александр Мейснер (1883—1958) разработал генератор незатухающих колебаний с триодом. В годы первой мировой войны электронные генераторы, усилители и приемники начали интенсивно вытеснять искровую технику, и послевоенный период стал этапом электронной радиотехники и радиофизики.

    Вторая мировая война стимулировала развитие микроволновой радиотехники и полупроводниковой электроники —третий этап в истории радиотехники.

    Молодая советская наука и техника активно разрабатывала электронную радиотехнику. Здесь прежде всего следует отметить заслуги Нижегородской радиолаборатории и ее организатора Михаила Александровича Бонч-Бруевича (1888-1940). Электронные лампы конструкции Бонч-Бруевича обеспечивали развитие советской радиотехники и радиофизики.

    Другой тип ламп разрабатывал в Ленинграде Александр Алексеевич Чернышев (1882—1940), один из организаторов Ленинградского физико-технического института, крупный специалист по электротехнике высоких напряжений, впоследствии академик.

    Молодая русская радиотехника чтила имя великого изобретателя радио А. С. Попова. В 1925 г. вышел специальный выпуск журнала «Электричество», посвященный А. С. Попову. В статье А. А. Петровского (1873—1942) отмечались заслуги Попова в изобретении радио, рисовался облик ученого и педагога. М. А. Бонч-Бруевич посвятил свою статью рассмотрению свойств и преимуществ коротких волн. В этом же номере рассказывалось и об успехах советского радиовещания.

    Советскую радиотехнику интенсивно развивали И. Г. фрейман (1890— 1929), автор первого советского курса радиотехники; В. П. Вологдин (1881-1953), конструктор машин высокой частоты; О. В. Лосев (1903-1942), открывший еще в 20-х годах транзисторный эффект; М. В. Шулейкин (1884-1939) и многие другие.

    III съезд русских физиков в Нижнем Новгороде в значительной мере был посвящен радиофизике и радиотехнике. Вопросы радиофизики и электроники интенсивно разрабатывались в Московском университете в школе В. К. Аркадьева, из которой вышел известный советский радиофизик академик Б. А. Введенский (1893—1969), в школе В. И. Романова (1880-1954) и Н. А. Кап-цова (1883-1966). С 1925 г. в Московском университете работал Л. И. Мандельштам, создавший мировую школу нелинейных колебаний.

    Л. И. Мандельштам возглавил в университете кафедру теоретической физики. Возникновение советской теоретической физики — один из важных моментов ранней истории советской физики.

    Развитие теоретической физики советскими учёными

    XIX век не знал разделения физики на экспериментальную и теоретическую. Гельмгольц, Максвелл, Рэлей и другие с одинаковым успехом работали и в экспериментальной и в теоретической физике. Столетов и Умов были также представителями «общей физики». Если у Умова преобладали теоретические работы, то, например, П. Н. Лебедев был чистым экспериментатором, но наряду с этим он выдвигал интересные теоретические идеи о взаимодействии молекул, отталкивательной силе лучеиспускания, магнетизме вращения. Все же в его творчестве преобладал эксперимент, тогда как у Умова преобладала теория.

    Теоретическая физика начала выделяться из физики в конце XIX в. М. Планк рассказывал, как настороженно встретили его, теоретика, в Берлине. Чистая теория казалась чем-то экстравагантным для физиков гельмгольцевской и кундтовской школы. Глубокий теоретик Больцман считал разделение физики на теоретическую и экспериментальную временным явлением. Однако усложнение задач физических исследований, возросшая роль теоретических обобщений привели к развитию теоретической физики за рубежом и у нас.

    Следует отметить, что советская теоретическая физика явилась (как и вся физика, но теоретическая в особенности) детищем социальной и научной революции, и вождь Октябрьской революции В. И. Ленин, как мы знаем, подверг марксистскому анализу первый этап научной революции. Теория атома, теория относительности, статистическая физика усиленно разрабатывались и за рубежом и в Советской республике. Примечательно, что в Петрограде, находившемся в 1919 г. в полосе гражданской войны, Д. С. Рождественский посвятил свой, упоминавшийся нами доклад 15 декабря 1919 г. теории спектров атомов щелочных металлов, развивая идеи Бора. Доклад Рождественского привлек внимание Бора, и он упоминал о нем в своих работах.

    Д. С. Рождественский был организатором и руководителем Атомной комиссии, начавшей свою работу в январе 1920 г. В заседаниях комиссии принимали участие не только физики, но и математики и механики. Так, комиссия слушала доклад известного механика, академика, будущего Героя Социалистического Труда Алексея Николаевича Крылова (1863—1945) «Некоторые замечания о движении электронов в атоме гелия»; механик и математик, работавший в области теории упругости, Николай Иванович Мусхелишвили, будущий президент Грузинской академии наук, делал доклад «Задача о движении электрона, притягиваемого к неподвижному центру (ядру) в постоянном электрическом поле». На заседании Атомной комиссии выступали с докладами математик Я. Д. Тамаркин, гидромеханик и метеоролог А. А. Фридман.

    Модель атома Бора привлекала математиков и механиков своим сходством с планетарной системой. Методы Гамильтона — Якоби нашли в ней богатое поле приложения. В известной книге немецкого теоретика Арнольда Зоммерфельда «Строение атома и спектры» изложению этих методов было посвящено специальное дополнение. Книга другого немецкого математика, Макса Борна, «Лекции по атомной механике», вышедшая накануне создания квантовой механики, в значительной части была посвящена изложению метода Гамильтона—Якоби, каноническим преобразованиям и квазипериодическим системам. Все это было очень близко специалистам по классической механике и математической физике. В Петербурге со времен Эйлера это направление успешно развивалось в Академии наук, а затем и в Петербургском университете. Исследования по механике и математической физике оказали существенное влияние на развитие теоретической физики в Петербурге.

    Одним из основателей советской теоретической физики был Юрий Александрович Крутков (1890—1952), начавший теоретическую работу в Оптическом институте. В «Трудах Оптического института» появилась его обширная статья по теории адиабатических инвариантов. «Гипотеза квантов, — писал Крутков в этой статье, — обладает той особенностью, что она, несмотря на почти двадцатилетнее существование, вовсе не получила общей формулировки, позволяющей прилагать ее к частным вопросам». Это очень точная характеристика тогдашней квантовой теории.

    Гипотеза квантования не вытекала из каких-либо общих соображений, она вносилась в классическую механику как нечто внешнее. «В каждом отдельном случае, — продолжал Крутков, — физическому чутью исследователя предоставлен широкий или, вернее, почти полный произвол. Решение «адиабатической» задачи уменьшает этот произвол настолько, что во многих случах его можно считать исчезающим».

    «Таким образом, — заключает Крутков, — наш метод, не давая, конечно «объяснения» гипотезе квантов, на что он и не может претендовать, дает ей твердое обоснование. Всякая попытка «квантовать» неадиабатические инварианты должна быть без всякого обсуждения отброшена».

    Таким образом, развитый Ю. А. Крутковым вслед за П. С. Эренфестом, на которого он ссылается в своей статье, метод адиабатических инвариантов играл существенною роль в развитии квантовой теории до создания квантовой механики.

    Проблема теории атома интересовала и другого ленинградского теоретика, работавшего в физико-техническом институте, — Якова Ильича Френкеля.

    Я. И. Френкель. Яков Ильич Френкель родился в Ростове-на-Дону 10 февраля 1894 г. Обладая выдающимися способностями, он окончил Петербургский университет за три года (1913— 1916) и был оставлен при университете. Уже в 1917 г. он сдал магистерские экзамены, бывшие тогда камнем преткновения для начинающих ученых. В том же, 1917 г. Я. И. Френкель работает в семинаре А. ф. Иоффе (напомним, что Иоффе .не был связан с университетом) и публикует ряд статей на тему «Строение атома в свете радиоактивных излучений». Другой работой Френкеля того же года была статья «Об электрическом двойном слое на поверхности твердых тел». Эти две ранние работы как бы предопределили дальнейший научный путь Я. И. Френкеля. Он с успехом занимался атомной и ядерной физикой, проблемой электропроводности металлов и диэлектриков, молекулярной физикой и позднее атмосферным электричеством. Его большая научная работа в различных областях теоретической физики, доставившая ему мировую известность, сочеталась с многогранной педагогической и популяризаторской деятельностью.

    С 1918 по 1921 г. Я. И. Френкель жил и работал в Крыму, где подвергался репрессиям со стороны белогвардейцев, захвативших Крым. Вернувшись в 1921 г. в Петроград, он начал работать теоретиком физико-технического института и преподавателем физико-механического факультета Политехнического института. Плодом его педагогической деятельности были известные учебники: «Курс векторного исчисления с приложениями к механике», «Электродинамика», «Волновая механика», «Статистическая физика».

    Отметим одно существенное обстоятельство. В дореволюционной России оригинальные учебники для высшей школы имели ограниченный круг читателей, они обычно издавались литографским путем, как пособие для слушателей. Наиболее фундаментальными пособиями были иностранные книги. Так, до появления «Электродинамики» Френкеля и «Основ теории электричества» Тамма русские физики изучали теорию электричества по немецкому курсу Абрагама. Оригинальные русские учебники не были известны за границей. Я. И. Френкель «прорубил окно» не только в Европу, но и в Америку, где он читал лекции. Его «Электродинамика» вышла сначала на немецком языке, «Волновая механика»—на английском. Готовя русский текст, он обычно писал книги заново, расширяя и дополняя материал. Важной особенностью учебников Френкеля была их органическая связь с его собственными научными исследованиями. Это особенно отмечается в «Электродинамике», которой предшествовал цикл статей Френкеля по динамике точечных электронов. Вполне оправданным явилось включение ее в академическое собрание трудов Френкеля. Но и «Статистическая физика» и «Волновая механика» представляют по сути дела оригинальные научные труды Френкеля. Последняя его монография — «Кинетическая теория жидкостей» (1945) ныне считается основополагающим трудом по теории жидкостей.

    Столь же тесно связаны с научным творчеством Френкеля и его популярные книги и статьи. В 20-х годах вышли его книги «Строение материи», «Электрическая теория твердых тел», «Электричество и материя». Здесь в популярной форме излагались глубокие научные идеи Френкеля: идея «коллективизированных» электронов, объясняющая существование гомеополярных молекул и электропроводности металлов, идея «дырок» («дефекты по Френкелю»), ставшая в своем развитии плодотворной идеей современной теоретической физики.

    Для научного мышления Френкеля характерно сочетание необычайно физических модельных представлений с глубокой математической разработкой этих представлений. Мышление Френкеля было подлинно «физическим», и этим оно существенно отличалось от «математичности» современных теоретиков. По типу своего научного мышления Френкель был близок Эйнштейну и ферми.

    Плодотворная, многосторонняя научная деятельность Я. И. Френкеля, одного из основателей советской теоретической физики, оборвалась 23 января 1952 г.

    Остановимся на другом представителе советской теоретической физики — механике и метеорологе А. А. Фридмане.

    Александр Александрович Фридман родился в Петербурге 17 июня 1888 г. Окончив в 1910 г. Петербургский университет, он был оставлен при университете для подготовки к профессорскому званию. С этого же года А. А. Фридман начал педагогическую деятельность, работая преподавателем математики в Петербургском институте инженеров путей сообщения.

    Учитель Фридмана Владимир Андреевич Стеклов (1864—1926) был одним из крупнейших специалистов по математической физике и дифференциальным уравнениям. С 1919 г. он был вице-президентом Академии наук и одним из первых ученых начал сотрудничать с Советской властью. Он был организатором физико-математического института Академии наук, из которого в 1934 г. возникли два института: физический институт АН СССР имени П. Н. Лебедева и Математический институт АН СССР имени В. А. Стеклова.

    В 1913 г. А. А. Фридман сдал магистерские экзамены и начал заниматься динамической и синоптической метеорологией в Аэрологической обсерватории в Павловске. С этого же года начали публиковаться его метеорологические работы.

    В годы первой мировой войны Фридман служил в действующей армии летчиком-наблюдателем. В армию он пошел добровольцем и возглавил здесь аэронавигационную службу. Им были составлены таблицы по бомбометанию и налажено обучение летчиков-наблюдателей.

    После революции А. А. Фридман преподает в Пермском университете, а с 1920 г. работает старшим физиком Главной геофизической обсерватории. После организации физико-механического факультета А. ф. Иоффе пригласил Фридмана читать курс механики на этом факультете.

    В 1922 г. вышел фундаментальный труд А. А. Фридмана «Опыт гидродинамики сжимаемой жидкости», ставший его докторской диссертацией. В том же году была опубликована его статья «О кривизне пространства». За этой статьей последовала статья «О возможности мира с постоянной отрицательной кривизной» и статья, опубликованная в «Журнале Русского физико-химического общества» за 1924 год «О кривизне мира». В 1923 г. вышла книга Фридмана «Мир как пространство и время». Затем А. А. Фридман в содружестве с другим петербургским теоретиком — В. К. фре-дериксом готовит курс по теории относительности. Но смерть Фридмана, последовавшая 16 сентября 1925 г., оборвала работу над этим курсом. Вышла только первая часть, содержащая тензорное исчисление.

    А. А. Фридмана в теоретическую физику являются его работы о кривизне Вселенной. В своей работе 1917 г. «Вопросы космологии и общая теория относительности» Эйнштейн написал космологическое релятивистское уравнение и дал его решение, соответствующее постоянной положительной кривизне Вселенной (стационарное решение). Это решение интерпретировалось многими как свидетельство конечности Вселенной. Фридман резко выступил против этого утверждения, показав, что оно никак не вытекает из метрики мира. В своей книге «Мир как пространство и время» он писал: «Одна метрика мира не дает нам никакой возможности решить вопрос о конечности Вселенной. Для решения этого вопроса нужны дополнительные теоретические и экспериментальные исследования».

    В работе 1922 г. Фридман, анализируя уравнение Эйнштейна, показал, что существуют не только стационарные решения, но и нестационарные, в которых кривизна Вселенной зависит от времени. Эйнштейн быстро реагировал на статью Фридмана, опубликованную a «Zeitschrift fur Physik», и уже в следующем номере журнала опубликовал заметку, в которой утверждал, что выводы Фридмана ошибочны. Фридман тщательно проанализировал аргументы и вычисления Эйнштейна и нашел в них ошибку. Ю. А. Крутков во время заграничной поездки посетил Эйнштейна и информировал его о выводе Фридмана. Эйнштейн вынужден был признать свою ошибку.

    В 1945 г. Эйнштейн, готовя новое издание своих лекций по теории относительности (они были переведены позднее на русский язык под заглавием «Сущность теории относительности»), добавил параграф «О космологической проблеме», где рассказал о трудностях проблемы и указал, что выход из этих трудностей был найден Фридманом. «Его результат, — писал Эйнштейн, — затем получил неожиданное подтверждение в открытом Хэбблом расширении звездной системы, в красном смещении спектральных линий, которое растет с расстоянием». Эйнштейн резюмирует далее: «Одно уже требование пространственной изотропии Вселенной приводит к схеме Фридмана. Не вызывает поэтому никаких сомнений, что это наиболее общая схема, дающая решение космологической проблемы».

    Это явное свидетельство того, что молодая советская теоретическая физика уже в годы своего становления вышла на передовые рубежи мировой науки.

    В Москве проблемами теоретической физики занимался рано умерший профессор Московского университета Сергей Анатольевич Богуславский (родился 1 декабря 1883 г., умер 3 сентября 1923 г.). Его интересовали проблемы электроники, статистической физики и теории атома. Данный им вывод зависимости термоэлектронного тока от напряжения на сетке (формула Лэнгмю-ра) позволяет считать найденную закономерность законом Лэнгмюра — Богуславского. Богуславский разрабатывал также теорию пироэлектрических явлений. Его диссертация «Основы молекулярной физики и применение статистики к вычислению термодинамических потенциалов» была важным вкладом в статистическую термодинамику, несмотря на некоторые ошибочные утверждения.

    С. А. Богуславский развил метод расчета движения электронов в электрических и магнитных полях, предвосхищая будущие потребности электроники и физики плазмы. Но его монография «Пути электронов в электромагнитных полях» была опубликована только спустя шесть лет после его смерти.

    К числу молодых советских теоретиков, работавших в годы становления советской физики, относится будущий академик и Герой Социалистического Труда Игорь Евгеньевич Тамм и будущий академик, Герой Социалистического Труда Владимир Александрович фок, который еще студентом принимал участие в работе Атомной комиссии Рождественского.

    Таким образом, в трудные годы становления советской науки начала создаваться советская теоретическая физика, превратившаяся в наши дни в мощный отряд современной теоретической физики.

    Развитие других направлений советской физики

    Что касается других направлений советской физики, то мы ограничимся краткими сведениями об основателях советской физики. Естественно, что при этом будут опущены многие имена. Так, мы не б^ем говорить об известном кристаллофизике Юрии Викторовиче Вульфе и руководителе семинара по молекулярной физике в Московском университете Борисе Владимировиче Ильине (1888—1964) и отошлем читателя за подробностями к книге «Основатели советской физики» (М.: Просвещение, 1970).

    П. П. Лазарев. Петр Петрович Лазарев родился 4 апреля 1878 г. в Москве в семье инженера-геодезиста. По окончании гимназии в 1896 г. он поступил на медицинский факультет Московского университета. Изучая медицину, он одновременно увлекся физикой и слушал лекции по физике на физико-математическом факультете у Н. А. УМО-ва и П. Н. Лебедева. Он посещал коллоквиум по современным проблемам физики, которым руководил П. Н. Лебедев. Лебедев обратил внимание на пытливого студента-медика, который по окончании в 1901 г. медицинского факультета поступил на физико-математический факультет и закончил его за два года. В 1903 г. Лазарев, окончив второй факультет, сдал докторантские экзамены по медицине и был назначен ассистентом университетской клиники болезней уха, горла и носа.

    В клинике Лазарев в том же, 1903 г. выполнил свою первую научную работу «Звучание манометрического пламени». Следующая работа 1905 г. была уже физиологическая— «О взаимодействии влияния органов зрения и слуха».

    В 1905 г. П. П. Лазарев, уже побывавший за границей и ознакомившийся с постановкой научной работы в европейских университетах, поступает в лабораторию П. Н. Лебедева. Здесь он ведет исследование скачка температур между стенкой и разреженным газом, прилегающим к стенке. Наличие такого скачка было теоретически предсказано М. Смолуховским. П. П. Лазарев разработал остроумную экспериментальную установку, позволяющую определить зависимость скачка от давления газа. Это исследование было в 1911 г. защищено Лазаревым как магистерская диссертация. В том же, 1911 г. П. П. Лазарев вместе со своим учителем П. Н. Лебедевым и другими видными профессорами Московского университета покинул университет в знак протеста против действий реакционного министра просвещения Кассо.

    П. П. Лазарев занял кафедру в городском народном университете имени А. Л. Шанявского. Это было частное учебное заведение, организованное на средства А. Л. Шанявского. Здесь П. П. Лазарев развернул фотохимические и биофизические исследования, а также принял активное участие в проектировании и строительстве физического института. Свои фотохимические исследования П. П. Лазарев защитил в 1912 г. в ученом совете Варшавского университета.

    Исследования по фотохимии естественным образом подвели П. П. Лазарева к фотохимическим реакциям в глазе (выцветание зрительного пурпура). Это, в свою очередь, привело П. П. Лазарева к созданию ионной теории возбуждения нервов. Ионная теория возбуждения принесла Лазареву широкую известность, и 4 марта 1917 г. он был избран действительным членом Академии наук.

    В январе 1917 г. вступило в строй здание физического института на Миуссах. В этом здании после Октябрьской революции развернулась плодотворная научная деятельность Института биологической физики, руководимая академиком П. П. Лазаревым. Этот институт стал одним из центров молодой советской физики. Отсюда вышли видные советские ученые, будущие академики: С. И. Вавилов, Г. А. Гамбурцев, М. В. Шу-лейкин, П. А. Ребиндер; видные советские оптики и акустики: В. Л. Левшин, П. Н. Беликов, С. Н. Ржевкин; крупные советские специалисты по молекулярным явлениям: А. С. Предводителев, Б. В. Ильин, Б. В. Дерягин и другие.

    Институт был инициатором исследования Курской магнитной аномалии. Эти исследования, поддерживаемые В. И. Лениным, увенчались в наши дни разработкой крупнейших запасов высококачественной руды.

    П. П. Лазарев развернул и широкую издательскую деятельность. С 1918 г. начал выходить журнал «Успехи физи ческих наук», дающий новейшую ин формацию о важнейших достижениях физической науки. Бессменным редактором «Успехов» после Лазарева являлся его ученик, видный советский рент-генофизик Э. В. Шпольский, активно помогавший П. П. Лазареву в осуществлении издательских планов. П. П. Лазарев организовал издание серии «Проблемы современного естествознания», в которой выходили работы Э. Резер-форда, Н. Бора, В. Л. и В. Г. Брэггов, Ж. Перрена, К. фаянса и других. Им была предпринята попытка издания серии «Классики естествознания», в которой выходили труды М. В. Ломоносова, П. Н. Лебедева, Д. И. Менделеева, И. Ньютона, Г. Гельмгольца, О. Френеля и других. В осуществлении этих серий большую роль играли молодые советские физики С. И. Вавилов, Э. В. Шпольский, В. К. Фредерике, В. А. фок и другие, переводившие и комментировавшие издаваемые труды.

    Неустанная деятельность П. П. Лазарева оборвалась в годы войны в Алма-Ате, где он умер 24 апреля 1942 г.

    Другим физическим центром стал Московский университет, куда вернулись В. К. Аркадьев, А. К. Тимирязев и другие ученики П. Н. Лебедева.

    Рис. 73. В. К. Аркадьев в лаборатории П.Н. Лебедева

    В. К. Аркадьев. Владимир Константинович Аркадьев родился в Москве 21 апреля 1884 г. Еще в гимназии он увлекся физикой, изготовлял самодельные приборы и экспериментировал с ними. Поступив в Московский университет, он еще первокурсником пришел к П. Н. Лебедеву с планом опыта по определению движения Земли через эфир. Лебедев посоветовал юноше пройти предварительно физический практикум у профессора А. П. Соколова, а затем прийти к нему в лабораторию. Аркадьев так и поступил и в лаборатории Лебедева сделал важное открытие сильного уменьшения ферромагнитных свойств железа в области сантиметровых волн. Это открытие определило его дальнейший научный путь, он стал изучать поведение ферромагнитных веществ в высокочастотных полях и обнаружил ферромагнитный резонанс. По аналогии с электрической дисперсией, в которой исследуется отношение вещества к электрическому вектору электромагнитной волны, Аркадьев изучил магнитную дисперсию, в которой исследуется отношение вещества к магнитному вектору электромагнитной волны. Изучаемую им область он назвал магнитной спектроскопией.

    Описание поведения вещества в переменном электромагнитном поле заставило Аркадьева обобщить уравнения Максвелла и наряду с известными тремя коэффициентами: диэлектрической проницаемостью ? , магнитной проницаемостью ? и электрической проводимостью ? — ввести четвертую характеристику — магнитную проводимость р, описывающую тепловые потери в ферромагнетике в переменных полях. Среду, описываемую этими четырьмя коэффициентами, Аркадьев назвал бикомплексной. Известно, что в электрической теории дисперсии наличие поглощения описывается комплексным показателем преломления, такой же комплексный показатель преломления вводится и в магнитной спектроскопии, и это объясняет введенный Аркадьевым термин «биокомплексная среда».

    В университете Шанявского, где Аркадьев работал после ухода вместе с Лебедевым из университета, он осуществил эффектные опыты по фотографированию различных случаев дифракции Френеля. Полученные им фотографии, опубликованные в «Журнале Русского физико-химического общества» и в «Physikalische Zeitschrift» за 1912 г., вошли в руководства по физике у нас и за рубежом. Там же он в сотрудничестве с Баклиным построил «генератор молнии», предшественник будущих высоковольтных ускорителей.

    Вернувшись после революции в университет, В. К. Аркадьев развернул большую научную работу по изучению явлений магнетизма. Им были организованы научный кружок «Магнитный коллоквиум» и лаборатория магнетизма. В этой лаборатории его жена А. А. Глаголева-Аркадьева получила в 1922 г. короткие электромагнитные волны, сомкнувшие область электромагнитных и инфракрасных колебаний, с помощью так называемого массового излучателя .

    Александра Андреевна Глаголева-Аркадьева родилась 28 февраля 1884 г. По окончании в 1910 г. математического отделения Высших женских курсов в Москве она работала ассистентом кафедры физики. Ее первые работы относятся к рентгенотехнике. В годы-войны она разработала конструкцию прибора — рентгеностереометра, позволявшего определять глубину залегания пуль, осколков и т. п. в теле.

    Массовый излучатель Глаголевой-Аркадьевой представляет собой сосуд, наполненный металлическими опилками, находящимися в машинном масле. Специальная мешалка размешивает массу, в которую особым колесиком подводится напряжение от индуктора, и между зернами опилок происходят многочисленные искровые разряды, генерирующие электромагнитные волны. «Полученные от массового излучателя волны, — писала в 1924 г. Глаголева-Аркадьева, — налагаются с одной стороны на рабочие короткие электромагнитные волны Риги, Аркадьева, Мебиуса, Лебедева, Никольса и так до 4—2 мм, а с другой стороны — на рабочие длинные тепловые волны Рубенса в 343,218 ц ( 1 микрон (ц) = 10~6м.) и менее и, следовательно, заполняют ту область шкалы электромагнитных волн, в которой электромагнитные колебания могли наблюдаться до сих пор с величайшим трудом».

    A.А. Глаголева-Аркадьева работала над усовершенствованием своего массового излучателя и методики измерения с ним до конца своей жизни. Умерла она 30 октября 1945 г.

    B. К.Аркадьев воспитал целую плеяду советских магнитологов и радиофизиков. Из его школы вышли радиофизики Б. А. Введенский, К. ф. Теодорчик, Н.Н. Малов и другие; магнитологи Н.С. Акулов, Е.И. Кондорский и многие другие.

    Исследования В. К. Аркадьева по магнитной спектроскопии стали предшественниками будущих радиоспектроскопических исследований Но В.К.Аркадьев тщательно изучал поведение ферромагнетиков и в постоянных полях. Для описания намагничивания он ввел магнитные коэффициенты формы, вещества и тела. Исследования В. К. Аркадьева были обобщены им в монографии «Электромагнитные процессы в металлах», первая часть которой вышла в 1934 г., вторая — в 1936 г.

    В. К. Аркадьев и его сотрудники раз работали электромагнитный аналог фотографии, названный ими «стиктография». Электромагнитная теория света Максвелла была основным направлением его научной деятельности, и он стремился провести параллель электромагнитных и оптических колебаний до последних деталей. В. К. Аркадьев умер 1 декабря 1953 г.

    А.К.Тимирязев. Среди московских физиков в первые годы после Октября ведущую роль играл Аркадий Климентьевич Тимирязев.

    А. К. Тимирязев родился 19 октября 1880 г. в Москве. Он был сыном выдающегося русского ботаника Климента Ар кадьевича Тимирязева.

    В своих исследованиях по физиологии растений К. А. Тимирязев широко применял методы и выводы физики и высоко ценил эту науку. Он хотел, чтобы его единственный сын стал физиком. Друзьями К. А. Тимирязева были ведущие физики Московского университета А. Г. Столетов и П. Н. Лебедев. Будущий физик уже с гимназических времен испытал благотворное влияние этих ученых. После окончания гимназии он поступил на математическое отделение Московского университета, где избрал своей специальностью физику, и начал работать у П. Н. Лебедева. Другим учителем А. К. Тимирязева был ученик Столетова Николай Петрович Кастерин (1869—1947). Из зарубежных физиков наибольшее влияние на Тимирязева оказал Д.Д.Томсон, с которым его познакомил отец в 1909 г. во время поездки в Кембридж на юбилей Дарвина.

    Мировоззрение А. К. Тимирязева складывалось под глубоким влиянием отца, которого он любил и перед которым преклонялся. Огромное влияние оказали на него и его учителя.

    А.К. Тимирязев был убежденным материалистом типа Д. Д.Томсона и Л.Больцмана, которого он также высоко ценил и основательно изучал.

    Научная деятельность А. К. Тимирязева началась в области кинетической теории газов, которая была главным предметом его преподавания в течение многих лет. Его книга «Кинетическая теория материи», составленная из лекций, читаемых в Московском университете в 1917—1918 гг., первое издание которой вышло в 1923 г., была первым советским учебником по этому предмету. Она ярко характеризует мировоззрение и научные симпатии автора.

    Предметом исследования Тимирязева были явления в разреженных газах: внутреннее трение и температурный скачок. Тимирязев исследовал связь между коэффициентом скольжения и температурным скачком теоретически, пользуясь теорией Максвелла, и экспериментально в области давления от 760 до 0,001 мм рт. ст. Он установил в соответствии с исследованиями Кундта и Варбурга, что при больших разрежениях появляется скольжение, пропорциональное длине свободного пробега и, следовательно, обратно пропорциональное давлению:

    a = a0/p = c?

    Величина а0 связана с температурным скачком простым соотношением:

    a0 = (8/15) ?

    Опыты с воздухом и углекислотой подтвердили эти расчеты. Исследование Тимирязева было опубликовано на немецком языке в 1913 г. и в 1914 г. было представлено в Петербургский университет в качестве магистерской диссертации. Оппоненты О. Д. Хвольсон и Н. А. Булгаков дали работе высокую оценку, и Тимирязев получил ученую степень магистра.

    После Октября он и его отец безоговорочно приняли сторону Советской власти, что вызвало к ним враждебное отношение значительной части профессуры. А. К. Тимирязев активно включился в работу по перестройке высшей школы на новых, социалистических началах. Он был одним из организаторов и первых преподавателей рабочих факультетов, членом нового правления университета, членом Государственного ученого совета Наркомпроса. В 1921 г. он был принят в партию решением ЦК без кандидатского стажа. С 1922 г. он возглавлял физическую предметную комиссию физико-математического факультета.

    В университете он читал курсы «Введение в теоретическую физику», «Кинетическая теория материи» и руководил семинаром по статистической физике. Из этого семинара вышли ряд видных советских физиков: М. А. Леонтович, А. А. Андронов, А. А. Витт, В. Л. Грановский и другие. А. К. Тимирязев вел также большую популяризаторскую работу. Им, в частности, была прочитана первая в Советской России лекция о внутриатомной энергии. Популяризируя достижения ведущих современных физиков — Бора, Резерфорда, Эйнштейна, Планка, — Тимирязев, однако, критически относился к теории относительности, разделяя отношение к ней Д. Д. Томсона и своего учителя Н. П. Кастерина.

    Рис. 74. Схема установки А.К. Тимирязева по внутреннему трению в разреженных газах

    В последние годы жизни А. К. Тимирязев руководил кафедрой истории физики. Ему принадлежит ряд статей о М. В. Ломоносове, А. Г. Столетове, П. Н. Лебедеве и других ученых. Он был редактором трехтомного собрания сочинений А. Г. Столетова, избранных трудов (в одном томе) А. Г. Столетова и П. Н. Лебедева. Под его редакцией вышла книга «Очерки по истории физики в России», «История физики» П. С. Кудрявцева (т. I, 1948). Умер А. К. Тимирязев 15 ноября 1955 г.

    Л. И. Мандельштам. Леонид Исаакович Мандельштам родился 4 мая 1879 г. Детство и юность его прошли в Одессе, где он поступил в университет. Однако пребывание его в Новороссийском университете было недолгим: за участие в студенческих «беспорядках» он был исключен с первого курса. В том же, 1899 г., когда он был исключен из университета, он уехал в Страсбург, где учился у Карла фердинанда Брауна (1850-1918).

    Время пребывания Л. И. Мандельштама в Страсбурге — это годы развития молодой радиотехники, бывшей в то время «искровой». Генератором колебаний была электрическая искра, детектором был по преимуществу когерер. Браун в 1906 г. изобрел кристаллический детектор. Л. И. Мандельштам принял активное участие в разработке проблем радиотехники. Это было особенно важно потому, что, как писал друг и сотрудник Мандельштама Н. Д. Папалек-си (1880—1947), «физическая сторона процессов в радиопередатчике и радиоприемнике была в то время еще совершенно не ясна».

    Л. И. Мандельштам уже в ранние годы своей деятельности сделал фундаментальное открытие о свойствах слабой связи между антенной и колебательным контуром. В то время как считалось необходимым всемерно усиливать эту связь, Л. И. Мандельштам показал, что для улучшения приема и повышения селективности приемника необходимо, наоборот, ослабить эту связь. В 1902 г. Мандельштам защищает докторскую диссертацию «Определение периода колебательного разряда конденсатора». Он участвует вместе с Брауном в лабораторных и технических исследованиях радиоустройств, изготовляемых фирмой «Сименс и Гальске» по схеме Брауна. С 1903 г. он работает ассистентом физического института в Страсбурге и руководит исследованиями докторантов и начинающих ученых, приезжающих в Страсбург.

    Наряду с радиотехникой и радиофизикой его внимание привлекает оптика. Он анализирует теорию Рэлея о молекулярном рассеянии света и приходит к выводу, что для оптически однородной среды она неверна — нельзя объяснять голубой цвет неба рассеянием солнечных лучей молекулами воздуха, оптически однородная среда не является мутной и рассеяния не происходит.

    Дело объясняется тем, что существуют флюктуации плотности воздуха, которые и обусловливают оптическую неоднородность среды. Теория рассеяния света стала в дальнейшем одной из ведущих тем научногр творчества Л. И. Мандельштама, приведшей его к открытию новых нерэлеевских форм рассеяния.

    Атмосфера надвигающейся войны заставила Л. И. Мандельштама покинуть Германию и вернуться в Россию. Он работал в Одессе, Петрограде, снова в Одессе и в 1922 г. переехал в Москву в качестве консультанта Центральной радиолаборатории (ЦРЛ). В 1925 г. он был избран заведующим кафедрой теоретической физики Московского университета. Здесь он развернул активную научно-педагогическую деятельность, разрабатывая новую научную область нелинейной теории колебаний. Им была создана школа, разрабатывающая эту область. А. А. Андронов, А. А. Витт, С. Э. Хайкин, М. А. Леонтович и другие внесли существенный вклад в исследование нелинейной теории, обеспечив ведущее место школы Мандельштама не только в СССР.

    Наряду с нелинейной теорией колебаний Мандельштам разрабатывал проблемы оптики, которые в 1928 г. привели его и Г. С. Ландсберга к открытию «раман-эффекта», названного так по имени индийского физика Рамана, опубликовавшего свое открытие раньше Мандельштама и Ландсберга.

    В 1929 г. Мандельштам был избран действительным членом Академии наук СССР. Здесь он развернул совместно с Н. Д. Папалекси интенсивную работу по нелинейным колебаниям и распространению радиоволн.

    Они разработали параметрический метод генерирования колебаний, радиоинтерференционный метод измерения расстояний.

    Мандельштам умер 27 ноября 1944 г

    Обратимся теперь к Петрограду, вернувшись к первым годам Советской власти. Именно в Петрограде начали свое развитие те направления современной физики, которые определили характер научной революции в физике. Главным образом благодаря Петрограду советская физика сформировалась как детище двух революций: социальной и научной. В Москве сказывалось давление научных традиций А. Г. Столетова и П. Н. Лебедева, восходивших своими корнями к Максвеллу и Гельмгольцу. Петербург был свободен от этих традиций. Дореволюционная петербургская физика была представлена в Академии наук Б. Б. Голицыным, который Занимался вопросами сейсмологии, и в университете О. Д. Хвольсоном (1852— 1934), создателем известного «Курса физики».

    Основателями советской физики в Петрограде были организатор физико-технического института А. ф. Иоффе и организатор Оптического института Д. С. Рождественский.

    А. Ф. Иоффе. Абрам Федорович Иоффе родился 29 октября 1880 г. в г. Ромны . Полтавской губернии. По окончании Роменского реального училища он поступил в Петербургский технологический институт.

    Но карьера инженера не привлекала будущего физика, и по совету своего учителя Н. А. Гезехуса он уезжает в 1902 г. в Германию, в Мюнхен, где в то время профессором физики был знаменитый Рентген.

    Здесь А. ф. Иоффе прошел физический практикум, выполнил ряд исследований по заданию Рентгена и, наконец, уже в качестве ассистента Рентгена начал изучать пьезоэлектрические свойства кварца. В связи с этим Иоффе исследовал упругое последействие. В ходе исследования Иоффе облучал кристалл рентгеновскими лучами и наблюдал изменение электропроводимости.

    Особенно важным было открытое Иоффе повышение электропроводимости каменной соли, предварительно облученной рентгеновскими лучами, под действием света. Этим заинтересовался и Рентген, вообще недоверчиво относившийся к электронным идеям Иоффе, и исследовал вместе с Иоффе это явление.

    А. Ф. Иоффе показал, что в однородном кристалле никакого упругого последействия не существует. Оно обязано своим происхождением неоднородности кристалла. Диссертацию «Упругие последействия в кристаллическом кварце» А. ф. Иоффе защитил 5 июня 1905 г. с наивысшей похвалой.( Заграничная степень доктора примерно соответствует теперешней кандидатской. Она не принималась во внимание в России. А. ф. Иоффе пришлось защищать в России магистерскую и докторскую диссертации. ) Рентген высоко оценил способности Иоффе и предложил ему остаться в Мюнхене в должности профессора. Но Иоффе уехал в Россию. Здесь ему предоставили должность старшего лаборанта кафедры физики Петербургского политехнического института, причем почти два года он работал внештатным лаборантом, и лишь 1 апреля 1908 г. был утвержден штатным старшим лаборантом.

    Научные интересы А. ф. Иоффе в это время сосредоточиваются вокруг квантовой теории света и элементарного фотоэффекта. Вместе с тем он продолжает исследования упругих и электрических свойств кварца. А. ф. Иоффе впервые измерил магнитное поле движущихся электронов (катодных лучей) и усовершенствовал метод измерения электрического заряда, применив не капли масла, как у Милликена, а пылинки фоточувствительного металла.

    Результаты исследования магнитного поля катодных лучей и элементарного фотоэффекта были обобщены в магистерской диссертации А. ф. Иоффе, которую он блестяще защитил 9 мая 1913 г. После защиты он стал экстраординарным профессором Политехнического института и через два года (30 апреля 1915 г.) защитил докторскую диссертацию «Упругие и электрические свойства кристаллов». Став ординарным профессором, А. ф. Иоффе развернул большую научную и педагогическую деятельность. Им был организован Ceминар по современным вопросам физики. Участники этого семинара — П. Л. Капица, Н. Н. Семенов, П. Н. Лу-кирский, Н. Н. Добронравов, Я. И. Френкель, Я. Г. Дорфман, М. В. Кирпичева и другие — образовали ядро будущего физико-технического института и вошли в историю советской физики как ее ведущие деятели.

    После Октябрьской революции деятельность А. ф. Иоффе приобрела особый размах. К его таланту ученого и педагога прибавился талант организатора науки, который не мог проявиться в царской России. Вместе с Михаилом Исаевичем Неменовым, ученым-медиком, он организует в Петербурге Рентген орадиологический институт с двумя отделами — физико-техническим и медико-биологическим. Директором первого отдела стал А. ф. Иоффе, второго — М. И. Неменов. Институт был организован осенью 1918 г. В том же году А. ф. Иоффе был избран членом-корреспондентом Академии наук. В 1920 г. он был избран академиком. В 1921 г. Рентгенорадиологический институт был разделен на три самостоятельных института: Рентгенологический и радиологический институт, физико-технический институт, Радиевый институт.

    Таким образом, с 29 ноября начал свою работу возглавляемый академиком А. ф. Иоффе физико-технический институт, ныне Ленинградский физико-технический институт им. А. ф. Иоффе. Этот институт стал крупным центром современной физики в Советской России. Из стен его вышли будущие академики и руководители институтов: академик П. Л. Капица — основатель Института физических проблем АН СССР, лауреат Ленинской и Нобелевской премий, академик Н. Н. Семенов — основатель Института химической физики АН СССР, лауреат Ленинской и Нобелевской премий, академик Л. Д. Ландау — лауреат Ленинской и Нобелевской премий, академик И. В. Курчатов — о сновоположник совет ской ядерной науки и техники, основатель Института атомной энергии, ныне носящего его имя, и многие другие видные ученые СССР.

    Ведущей научной темой самого А. ф. Иоффе была физика твердого тела. Он изучал механические и электрические свойства кристаллов, и в последние годы его интересы сосредоточились на физике и технике полупроводников. В 1954 г. им был организован Институт полупроводников, директором которого он был до самой своей смерти, последовавшей 14 октября 1960 г., за две недели до его 80-летия, которое широко собиралась отмечать вся научная общественность.

    Д. С. Рождественский. Вторым основоположником советской физики в Петербурге был Дмитрий Сергеевич Рождественский. А. ф. Иоффе представлял Политехнический институт, Д. С. Рождественский был питомцем университета.

    Дмитрий Сергеевич Рождественский был коренным петербуржцем. Он родился в Петербурге 7 апреля 1876 г. в семье преподавателя гимназии. Окончив в 1894 г. с серебряной медалью гимназию, он поступил на естественное отделение физико-математического факультета Петербургского университета, но вскоре перешел на математическое отделение, которое окончил в 1900 г. по специальности "физика".

    Проработав затем в течение года в Военно-медицинской академии в должности лаборанта, он уехал в Германию для подготовки к профессорскому званию, как было принято в те годы. Вернувшись, он работает лаборантом Петербургского университета, но затем опять уезжает за границу, на этот раз в Париж. Он работает в Парижском университете с 1907 по 1910 г. и возвращается в Петербург сложившимся ученым с определенным научным направлением. Его интересы сосредоточиваются на оптике, а именно на исследовании аномальной дисперсии.

    Знаменитые опыты Ньютона с дисперсией света познакомили физиков с основным фактором, обусловливающим дисперсию света, зависимость показателей преломления от цветности луча. Успехи волновой оптики привели к численной характеристике цветности света — длине волны, и закон, открытый Ньютоном, означал на языке волновой теории, что показатель преломления является функцией длины волны: n = f(?).

    Ньютон нашел качественное выражение этого закона: показатель преломления возрастает от красного конца спектра к фиолетовому. На языке волновой оптики это означает, что показатель преломления возрастает с уменьшением длины волны. Такая дисперсия получила впоследствии название нормальной.

    «До 1870 г., — писал Д.С.Рождественский в своей классической работе «Аномальная дисперсия в парах натрия», — экспериментаторов интересовал исключительно нормальный ход дисперсии в прозрачных средах. Известен был, правда, опыт Леру, указавший на увеличение показателя преломления при возрастании длины волны внутри полосы поглощения, но этот факт не обратил на себя особенного внимания исследователей. С 1870 по 1875 г опытами Христиансена и Кундта связь между аномальной дисперсией и поглощением была установлена с неоспоримостью».

    Датский физик К. Христиансен, впоследствии учитель Бора, наблюдал в 1870, 1871 и 1872 гг. аномальную дисперсию в призме, заполненной раствором фуксина (Леру наблюдал аномальную дисперсию в 1862 г. в парах иода). За Христиансеном исследовал дисперсию целого ряда красящих веществ учитель П. Н. Лебедева Август Кундт. Он установил, что перед каждой полосой поглощения, если к ней приближаться со стороны длинных волн, показатель преломления резко возрастает. В дальнейшем Кундту удалось наблюдать аномальную дисперсию в парах натрия (1880), использовав метод скрещенных призм, предложенный еще Ньютоном. Второй призмой при этом служил кусочек натрия в пламени бунзеновской горелки. В 1871 г. В. Зеллмейер (1836—1904) дал теорию дисперсии, объясняющую и аномальную дисперсию. Основная идея теории Зеллмейера состояла в учете влияния резонирующих молекул, вкрапленных в эфир, на скорость распространения световой волны. Эта же идея была разработана с электромагнитной точки зрения Гельмгольцем, Друде, фогтом, Лоренцем, Планком и привела в конечном счете к формулам:

    где n — показатель преломления, k — коэффициент поглощения, константы а, b, ?' меняются от слагаемого к слагаемому и в разных теориях имеют несколько различные значения.

    Из экспериментаторов наибольших успехов добился американский оптик Роберт Вуд (1868—1955), построивший кривую паров натрия (1902—1904), используя метод скрещенных призм.

    Рис. 75. Фотографии 'крюков'

    Д. С Рождественский развил метод скрещенных интерферометра и спектроскопа, предложенный итальянским физиком Пуччианти в 1901 г. Он указал, что «этот метод, простой, элегантный и чувствительный, был предложен в 1875 г. Е. Махом и применялся (только качественно) Г. Ознобишиным». «Но этот путь, — как пишет Рождественский далее, — был забыт, и через 30 только лет, не зная, по-видимому, об опытах Маха и Ознобишина, его вновь применил Пуччианти».

    Д С. Рождественский видоизменил и усовершенствовал установку Пуччианти. Введя в интерферометре на пути одного из интерферирующих пучков стеклянную пластинку, он добился изгибания полос в области поглощения, что позволило судить о ходе показателя преломления внутри самой области поглощения («метод крюков»). Знаменитые фотографии крюков, сделанные Рождественским, привлекли внимание выдающихся оптиков мира — Р. Вуда, П. Друде, А. Маикельсона, высоко оценивших метод Рождественского.

    Работа «Аномальная дисперсия в парах натрия», вышедшая в 1912г.,была представлена Рождественским в ученый совет Петербургского университета в качестве магистерской диссертации. После успешной защиты ему была присвоена ученая степень магистра, и он был утвержден приват-доцентом Петербургского университета.

    В 1915 г. Д. С. Рождественский защитил докторскую диссертацию на тему «Простые соотношения в спектрах щелочных металлов» и был утвержден руководителем физического института университета, а с 1916 г. стал профессором Петербургского университета.

    Одновременно Рождественский интенсивно работал над вопросами производства оптического стекла в России. Война лишила Россию оптического стекла, которое она получала из Германии, и для нужд армии и промышленности надо было создать свое стекло. Эту задачу Рождественскому и его сотрудникам удалось решить уже после Октября, когда Рождественский с неутомимой энергией взялся за организацию Оптического института—«того учреждения нового типа, в котором неразрывно связывались бы научная и техническая задачи».

    Рождественский был убежден, что институты, в которых осуществляется тесная связь науки и техники, «должны повести к невиданному еще расцвету науки и техники». Эти мысли он высказывал в упоминавшемся выше отчетном докладе 15 декабря 1919 г., который был опубликован в «Трудах Оптического института» в 1920 г. под названием «Спектральный анализ и строение атома». Доклад содержал развитие бо-ровской теории строения атома. Рождественский рассматривает спектры щелочных металлов, устанавливает во-дородоподобный характер спектров, получаемых перескоком оптического электрона с отдельных орбит, и усложненную картину для проникающих орбит, указывает, что происхождение дублетов должно быть связано с магнитными свойствами электронов. Обстоятельный доклад Д. С. Рождественского привлек внимание зарубежных физиков и был высоко оценен Бором.

    Рождественский глубоко верил в возможность решения в недалеком будущем проблемы атомной энергии и считал, что к решению этой важнейшей задачи должны быть привлечены тысячи ученых и что это решение будет иметь огромное социальное воздействие. Д. С. Рождественский организовал в голодном и холодном Петрограде в 1920 г. Атомную комиссию, в работе которой принимали участие, кроме Д. С. Рождественского, А. Н. Крылов, А. ф. Иоффе, Н. И. Мусхелишвили, Ю. А. Крутков и многие другие видные ученые, а также научная молодежь.

    Обширная научная и организационная деятельность Д. С. Рождественского была высоко оценена. В 1925 г. он был избран членом-корреспондентом Академии наук СССР, а в 1929 г.— ее действительным членом. Его горячая приверженность идее связи науки и техники с особой силой прозвучала в выступлении на мартовской сессии 1936 г. Академии наук по докладу академика А. ф. Иоффе. На этой же сессии он выступал с докладом о работах Оптического института.

    Напряженная научная деятельность Д. С. Рождественского трагически оборвалась 25 июня 1940 г.

    С. И. Вавилов. Советская оптика, в развитие которой внес такой большой вклад Д. С. Рождественский, нашла крупного лидера и в Москве. Это был молодой питомец лебедевско-лазарев-ской школы Сергей Иванович Вавилов.

    С. И. Вавилов родился 24 марта 1891 г. в Москве. Окончив в 1909 г. Московское коммерческое училище, он в отличие от П. Н. Лебедева, А. ф. Иоффе и других, кончивших среднюю школу без аттестата зрелости, сдал экзамены по латинскому языку и поступил в Московский университет на математическое отделение физико-математического факультета.

    Студентом Вавилов начал вести научную работу в лаборатории П. Н. Лебедева под руководством сотрудника Лебедева П. П. Лазарева. Работу «Тепловое выцветание красителей» он заканчивал уже не в стенах университета, откуда в 1911 г. ушел вместе с П. Н. Лебедевым, П. П. Лазаревым и другими учеными. Она была опубликована в 1914 г. и принесла автору золотую медаль Общества любителей естествознания.

    С. И. Вавилов, окончив университет в 1914 г., не пожелал остаться «для подготовки к профессорскому званию», так как видел, что учиться физике в университете уже не у кого. Он пошел отбывать военную повинность вольноопределяющимся. Начавшаяся война продлила прохождение военной службы на четыре года, в течение которых прапорщик С. И. Вавилов воевал в саперных и радиочастях. Вавилов был демобилизован в 1918 г. и пришел в организованный его учителем П. П. Лазаревым Институт биофизики. Здесь Вавилов не только выполнял личную научную работу в области оптики, но и возглавлял отдел физической оптики института. Помимо научной работы, Вавилов вел большую педагогическую работу, он преподавал в Высшем зоотехническом институте, в Московском университете, в Высшем техническом училище.

    С 1929 г. С.И.Вавилов заведует кафедрой общей физики Московского университета. Его научная работа в сгбласти люминесценции, организационная и педагогическая деятельность приобрели широкий размах. Высокий научный авторитет С. И. Вавилова обеспечил ему избрание членом-корреспондентом Академии наук СССР в 1931 г. Через год С. И. Вавилова избирают действительным членом и он становится научным руководителем Оптического института. В 1932 г. Вавилов возглавляет физический отдел физико-математического института АН СССР. Через год он реорганизует этот небольшой отдел в самостоятельный физический институт АН СССР (фИАН). В 1933-1934 гг. в фИАНе аспирант Вавилова П. А. Черенков открывает явление свечения жидкости под воздействием У-излучения. Тонкий знаток люминесценции, давший впервые ее строгое научное определение, С. И. Вавилов сразу понял, что свечение не является люминесценцией. Найденное свечение получило название эффекта Вавилова — Черепкова. Природа его была выяснена в 1937 г. И. Е. Таммом и И. М. франком. Оно обязано своим происхождением электрону, движущемуся со скоростью, большей скорости света, в данной среде. В 1946 г. С. И. Вавилову, П. А. Черепкову, И. Е. Тамму, И. М. франку была присвоена за это открытие Государственная премия, а в 1958 г. П. А. Черенков, И. Е. Тамм и И. М. франк стали Нобелевскими лауреатами. С. И. Вавилова к этому времени уже не было.

    Основные научные исследования С. И. Вавилова были направлены на изучение люминесценции и природы света. До создания фотоумножителей С. И. Вавилов посредством глаза изучал квантовые флюктуации слабых световых потоков. Результаты этих трудоемких и утомительных исследований были обобщены им в монографии «Микроструктура света».

    Исследования по люминесценции света были доведены С. И. Вавиловым до практического результата. Им и его сотрудниками была разработана конструкция люминесцентных ламп «дневного света». За эту работу С. И. Вавилов, В. Л. Левшин, В. А. фабрикант были в 1951 г. удостоены Государственной премии. Государственной премии была удостоена в 1943 г. и его работа по квантовым флюктуациям.

    С. И. Вавилов много и плодотворно занимался историей науки. Ему принадлежит монография «Исаак Ньютон», написанная им к 300-летию со дня рождения Ньютона в трудные военные годы. По его инициативе было издано полное собрание трудов великого русского ученого М. В. Ломоносова, творчеству которого Вавилов посвятил ряд статей. Им были переведены оптические мемуары Ньютона «Оптика» и «Лекции по оптике». По его инициативе начала выходить серия «Классики науки», существующая и до сих пор.

    В 1945 г. С. И. Вавилов был избран Президентом Академии наук СССР.

    Размах его научно-организационной работы колоссально возрос. Но Вавилов взял на себя и другую большую задачу: он стал одним из инициаторов организации Всесоюзного общества по распространению политических и научных знаний (общество «Знание»), председателем которого он был с его основания в 1947 г. и до своей смерти, последовавшей в ночь на 25 января 1951 г.

    Глава седьмая. Возникновение квантовой механики

    Трудности теории Бора

    Процесс революционного преобразования физики, начало которого привлекло внимание В. И. Ленина и существенно повлияло на развитие советской физики, во второй половине 20-х годов завершился созданием новой научной системы, резко противоречащей привычным формам описания физических явлений. Этой системой была квантовая механика, становление которой приходится на 1925— 1930 гг.

    Теория Бора с самого начала вызывала многие вопросы, остававшиеся без ответа. Эти вопросы были поставлены Резерфордом еще при обсуждении рукописи первой статьи. Мы приводили высказывание Резерфорда о трудностях, возникших в связи с идеями Бора; как понимать сочетание идей Бора и классической механики, в которой нет места для квантовых скачков, и откуда электрон знает, на какую орбиту ему следует перескакивать.

    Бор назвал эти замечания Резерфорда дальновидными. Резерфорд со всей ясностью показал противоречивость недетерминированных квантовых условий и квантовых скачков и строго детерминированных законов движения электрона по атомным орбитам. Однако успехи теории Бора в объяснении спектров заставили забыть об этом противоречии. Тем не менее сразу было видно, что первоначальной теории многого недостает. Это особенно ясно было видно на примере эффекта Зеемана.

    В 1896 г. голландский физик Питер Зееман (1865—1943) произвел опыт, который пытался осуществить еще фа-радей. Пламя натриевой горелки он помещал между полюсами электромагнита и наблюдал в спектроскоп ее спектр. По оси электромагнита был просверлен канал, так что явление можно было наблюдать не только перпендикулярно силовым линиям поля (поперечный эффект), но и вдоль поля (продольный эффект). При наблюдении поперек поля, кроме линии с частотой колебаний v0, равной частоте колебаний в отсутствие поля, наблюдались две линии с частотами , ? 1 = ? 0 + ?? и ? 2 = ? 0 + ??. Все три линии линейно поляризованы. Несмещенная линия соответствует колебаниям вдоль силовых линий (? - компонент), смещенные — колебаниям, перпендикулярным силовым линиям (? - компоненты). При наблюдении вдоль поля несмещенная компонента отсутствует, смещенные линии поляризованы по кругу в противоположных направлениях.

    Лоренц в 1897 г. дал простую теорию эффекта, исходя из представлений, что в атомах электроны совершают круговые движения с циклической частотой w0. В магнитном поле на них действует сила Лоренца и частота обращения изменяется на величину ??, равную приближенно:

    ?? = (±e/2mc) H

    Лармор (1857-1942) в 1899 г. интерпретировал действие магнитного поля как действие поля тяжести на волчок. Волчок прецессирует вокруг направления силы тяжести с угловой частотой Асо. Точно так же вращающиеся электроны в атоме прецессируют вокруг силовых линий магнитного поля с круговой частотой ?? = (±e/2mc) Н (прецессия Лармора). Объяснение Лармора —Лоренца явилось выдающимся достижением электронной теории, и в 1902 г. Зееман и Лоренц были удостоены Нобелевской премии за открытие и объяснение эффекта Зеемана.

    А. Зоммерфельд, развивая теорию Бора, ввел идею пространственного квантования. Движение электрона по орбите определяется радиальным и азимутальным квантовыми числами или главным квантовым числом п, определяющим энергию электрона, и побочным квантовым числом k, определяющим форму орбиты. Положение орбиты в пространстве определяется третьим магнитным квантовым числом т. Введение этого числа и квантование направлений оси по отношению к магнитному полю позволяет дать объяснение эффекта Зеемана. Однако это объяснение в известном смысле было хуже объяснения, данного Лоренцем. Оно ничего не говорило о поляризации линий. Вообще теория спектров, по Бору и Зоммерфельду, говорила лишь о частотах линий и не могла объяснить их интенсивность и поляризацию. Чтобы теория могла что-то сказать об этом, Бор ввел принцип соответствия.

    Согласно этому принципу «существует далеко идущее соответствие» между квантовым и классическим описанием излучения. В квантовом описании линии спектра излучения обусловлены переходами из одного состояния в другое, в классическом эти линии определяются разложением движения электрона в ряд фурье. При этом, как указывает Н. Бор, «частота излучения, испускаемого при переходе между стационарными состояниями, характеризуемыми числами п' и п", большими по сравнению с их разностью, совпадает с частотой одной из компонент излучения, которую можно ожидать при избранном движении электрона в стационарном состоянии на основании обычных представлений». Далее Бор пишет: «Задаваясь вопросом о более глубоком значении найденного соответствия, мы вправе, естественно, ожидать, что соответствие не ограничивается совпадением частот спектральных линий, вычисленных тем и другим методом, но простирается и на их интенсивности. Такое ожидание равносильно гому, что вероятность определенного перехода между двумя стационарными состояниями связана известным образом с амплитудой, соответствующей гармонической компоненте».

    Применение принципа соответствия позволило определить и поляризацию в нормальном эффекте Зеемана. Квантовый переход, соответствующий изменению магнитного квантового числа на ± 1, дает круговую поляризацию в плоскости, перпендикулярной к силовым линиям. Квантовый переход Am = 0 соответствует линейной поляризации, параллельной силовым линиям.

    Но нормальный эффект Зеемана представляет скорее исключение, чем норму. На опыте встречается более сложный эффект: расчленение на несколько компонентов (мультиплетов). Мультиплетами оказываются и линии спектров элементов. Аномальный эффект и мультиплетная структура спектров не укладывались в рамки обычной теории Бора.

    С вопросом о сложной структуре линий был тесно связан вопрос о магнитных свойствах атома. Еще Д. С. Рождественский в своем докладе 15 декабря 1919 г. предполагал, что дублеты и триплеты спектральных линий обусловлены действием магнитных сил, вызванных движением электронов. «Магнитная задача должна лежать в основе задачи об атомах», — говорил Рождественский.

    О.Штерн (1888-1969) и В. Герлах (род. в 1889 г.) в 1921 г. пропустили молекулярный пучок через неоднородное магнитное поле и неопровержимо доказали наличие у атомов магнитного момента. Но детали опыта (расщепление пучка на два) опять не укладывались в теорию Бора—Зоммерфельда.

    В том же, 1921 г. А.Ланде (1888-1975) дал формальную схему описания мультиплетов с помощью векторной модели и ввел связанный с квантовыми числами k и s множитель Ланде1. Он также получил «двойной магнетизм»: отношение между магнитным и вращательным моментом атомного остова (т. е. ядра и всех электронов, кроме оптического) оказалось вдвое больше того, который следует из теории Бора — Зоммерфельда. Противоречия с теорией Бора в ее первоначальном варианте накапливались на каждом шагу, и квантовое описание спектроскопических фактов все более и более усложнялось.

    Особенно тягостное положение создалось в теории света. Эйнштейн в своей классической работе 1917 г. о световых квантах сделал дальнейший шаг в сторону корпускулярной теории света. Он предположил, что атом излучает, «выстреливая» квант света в том или ином направлении (игольчатое излучение). При этом квант света обладает всеми свойствами материальной частицы: энергией Е = hv, массой

    Эта идея нашла блестящее подтверждение в открытии, сделанном американским физиком Артуром Комптоном (и, по-видимому, П. Дебаем). В 1922 г. Комптон (1892-1962), изучая рассеяние рентгеновских лучей веществом, содержащим слабо связанные электроны (графитом), установил, что частота (длина волны) рассеянных рентгеновских лучей изменяется в зависимости от угла рассеяния. С увеличением угла рассеяния она уменьшается (длина волны увеличивается), излучение становится более «мягким». В 1927 г. Комптону была присуждена Нобелевская премия за открытие этого эффекта.

    В 1923 г. А. Комптон и независимо от него П. Дебай дали теорию «эффекта Комптона». Теория была основана на идее Эйнштейна: квант света сталкивается с электроном по закону упругого удара. Применяя законы сохранения энергии и импульса, Комптон и Дебай получили формулу для изменения длины волны рассеянного излучения:

    (комптоновская длина волны). Дебай написал эту формулу в несколько измененном виде. Это простое и наглядное объяснение эффекта в сильной степени способствовало укреплению представления о кванте света как частице, для которой Комптоном был предложен термин «фотон», ставший общеупотребительным.

    К 1924 г. в науке о свете создалось тягостное положение, которое очень наглядно охарактеризовал О. Д. Хвольсон в своем докладе на IV съезде физиков в Ленинграде. Разделив мелом доску на две части А и В, он вписал на одной стороне факты, объясняемые волновой теорией света, на другой — факты, объясняемые квантовой теорией. «Ни волновая, ни квантовая теории, — говорил в связи с этим принимавший участие в съезде Эренфест, — не в состоянии охватить все области световых явлений». Всеобъемлющей теории света, как это констатировал Хвольсон, не было Однако эффект Комптона и опыт А ф. Иоффе и Н. И.Добронравова, о котором было сообщено на съезде, как будто перевешивали чашу весов в пользу квантовой теории. Эренфест в своем докладе рассказал о попытке построить квантовую теорию дифракционной решетки.

    В 1924 г. Бор совместно с Г. Крамерсом и Дж. Слэтером написал статью «Квантовая теория излучения», опубликованную в 1924 г.

    В поисках выхода из тяжелого положения авторы предложили даже отказаться от требования применения закона сохранения энергии к отдельным актам излучения и поглощения света атомом. Закон сохранения энергии должен выполняться лишь статистически, в среднем. Они ввели представление о виртуальном поле, индуцирующем квантовые переходы, и, полностью сохраняя волновые представления, пытались построить теорию квантовых эффектов. Однако гипотеза Бора, Крамерса и Слэтера была опровергнута экспериментами, в которых доказывалось, что каждый акт взаимодействия света с веществом подчиняется закону сохранения энергии. Выход, таким образом, Бором и его сотрудниками еще не был найден.

    Рис. 76. Явление Комптона по снимку Комптона и Симона

    Идеи де Бройля

    В 1923 г. в докладах Парижской Академии наук были опубликованы три статьи французского физика Луи де Бройля: «Волны и кванты», «Кванты света, дифракция и интерференция», «Кванты, кинетическая теория газов и принцип ферма», в которых выдвигалась совершенно новая идея, переносящая дуализм в теории света на сами частицы материи.

    Де Бройль рассматривает некоторый волновой процесс, связанный с телом, движущимся со скоростью v = ?с. Эта волна обладает частотой, определяемой соотношением Е = h? = m(с)2, и движется в направлении движения тела со скоростью u = c/? «Мы будем рассматривать ее лишь как фиктивную волну, связанную с перемещением движущегося тела». Де Бройль показывает далее, что для электрона, движущегося по замкнутой траектории с постоянной скоростью, меньшей скорости света, траектория будет устойчива, если на ней укладывается целое число таких волн Условие это совпадает с квантовым условием Бора: mvR = nh/2?. Скорость частицы v = ?с является скоростью группы волн, обладающих частотами, мало отличающимися друг от друга и соответствующими частоте m(с)2/h Эта волна, которую де Бройль называл «волной фазы», пилотирует движение частицы, несущей энергию mс2, сама же фазовая волна энергии не несет. Гипотеза де Бройля позволяет «осуществить синтез волнового движения и квантов». Де Бройль утверждает наличие в природе волновых явлений и для частиц вещества. Он пишет: «Дифракционные явления обнаруживаются в потоке электронов, проходящих сквозь достаточно малые отверстия. Быть может, экспериментальное подтверждение наших идей следует искать в этом направлении».

    Де Бройль указывает, что его новая механика относится к прежней механике, классической и релятивистской, «так же как волновая оптика относится к геометрической». Он пишет, что предложенный им синтез «представляется логическим венцом совместного развития динамики и оптики со времени XVII в.

    25 ноября 1924 г. де Бройль защитил диссертацию «Исследования по теории квантов». Это время некоторые авторы считают началом возникновения идей волновой механики. Де Бройль впоследствии возражал, указывая, что он открыл волновую механику еще в 1923 г., «поскольку в своей диссертации лишь развил идеи, содержащиеся в моих статьях, написанных в сентябре — октябре 1923 г.». За открытие волновой природы электронов де Бройль был удостоен в 1929 г. Нобелевской премии.

    Но тогда эти статьи не вызвали сразу широкого отклика. Содержащееся в них указание на дифракцию электронов прошло мимо экспериментаторов. Дифракция электронов была открыта через 5 лет после появления статей де Бройля вне всякой связи с ними и до известной степени случайно. Но на идеи де Бройля обратили внимание теоретики — Эйнштейн и Шредингер, с успехом развившие их в своих работах.

    В своей статье «Кванты, кинетическая теория газов и принцип ферма» де Бройль, опираясь на исследования, проводимые в 1911—1913 гг. Планком, Нернстом, а также Саккуром и Тетроде, разрабатывает статистику газов и световых квантов. Саккур и Тетроде, начав в 1911—1912 гг. применение идей квантовой теории к газам, предложили считать элементарный фазовый объем газа равным h3. Планк подхватил эту идею и связал ее с теоремой Нернста, квантовый характер которой установил впервые он. Теперь де Бройль, используя свое представление о волнах материи, выводит закон распределения Максвелла для газов и формулу Планка для квантов света.

    Возникновение квантовой статистики

    2 июля 1924 г. индийский физик Шатьендранат Бозе (1894—1974) направил из Дакки (ныне столица Бангладеш) в немецкий журнал «Zeitschrift fur Physik» статью «Закон Планка и гипотеза световых квантов». Используя представление Эйнштейна о квантах как частицах, обладающих импульсом hv/c, гипотезу Саккура — Тетроде (эти имена ни де Бройль, ни Бозе не упоминают) и величину элементарного фазового объема, Бозе вводит новый метод статистического подсчета распределения объектов (в данном случае световых квантов) по состояниям. Бозе подсчитывает распределение не самих квантов, которые неразличимы, а ячеек, не содержащих ни одного кванта, содержащих один, два и т. д. квантов. Число таких распределений выражается формулой:

    ячеек, p1 - число ячеек, содержащих один квант, р2 - число ячеек, содержащих два кванта, и т.д.

    Статья Бозе заинтересовала Эйнштейна, и он сопроводил ее публикацию своим примечанием, помещенным в конце статьи: «Вывод формулы Планка, предложенный Бозе, является, по моему мнению, большим достижением. Использованный им метод дает также квантовую теорию идеального газа, которую я изложу в другом месте».

    Эренфест рассказывал своим друзьям, что, начав читать статью Бозе, он отнесся к ней весьма неодобрительно. Но, прочитав в конце примечание Эйнштейна, он сказал себе: «Пауль, ты чего-то не понял». Эйнштейн же выполнил свое обещание и опубликовал в 1924—1925 гг. ряд статей по квантовой теории идеального одноатомного газа. Вклад, внесенный Эйнштейном в развитие статистики Бозе, оказался столь существенным, что ныне эту статистику называют статистикой Бозе — Эйнштейна. Из этих статей видно, с каким трудом пробивали дорогу новые идеи. Эйнштейн указывал, что «Эренфест и другие коллеги порицают теорию излучения Бозе и мою теорию идеального газа», и отвечал на критику, уточняя и развивая новую теорию. Пря этом Эйнштейн, который еще в 1909 г. рассматривал интерференционные флюктуации светового поля, вводит представление о таких флюктуациях и в теорию газа, считая, что «здесь речь идет не только о простой аналогии».

    «Каким образом материальной частице или системе материальных частиц можно сопоставить (скалярное) волновое поле, — пишет Эйнштейн, — показал в своей работе Л. де Бройль, заслуживающей всякого внимания». При этом Эйнштейн ссылается на докторскую диссертацию де Бройля.

    Эйнштейн был первым из крупных физиков, который поддержал идеи де Бройля и широко использовал их в своих исследованиях по квантовой статистике идеального одноатомного газа.

    По-иному отнеслись к теории де Бройля Бор и его сотрудники по «копенгагенской школе». Бор, Гейзенберг, Паули искали выхода на путях построения математических схем, лишенных наглядности, но зато точно описывающих наблюдаемые факты. Такая математическая схема найдена была в 1925 г. Гейзенбергом. При этом Гейзенберг, как он отмечал в аннотации к статье «О квантовотеоретическом истолковании кинематических и механических соотношений», основывался «исключительно на соотношениях между принципиально наблюдаемыми величинами». В статье, представленной в редакцию «Zeitschrift fur Physik» 29 июня 1925 г., Гейзенберг предлагал «отказаться от всякой надежды на наблюдение до сих пор не наблюдаемых величин (таких, как положения, период обращения электрона)» и пытался «построить квантовотеоретическую механику, более или менее аналогичную классической механике, в которой встречались бы только соотношения между наблюдаемыми величинами».

    Нельзя не отметить, что этот призыв Гейзенберга отказаться от «до сих пор не наблюдаемых величин» напоминает призыв Маха и Оствальда «отказаться от не наблюдаемых» атомов и электронов. Гейзенберг еще не сознавал, что речь идет не об отказе от понятия «не наблюдаемые» положения и скорости электрона, а об уточнении самого понятия «наблюдение» в применении к микромиру. Гейзенберг не знал также, что предуюженная им в статье математическая схема описания квантово-теоретических величин есть матричная алгебра. На это указал учитель Гейзенберга М. Борн, который вместе с П. Иорданом 27 сентября 1925 г. представил «Zeitschrift fur Physik» статью о матричной теории гармонического осциллятора.

    В октябре того же года В. Паули разработал по новой теории проблему атома водорода. 26 ноября 1925 г. Борн и Иордан представили в «Zeitschrift fur Physik» «общую математическую теорию квантовой механики». В том же, 1925 г. П.Дирак выступил со своей схемой новой механики, развив особую символическую алгебру состояний и наблюдаемых величин. При этом существенно, что Дирак, ознакомившись со статьей Гейзенберга еще до ее публикации (Гейзенберг прислал ему препринт), обратил внимание не на методологическую установку Гейзенберга, а на нарушение гтинципа коммутативности для произведения величин, входящих в описание атомной системы. «Это в самом деле было более важно,— вспоминал позднее Дирак,— чем мысль Гейзенберга о построении теории на основе величин, тесно связанных с результатами экспериментов. Поэтому я,— продолжал Дирак, — сосредоточил свое внимание на мысли о некоммутативности, стремясь понять, как следует изменить обычную динамику, которой до сего времени люди пользовались, чтобы включить эту идею в теорию... Гамильтонова форма динамики оказалась как раз наиболее подходящей формой для включения некоммутативности, и не столь уж трудной задачей было найти способ сочетать эти мысли».

    Открытие спина

    В 1925 г. в физику было введено новое фундаментальное понятие спина. Это понятие было введено Уленбеком и Гаудсмитом, работавшими летом 1925 г. у Эренфеста в Лейдене. К этому времени В. Паули опубликовал свою работу, содержащую формулировку принципа запрета, носящего его имя. Паули показал, что квантовое состояние электрона характеризуется четырьмя (а не тремя) кващрвыми числами и что в этом состоянии может быть только один электрон. Статья Паули, содержащая формулировку его принципа, была опубликована в «Zeitschrift fur Physik» весной 1925 г. Еще ранее, в декабрьской книжке журнала «Die Naturwissenschaften» Паули указал, что для характерна тики состояния электрона необходимо четыре квантовых числа: главное квантовое число n, азимутальное квантовое число l и два магнитных числа m1 и m2. Гаудсмит рассказал Уленбеку об этой работе Паули. Узнав это, Уленбек высказал такую мысль, что электрон обладает еще одной степенью свободы, которая соответствует вращению электрона (спину).

    «После его замечания о спине,— писал Гаудсмит, — мы сразу увидели, что полностью выясняется, почему ms всегда равно +1/2 или —1/2. Далее мы увидели, что все случаи расщепления Зеемана могут быть объяснены, если приписать электрону магнитный момент, равный одному целому магнетону Бора. Кроме того, стало ясно, что спин находится в полном соответствии с нашим новым толкованием спектра водорода».

    Эренфест немедленно отправил статью Уленбека и Гаудсмита в «Die Naturwissenschaften». Она появилась в 13-м номере журнала за 1925 г. Улен-бек после консультации с Лоренцем выяснил, что скорость вращения электрона на экваторе для требуемого гипотезой момента должна быть больше скорости света, и потребовал возвращения статьи, но было уже поздно.

    Паули очень неодобрительно встретил статью Уленбека и Гаудсмита. Еще ранее он отнесся отрицательно к аналогичной идее, высказанной Кронигом.

    Бор и Гейзенберг, наоборот, проявили большой интерес к новой гипотезе, а после того как Томас вычислил на основе гипотезы спина значение дублетного расщепления, Паули снял свои возражения.

    Таким образом, 1925 г. оказался годом рождения квантовой механики Гейзенберга и Дирака, годом рождения новой квантовой статистики Бозе — Эйнштейна, годом рождения принципа Паули и гипотезы спина.

    Вольфганг Паули, один из активных деятелей современной физики, родился в Швейцарии 25 апреля 1900 г.

    Он окончил Мюнхенский университет и, еще будучи студентом, написал статью-монографию «Теория относительности», опубликованную в Математической энциклопедии в 1921 г.

    Рис. 77. Н. Бор и В. Паули

    Успех публикации побудил издать ее отдельной книгой, вышедшей с предисловием А. Зоммерфельда в том же, 1921 г. Русский перевод ее вышел в 1947 г.

    По окончании университета Паули работал в Геттингене (1921—1922), Копенгагене (1922—1923), Гамбурге и с 1927 г. в Цюрихе, в Высшем техническом училище (политехникуме). Открытие принципа Паули дало ключ к объяснению периодической системы химических элементов Д. И. Менделеева и вместе с открытием спина послужило основой новой формы квантовой статистики для частиц, обладающих полуцелым спином. Эта статистика была создана Э. ферми, сообщившим о ней в короткой заметке 6 февраля 1926 г. и в статье «О квантовании идеального газа», опубликованной 26 марта 1926 г. Статья Дирака была представлена Лондонскому Королевскому обществу 26 августа того же года. Таким образом, 1926 г. был годом создания статистики ферми — Дирака.

    Открытие принципа Паули было удостоено в 1945 г. Нобелевской премии.

    В 1931 г. Паули предложил гипотезу новой частицы, названной по предложению ферми «нейтрино».

    Умер Паули 16 декабря 1958 г.

    Механика Гейзенберга и Шредингера

    Возвратимся к истории создания квантовой механики. В матричной механике Гейзенберга — Борна — Иордана каноническим переменным q и р классической механики соответствовали матрицы q и p. Существенно, что произведение матриц не удовлетворяло закону переместительности, а выполнялось перестановочное соотношение:

    Как мы видели, Дирак обратил особое внимание на это соотношение, тогда как «копенгагенцы» поняли его значение лишь позже, после построения математической схемы квантового излучения.

    Оперируя бесконечными матрицами, Гейзенберг, Паули, Борн и Иордан решили ряд задач атомной механики. «Математика, — писал впоследствии Гейзенберг об этом начальном периоде квантовой механики, — неожиданно проявила себя «умнее» физики; и здесь мы опять встречаемся с тем случаем в теоретической физике, когда с помощью такой математики нападают на след новых открытий».

    «Позднее,— продолжал Гейзенберг, — Борну, Иордану и Дираку полностью удалось проникнуть во внутреннюю структуру подобного рода математики и успешно применить математическую схему к расчету атома». Гейзенберг особо подчеркивает роль Борна, Иордана, а также Дирака в разработке математической схемы квантовой механики. «В работах Борна и Иордана,— писал он, — матричная механика впервые стала законченной математической схемой».

    Вслед за этой математической теорией начала создаваться другая теория атомных процессов, исходящая из совершенно новых основ. В начале 1926 г. в журнале «Annalen der Physik» появились две статьи Шредингера на тему «Квантование как проблема собственных значений» (27 января и 23 февраля 1926г.). 18 марта того же года поступила статья «Об отношении механики Гейзенберга —Борна —Иордана к моей». Третье сообщение из цикла «Квантование как проблема собственных значений» поступило 10 мая 1926 г. четвертое, последнее сообщение того же цикла поступило 21 июня 1926 г В ноябре 1926 г. Шредингер собрал все работы, опубликованные в «Annalen der Physik», прибавил к ним небольшую заметку, опубликованную в «Die Naturwissenschaften», — «Непрерывный переход от микро- к макромеханике» и издал их отдельной книгой, вышедшей в 1927 г. под общим названием «Статьи по волновой механике».

    Шредингер исходил из идей де Бройля и оптико-механической аналогии Гамильтона. По этой аналогии геометрической оптике соответствуют уравнения классической механики, определяющие траекторию частицы, так же как законы геометрической оптики определяют форму лучей света. Геометрическая оптика применима к малым длинам волн; когда же длиной волны нельзя пренебречь, то вступают в силу законы волновой оптики, описываемые волновым уравнением.

    Для макрообъектов длина волны де Бройля ? = h/mv очень мала, и их движение описывается законами классической механики. Но для микрообъектов длиной волны нельзя пренебречь, и закон их движения должен описываться уравнением, аналогичным волновому уравнению в оптике.

    Форму этого уравнения Шредингер нашел в следующем виде:

    Математическая теория показывает, что решения этого уравнения, удовлетворяющие граничным условиям и требующие применения к ним операций, предписанных формой уравнения, получаются только при определенных значениях параметра Е, называемых х а рактеристическими или собственными значениями. Соответствующие этим значениям решения называются характеристическими или собственными функциями. Это означает фактически, что уравнения заключают в себе квантовые условия. Таким образом, таинственная проблема квантования свелась к хорошо известной в математике проблеме собственных значений.

    Осталось интерпретировать смысл волновой функции. Шредингер, воодушевленный тем, что ему, как он думал, удалось избавиться от квантовых скачков, пытался дать наглядную интерпретацию функции V. Наложением волновых функций образуется «волновой пакет», который, по его мнению, и представляет движущуюся микрочастицу. Напомним, что, по де Бройлю, скорость группы волн равна скорости частицы. Однако уже для двух частиц такая наглядная интерпретация невозможна. Здесь «волны», описываемые функциями V, являются «волнами» не в обычном, трехмерном, а в абстрактном, конфигу-ральном пространстве. Кроме того, «волновой пакет» с течением времени расплывается. Поэтому Борн в 1926 г. предложил другую, вероятностную интерпретацию функции V. Квадрат модуля V определяет плотность вероятности нахождения частицы в данной точке.

    Следует отметить, что Шредингер до самого конца своей жизни думал, что единственной реальностью в мире является волна (отсюда и введенный им термин «волновая механика») и никаких квантовых скачков не существует.

    Бор, Гейзенберг, Борн и другие физики копенгагенской школы, названной так по месту жительства основателя этой школы Нильса Бора, во главу физической интерпретации ставили частицу, обладающую целостностью и устойчивостью. Но поведение этой частицы существенно отличается от поведения частицы в классической механике.

    23 марта 1927 г. в редакцию журнала «Zeitschrift fur Physik» поступила статья В. Гейзенберга «О наглядном содержании квантовотеоретической кинематики и механики». Здесь содержалась формулировка принципа, являющегося ключевым в новом понимании частиц, — принципа неопределенности.

    Осенью того же года во время празднования юбилея Вольты в Италии, в г. Комо, Н. Бор прочитал лекцию «Квантовый постулат и новейшее развитие атомной теории». Бор сразу оценил значение работы Гейзенберга и сформулировал принцип дополнительности как основной принцип нового понимания природы.

    Вскоре после конгресса в Комо в октябре 1927 г. в Брюсселе происходил 5-й Сольвеевский конгресс по теме «Электроны и фотоны». Здесь новая точка зрения была атакована Эйнштейном, который, как писал позднее Бор, «выразил глубокую тревогу по поводу того, что в квантовой механике так далеко отошли от причинного описания в пространстве и времени». Тот факт, что два лидера современной физики — Бор и Эйнштейн — оказались в разных лагерях, свидетельствует о глубине происходящего переворота в понимании природы.

    Новое понимание, представленное Бором, Гейзенбергом и другими представителями копенгагенской школы, настолько далеко отошло от «явного для нас», что Бор даже высказал необходимость для современной теории быть «достаточно безумной», чтобы быть правильной. Единственно, что принималось всеми физиками без споров, — это математическое описание.

    Появление новых идей вызвало острую дискуссию в физике и философии. Единой точки зрения еще не достигнуто до сих пор. Однако принцип неопределенности и законы квантовой механики принимаются всеми физиками как основные законы природы. Расхождения начинаются в философской интерпретации этих законов.

    С точки зрения диалектического материализма новый путь в познании природы означает все более глубокое проникновение в объективную диалектику мира.

    В заключение приведем краткие биографические справки о двух физиках, внесших существенный вклад в создание новой механики.

    Эрвин Шредингер родился 12 августа 1887 г. Он окончил университет в Вене и с 1914 по 1920 г. был преподавателем этого университета. С 1920 по 1927 г. он работал последовательно в Штутгарте, Цюрихе, Бреслау (Вроцлав), с 1927 г.— в Берлине. После прихода гитлеровцев к власти он уехал в Англию, где работал в 1933—1935 гг. в Оксфорде. С 1936 по 1938 г. он жил в Австрии и после захвата ее гитлеровцами уехал в Бельгию. Оккупация Бельгии заставила его уехать в Ирландию, где он с 1940 по 1956 г. был профессором Дублинского университета. С 1956 г. Шредингер — профессор университета в Вене и член Австрийской Академии наук. Умер Шредингер 4 января 1960 г.

    В 1933 г. Шредингер получил Нобелевскую премию одновременно с другим создателем квантовой механики — Полем Дираком, в 1934 г. был избран иностранным членом Академии наук СССР.

    Макс Борн родился 11 декабря 1882 г. С 1909 г. он приватдоцент Гет-тингенского университета, с 1919 г.— профессор университета во Франкфурте-на-Майне, с 1921 г. — профессор Гет-тингенского университета, который стал одним из ведущих центров теоретической физики. Сюда приезжали физики из Америки и Европы.

    Сам Борн с 1913 г. развивал динамическую теорию твердого тела, а с 1925 г. его научные интересы сосредоточились на новой, квантовой механике. В 1934 г. он был избран иностранным членом Академии наук СССР. К этому времени он эмигрировал из фашистской Германии в Англию, где занял кафедру теоретической физики сначала в Кембридже, а с 1936 г. в Эдинбурге. В 1954 г. Борн получил Нобелевскую премию. Нобелевский доклад «Статистическая интерпретация квантовой механики» был опубликован в книге «физика в жизни моего поколения», вышедшей в Англии в 1956 г. Умер Борн 5 января 1970 г.

    Глава восьмая. Развитие ядерной физики в 1918-1938 гг.

    Начало атомной энергетики. Открытие изотопов

    В послевоенные годы возобновились прерванные войной исследования по ядерной физике. В Кембридже продолжил начатые еще до войны исследования над положительными лучами Д. Д. Томсон.

    Д. Д. Томсон работал с разрядной трубкой, в которой катод имел форму металлического цилиндра с просверленным вдоль оси каналом. В закатодную часть трубки пропускали узкий пучок положительных лучей, падающий на экран или фотопластинку. Пучок проходил между полюсами электромагнита, снабженного железными пластинками, изолированными от полюсов и служащими обкладками конденсатора. При включении тока в обмотку и подаче электрического напряжения на пластины каналовые частицы подвергались действию параллельных электрического и магнитного полей. Все частицы, обладающие одинаковым удельным зарядом —, но разными скоростями, оставляли на пластинке след в виде отрезка параболы (метод парабол). По виду этих парабол можно было судить об удельном заряде частицы и таким образом определить ее природу. Томсон назвал свой метод новым методом химического анализа.

    В отличие от катодных лучей каналовые лучи оказались положительно заряженными ионами газа, находящегося в разрядной трубке. Анализируя различные газы, Томсон получил интересный результат для неона. В этом случае наблюдались две параболы различной интенсивности. Более резкая линия соответствовала массе 20, более слабая — массе 22. Сотрудник Томсона Френсис Астон попытался отделить этот новый газ 22 от неона (его атомный вес 20,2), попытки оказались безуспешными. После войны, в 1919 г. Астон вновь вернулся к этим попыткам и построил первый масс-спектрограф. В первых же экспериментах он получил изотопы неона 20 и 22, хлора 35, 36, 37, 38, криптона, ртути и других элементов.

    Масс-спектрограф другой конструкции был построен в США Демпстером (1886—1950) в 1918 г. Демпстер работал в Чикаго в райерсоновской лаборатории, в которой работал Роберт Эндрюс Милликен, известный своими классическими опытами по определению заряда электрона и фотоэффекту. За эти исследования Милликен в 1923 г. получил Нобелевскую премию. Метод «миллике-новского конденсатора» с успехом использовал А. ф. Иоффе в своих опытах по элементарному электрическому эффекту.

    Следует отметить, что вывод Милли-кена о существовании электрического заряда, дробные части которого не наблюдаются, оспаривался группой венских физиков, утверждавших, что ими обнаружены «субэлектроны», имеющие заряд, меньший элементарного. Дискуссия о субэлектронах длилась с первых опытов Милликена в 1911 по 1925 г., но победу одержал Милликен. Правда, найденное им значение элементарного заряда е = (4,774 ± 0,005) • 10 -10 СГСЭ впоследствии было подвержено критике из-за неточного определения вязкости воздуха и сегодня принимают значение е = 4,803242 •10 -10 СГСЭ2, но самый эффект существования «атома электричества» считается твердо установленным.

    Гипотеза «кварков»—частиц, обладающих дробным зарядом, — экспериментально до сих пор не подтвердилась. Правда, в последнее время, благодаря достижениям в физике элементарных частиц, теоретическим и экспериментальным, наметились определенные сдвиги в решении проблемы «кварков». Кварковая модель позволяет ученым объяснить «периодичность» в мире адронов, короткоживущих нестабильных частиц, участвующих в сильных взаимодействиях. Многие косвенные экспериментальные факты говорят в пользу «кварков». Но пока выделить их в свободном состоянии не удается.

    Некоторые теоретики считают, что этого сделать невозможно, так как силы, действующие между «кварками», растут по мере удаления их друг от друга.

    Для окончательного решения вопроса о возможности выделить «кварки» в свободном состоянии, так же как и для решения многих других тайн физики элементарных частиц, создаются еще более мощные ускорители, более совершенные ЭВМ. Специалисты возлагают большие надежды на эти совершенные приборы и ожидают скорой разгадки тайн «кварков».

    Расщепление ядра

    Открытие изотопов стабильных элементов, уточнение измерений элементарного заряда были первыми достижениями послевоенной физики (1917-1918). В 1919 г. было сделано новое сенсационное открытие — искусственное расщепление ядра. Открытие это было сделано Резерфордом в Кембридже в Кавендишской лаборатории, которую он возглавил в том же, 1919 г.

    Резерфорд изучал столкновение а -частиц с легкими атомами. Столкновения а-частицы с ядрами таких атомов должны их ускорять. Так, при ударе а-частицы о ядро водорода оно увеличивает свою скорость в 1,6 раза, и ядро отбирает у а-частицы 64% ее энергии. Такие ускоренные ядра легко обнаружить по сцинтилляциям, возникающим при ударе их об экран из сернистого цинка. Их действительно наблюдал Марсден в 1914 г.

    Резерфорд продолжил опыты Марсдена, но, как он отмечал сам, эти опыты «выполнялись в весьма нерегулярные промежутки времени, поскольку позволяли повседневные занятия и работа, связанная с войной...» «Опыты даже совершенно прекращались на долгое время». Лишь после окончания войны опыты ставились регулярно, и их результаты были опубликованы в 1919 г. в четырех статьях под общим названием «Столкновения а-частиц с легкими атомами».

    Прибор, применявшийся Резерфордом для изучения таких столкновений, представлял собой латунную камеру длиной 18 см, высотой 6 см и шириной 2 см. Источником а-частиц служил металлический диск, покрытый активным веществом. Диск помещался внутри камеры и мог устанавливаться на разных расстояниях от экрана из сернистого цинка, на котором наблюдались с помощью микроскопа сцинтилляции.

    Камера могла заполняться различными газами (см. рис. 78).

    Рис. 78. Масс-спектрограф Демпестера

    При впускании сухого кислорода или углекислого газа число сцинтилляций уменьшалось вследствие поглощения а-частиц слоем газа. «Неожиданный эффект, однако, — писал Резер-форд в четвертой статье, — был обнаружен, когда в аппарат был введен сухой воздух. Вместо уменьшения число сцинтилляций увеличилось, и для поглощения, соответствующего приблизительно слою воздуха в 19 см, число их было приблизительно в 2 раза больше, чем то, которое наблюдалось при вакууме. Из этого опыта было ясно, что а-частицы при прохождении через воздух дают начало сцинтилляциям, соответствующим большим длинам пробега, яркость которых для глаза представлялась приблизительно равной яркости Н-сцинтилляций». Так как в кислороде и углекислом газе такого эффекта не наблюдалось, то с большой вероятностью можно было утверждать, что этот эффект обязан своим происхождением азоту.

    Камеру заполняли чистым тщательно высушенным азотом. «В чистом азоте число сцинтилляций, соответствующих большому пробегу, было больше, чем в воздухе». Таким образом, «сцинтилляции при большом пробеге, наблюдаемые в воздухе, должны быть приписаны азоту».

    Необходимо было, однако, показать, что длиннопробежные а-частицы, вызывающие сцинтилляции, «являются результатами столкновений а-частиц с атомами азота».

    Схема первой установки Милликена

    Путем многочисленных опытов Ре-зерфорд показал, что это действительно так и что в результате таких столкновений получаются частицы с максимальным пробегом 28 см, таким же, как у Н-атомов. «Из полученных до сих пор результатов, — писал Резерфорд, — трудно избежать заключения, что атомы с большим пробегом, возникающие при столкновении а-частиц с азотом, являются не атомами азота, но, по всей вероятности, атомами водорода или атомами с массой 2. Если это так, то мы должны заключить, что атом азота распадается вследствие громадных сил, развивающихся при столкновении с быстрой а-частицей, и что освобождающийся водородный атом образует составную часть атома».

    Так было открыто явление расщепления ядер азота при ударах быстрых а-частиц и впервые высказана мысль, что ядра водорода представляют собой составную часть ядер атомов. Впоследствии Резерфорд предложил термин «протон» для этой составной части ядра. Резерфорд заканчивал свою статью словами: «Результаты в целом указывают на то, что если а-частицы или подобные им быстро движущиеся частицы с значительно большей энергией могли бы применяться для опытов, то можно было бы обнаружить разрушение ядерных структур многих легких атомов».

    3 июня 1920 г. Резерфорд прочитал так называемую Бакерианскую лекцию под названием «Нуклеарное строение атома». Сообщая в этой лекции о результатах своих исследований по столкновению а-частиц с ядрами атомов и о расщеплении ядер азота, Резерфорд, обсуждая природу продуктов расщепления, сделал предположение о возможности существования ядер с массой 3 и 2 и ядер с массой ядра водорода, но с нулевым зарядом. При этом он исходил из гипотезы, высказанной впервые Марией Склодовской-Кюри, что в состав атомного ядра входят электроны.

    Резерфорд пишет, что «ему кажется весьма правдоподобным, что один электрон может связать два Н-ядра и, возможно, даже и одно Н-ядро. Если справедливо первое предположение, то оно указывает на возможность существования атома с массой около 2 и с одним зарядом. Такое вещество нужно рассматривать как изотоп водорода. Второе предположение заключает в себе мысль о возможности существования атома с массой 1 и нуклеарным зарядом, равным нулю. Подобные образования представляются вполне возможными... Подобный атом обладал бы совершенно фантастическими свойствами. Его внешнее поле практически должно равняться нулю, за исключением областей, весьма близко прилегающих к ядру; вследствие этого он должен бы обладать способностью свободно проходить через материю. Существование подобного атома, вероятно, трудно было бы обнаружить спектроскопом, и его нельзя было бы удержать в закрытом сосуде. С другой стороны, он должен был легко входить в структуру атома и либо соединяться с его ядром, либо разгоняться интенсивным полем последнего, давая начало заряженному Н-атому или электрону или тому и другому».

    Так была высказана гипотеза о существовании нейтрона и тяжелого изотопа водорода. Она была высказана на основе предложенной М. Склодовской-Кюри гипотезы, что ядра атомов состоят из ядер водорода (протонов) и электронов.

    Это представление немедленно объяснило характеристические ядерные числа А и Z.

    Однако такие характеристики ядра, как массовое число А и заряд Z, оказались недостаточными. Еще в 1924 г. до открытия спина В. Паули предположил, что ядро обладает магнитным моментом, влияющим на движение орбитальных электронов и тем самым создающим сверхтонкую структуру спектральных линий. Объяснение тонкой структуры спектров наличием обусловленных спином магнитных моментов ядер привело к разделению ядер на два типа. Ядра четного типа, обладающие целым спином, подчиняются статистике Бозе, ядра нечетного типа, обладающие полуцелым спином, подчиняются статистике ферми — Дирака. Поэтому по протонно-электронной теории ядра, состоящие из четного числа электронов и протонов, должны подчиняться статистике Бозе, из нечетного — статистике ферми — Дирака.

    В 1930 г. выяснилось, что ядро азота подчиняется статистике Бозе, хотя оно согласно протонно-электронной теории строения ядра состоит из 21 частицы (14 протонов, 7 электронов). Этот факт получил в науке название азотной катастрофы.

    В том же году, когда обнаружилась азотная катастрофа, были опубликованы результаты опытов Л. Мейтнер и Ортмана, подтвердивших результаты опытов Эллиса и Вустера 1927 г. Эти опыты показали, что полная энергия (3-лучей, измеряемая толстостенным микрокалориметром, меньше разности энергий исходного и конечного ядер, т. е. часть энергии, испускаемая ядром при р-распаде, исчезает. Получается вопиющее противоречие с законом сохранения энергии.

    Решение проблемы азотной катастрофы и загадки р-спектров было дано на основе представления о существовании в природе нейтральных частиц — тяжелой, названной нейтроном, и легкой — названной по предложению Ферми нейтрино, т. е. маленьким нейтроном.

    История открытия нейтрона

    История открытия нейтрона начинается с безуспешных попыток Чедвика обнаружить нейтроны при электрических разрядах в водороде (на основе вышеупомянутой гипотезы Резерфор-да). Резерфорд, как мы знаем, осуществил первую искусственную ядерную реакцию, бомбардируя ядра атома а-частицами. Этим методом удалось также осуществить искусственные реакции с ядрами бора, фтора, натрия, алюминия и фосфора. При этом вылетали длиннопробежные протоны. В дальнейшем удалось расщепить ядра неона, магния, кремния, серы, хлора, аргона и калия. Эти реакции были подтверждены опытами венских физиков Кирша и Петтерсона (1924), которые утверждали также, что им удалось расщепить ядра лития, бериллия и углерода, чего не удалось сделать Резерфорду и его сотрудникам.

    Разгорелась дискуссия, в которой Резерфорд оспаривал расщепление указанных трех ядер. Недавно О. Фриш высказал предположение, что результаты венцев объясняются участием в наблюдениях студентов, стремившихся «угодить» руководителям и видевших вспышки там, где их не было.

    В 1930 г. Вальтер Боте (1891-1957) и Г. Беккер бомбардировали бериллий а-частицами полония. При этом они обнаружили, что бериллий, а также бор испускают сильно проникающее излучение, которое они отождествили с жестким у-излучением.

    И января 1932 г. Ирен и Фредерик Жолио-Кюри доложили на заседании Парижской Академии наук результаты исследований излучения, открытого Боте и Беккером. Они показали, что это излучение «способно освобождать в водородсодержащих веществах протоны, сообщая им большую скорость».

    Эти протоны были ими сфотографированы в камере Вильсона.

    В следующем сообщении, сделанном 7 марта 1932 г., Ирен и Фредерик Жолио-Кюри показали фотографии следов протонов в камере Вильсона, выбиваемых из парафина бериллиевым излучением.

    Интерпретируя свои результаты, они писали: «Предположения об упругих столкновениях фотона с ядром приводят к затруднениям, состоящим, с одной стороны, в том, что для этого требуется квант со значительной энергией, и, с другой стороны, в том, что этот процесс происходит слишком часто. Чедвик предлагает допустить, что излучение, возбуждаемое в бериллии, состоит из нейтронов — частиц с единичной массой и нулевым зарядом».

    Результаты Жолио-Кюри поставили под угрозу закон сохранения энергии. В самом деле, если попытаться интерпретировать опыты Жолио-Кюри, исходя из наличия в природе только известных частиц: протонов, электронов, фотонов, то объяснение появления длиннопробежных протонов требует рождения в бериллии фотонов с энергией в 50 МэВ. При этом энергия фотона оказывается зависящей от вида ядра отдачи, используемого для определения энергии фотона.

    Эту коллизию разрешил Чедвик. Он помещал бериллиевый источник перед ионизационной камерой, в которую попадали протоны, выбитые из парафиновой пластинки. Располагая между парафиновой пластинкой и камерой поглощающие экраны из алюминия, Чедвик нашел, что бериллиевое излучение выбивает из парафина протоны с энергией до 5,7 МэВ. Для сообщения протонам такой энергии фотон должен сам обладать энергией в 55 МэВ. Но энергия ядер отдачи азота, наблюдаемая при таком же бериллиевом излучении, оказывается равной 1,2 МэВ. Чтобы передать азоту такую энергию, фотон излучения должен иметь энергию по меньшей мере 90 МэВ. Закон сохранения энергии несовместим с фотонной интерпретацией бериллиевого излучения.

    Чедвик показал, что все трудности снимаются, если предположить, что бе-риллиевое излучение состоит из частиц с массой, равной примерно массе протона, и нулевым зарядом. Эти частицы он назвал нейтронами. Чедвик опубликовал статью о своих результатах в «Трудах Королевского общества» за 1932 г. Однако предварительная заметка о нейтроне была опубликована в номере «Nature» от 27 февраля 1932 г. В дальнейшем И. и ф. Жолио-Кюри в ряде работ 1932-1933 гг. подтвердили существование нейтронов и их свойство выбивать протоны из легких ядер. Они установили также испускание нейтронов ядрами аргона, натрия и алюминия при облучении а-лучами.

    История открытия нейтрона

    История открытия нейтрона начинается с безуспешных попыток Чедвика обнаружить нейтроны при электрических разрядах в водороде (на основе вышеупомянутой гипотезы Резерфор-да). Резерфорд, как мы знаем, осуществил первую искусственную ядерную реакцию, бомбардируя ядра атома а-частицами. Этим методом удалось также осуществить искусственные реакции с ядрами бора, фтора, натрия, алюминия и фосфора. При этом вылетали длиннопробежные протоны. В дальнейшем удалось расщепить ядра неона, магния, кремния, серы, хлора, аргона и калия. Эти реакции были подтверждены опытами венских физиков Кирша и Петтерсона (1924), которые утверждали также, что им удалось расщепить ядра лития, бериллия и углерода, чего не удалось сделать Резерфорду и его сотрудникам.

    Разгорелась дискуссия, в которой Резерфорд оспаривал расщепление указанных трех ядер. Недавно О. Фриш высказал предположение, что результаты венцев объясняются участием в наблюдениях студентов, стремившихся «угодить» руководителям и видевших вспышки там, где их не было.

    В 1930 г. Вальтер Боте (1891-1957) и Г. Беккер бомбардировали бериллий а-частицами полония. При этом они обнаружили, что бериллий, а также бор испускают сильно проникающее излучение, которое они отождествили с жестким у-излучением.

    И января 1932 г. Ирен и Фредерик Жолио-Кюри доложили на заседании Парижской Академии наук результаты исследований излучения, открытого Боте и Беккером. Они показали, что это излучение «способно освобождать в водородсодержащих веществах протоны, сообщая им большую скорость».

    Эти протоны были ими сфотографированы в камере Вильсона.

    В следующем сообщении, сделанном 7 марта 1932 г., Ирен и Фредерик Жолио-Кюри показали фотографии следов протонов в камере Вильсона, выбиваемых из парафина бериллиевым излучением.

    Интерпретируя свои результаты, они писали: «Предположения об упругих столкновениях фотона с ядром приводят к затруднениям, состоящим, с одной стороны, в том, что для этого требуется квант со значительной энергией, и, с другой стороны, в том, что этот процесс происходит слишком часто. Чедвик предлагает допустить, что излучение, возбуждаемое в бериллии, состоит из нейтронов — частиц с единичной массой и нулевым зарядом».

    Результаты Жолио-Кюри поставили под угрозу закон сохранения энергии. В самом деле, если попытаться интерпретировать опыты Жолио-Кюри, исходя из наличия в природе только известных частиц: протонов, электронов, фотонов, то объяснение появления длиннопробежных протонов требует рождения в бериллии фотонов с энергией в 50 МэВ. При этом энергия фотона оказывается зависящей от вида ядра отдачи, используемого для определения энергии фотона.

    Эту коллизию разрешил Чедвик. Он помещал бериллиевый источник перед ионизационной камерой, в которую попадали протоны, выбитые из парафиновой пластинки. Располагая между парафиновой пластинкой и камерой поглощающие экраны из алюминия, Чедвик нашел, что бериллиевое излучение выбивает из парафина протоны с энергией до 5,7 МэВ. Для сообщения протонам такой энергии фотон должен сам обладать энергией в 55 МэВ. Но энергия ядер отдачи азота, наблюдаемая при таком же бериллиевом излучении, оказывается равной 1,2 МэВ. Чтобы передать азоту такую энергию, фотон излучения должен иметь энергию по меньшей мере 90 МэВ. Закон сохранения энергии несовместим с фотонной интерпретацией бериллиевого излучения.

    Чедвик показал, что все трудности снимаются, если предположить, что бе-риллиевое излучение состоит из частиц с массой, равной примерно массе протона, и нулевым зарядом. Эти частицы он назвал нейтронами. Чедвик опубликовал статью о своих результатах в «Трудах Королевского общества» за 1932 г. Однако предварительная заметка о нейтроне была опубликована в номере «Nature» от 27 февраля 1932 г. В дальнейшем И. и ф. Жолио-Кюри в ряде работ 1932-1933 гг. подтвердили существование нейтронов и их свойство выбивать протоны из легких ядер. Они установили также испускание нейтронов ядрами аргона, натрия и алюминия при облучении а-лучами.

    Протонно-нейтронная модель ядра

    28 мая 1932 г. советский физик Д. Д. Иваненко опубликовал в «Nature» заметку, в которой высказал предположение, что нейтрон является наряду с протоном структурным элементом ядра. Он указал, что такая гипотеза решает проблему азотной катастрофы. В самом деле, по этой гипотезе ядро азота состоит из 14 частиц —7 протонов и 7 нейтронов и, таким образом, подчиняется статистике Бозе, как это было показано в 1930 г. Разетти из исследований рамановского спектра. В июне 1932 г. с большой статьей о протонно-нейтронной модели ядра выступил В. Гейзенберг.

    Однако протонно-нейтронная модель ядра была встречена большинством физиков скептически. Она, как казалось, противоречила испусканию электронов ядрами в р-распаде. Гейзенберг вспоминал в 1968 г., что за предположение об отсутствии электронов в ядре его «довольно сильно критиковали самые крупные физики». Ион справедливо заключал, что это показывает, «как на самом деле трудно отказаться от вещей, которые кажутся настолько очевидными, что принимаются априорно». В соответствии с терминологией Аристотеля очень трудно отказаться от «явного для нас» для «явного по природе».

    Идея о строении ядер только из тяжелых частиц с трудом принималась физиками. Мысль о том, что электронов внутри ядра нет, была высказана Дираком еще в 1930 г., но была законсервирована. Открытие нейтрона многими рассматривалось как несущественное — просто открыто сложное образование протона и электрона, так думал еще Резерфорд. Простую картину мира, в которой фундаментальными «кирпичиками мироздания» были протон и электрон, никто не хотел усложнять введением новых частиц.

    В сентябре 1933 г. в Ленинграде состоялась конференция по атомному ядру, в которой принимали участие и иностранные ученые, ф. Жолио (он тогда еще не носил двойной фамилии) сделал два доклада: «Нейтроны» и «Возникновение позитронов при материализации фотонов и превращение ядер». П. Дирак сделал доклад о теории позитрона; ф. Перрен — о моделях ядра. С докладом о модели ядра выступил и Д. Д. Иваненко. Он энергично защищал протонно-нейтронную модель, сформулировав основной тезис: в ядре имеются только тяжелые частицы. «Появление электронов, позитронов и пр., — говорил Иваненко, — следует трактовать как своего рода рождение частиц, по аналогии с излучением светового кванта, также не имевшего индивидуального существования до испускания из атома». Д.Д.Иваненко отверг идеи 1) сложной структуре нейтрона и протона. По его мнению, обе частицы «должны, по-видимому, обладать одинаковой, степенью элементарности» т. е. и нейтрон и протон, обе элементарные частицы, могут переходить друг в друга, испуская электрон или позитрон. В дальнейшем протон и нейтрон стали рассматриваться как два состояния одной частицы — нуклона, и идея Иваненко стала общепринятой.

    Космические лучи. Открытие позитрона

    В 1932 г. в составе космических лучей была открыта еще одна элементарная частица — позитрон.

    Еще в 1899 г. М. Склодовская-Кюри, пытаясь объяснить происхождение радиоактивности, выдвинула гипотезу о существовании излучения, заполняющего все мировое пространство. Утверждение, что «мы погружены в непрерывно действующее излучение, избежать которого мы не можем», высказал в 1906 г. Гейтель, описывая свои и Эльстера опыты по измерению ионизации в глубоких шахтах. Гейтель ссылался на утверждение Кука, высказанное в 1903 г., что «над Землей существует сильное проникающее излучение». Однако со всей определенностью существование космического излучения было доказано австрийским физиком Виктором Гессом, поднявшимся с электроскопом на воздушном шаре 7 августа 1912 г. О результатах своего эксперимента он сообщил в статье, опубликованной в ноябрьском номере «Physikalische Zeitschrift». Здесь он писал: «Результаты моих наблюдений лучше всего объясняются предположением, что из мирового пространства на границу атмосферы падает излучение большой проникающей способности». Так были открыты космические лучи. В 1936 г. Гессу за это открытие была присуждена Нобелевская премия по физике.

    Последующими работами ученых, в особенности американского физика Милладсена и советского физика Л. В. Мысовского (1888-1939), было подтверждено предположение Гесса и изучены свойства космического излучения.

    Милликен и Мысовский, проведя измерения под водой, показали огромную проникающую способность этих лучей. Милликен считал космическое излучение чрезвычайно жесткими у-лучами, и эта точка зрения была общепринятой до 30-х годов XX в.

    В 1929 г. советский физик Д. В. Скобельцын применил для исследования космических лучей камеру Вильсона, помещенную в магнитное поле. Метод Скобельцына сразу привел к важному открытию. Скобельцын неопровержимо доказал, что в составе космического излучения имеются заряженные частицы—электроны. Он обнаружил слабо изогнутые магнитным полем следы таких электронов. На его фотографиях были и следы, слабо изогнутые в противоположную электронам сторону, однако с уверенностью сказать что-либо определенное о частицах, оставивших эти следы, Скобельцын не мог.

    В 1932 г. американский физик К. Андерсон ввел усовершенствование в метод Скобельцына: он применил магнитное поле, в десять раз сильнее поля, применявшегося Скобельцыным. При этом он сразу обнаружил изогнутые следы, принадлежащие отрицательно и положительно заряженным частицам: электронам и протонам, как он думал вначале.

    Чтобы с уверенностью судить о направлении движения частицы, Андерсон разделил камеру на две части свинцовой пластинкой. Частица, пройдя через свинцовую пластинку, замедляется, и ее путь искривляется магнитным полем сильнее. Андерсон получил фотографию частицы, изогнутой в противоположную электронам сторону. Радиус кривизны и характер трека показали, что эта частица обладает массой электрона и положительным зарядом, равным заряду электрона. Эту частицу Андерсон назвал позитрон.

    Открытие позитрона заставило вспомнить о теории Дирака. В 1928 г. Дирак получил релятивистское уравнение для электрона. Это уравнение приводило к выводу о существовании спина у электрона и давало точное значение для тонкой структуры энергетических уровней водорода. Однако в теории Дирака была неприятная вещь, получившая название «плюс-минус трудность». В теории относительности существует для энергии соотношение:

    Обычно знак минус отбрасывается как не имеющий физического смысла. Область положительных и отрицательных значений энергии была разделена конечным промежутком +m0с2 — (—m0с2) = 2m0с2. Поскольку в классической теории энергия меняется непрерывно, отрицательные значения энергии отбрасываются. В квантовой теории скачок энергии от отрицательных к положительным значениям допустим. «В квантовой теории, — писал Дирак в 1930 г. в своей книге «Основы квантовой механики», — могут происходить и прерывные переходы, и если электрон первоначально находится в состоянии с положительной кинетической энергией, то он может перескочить в состояние с отрицательной кинетической энергией. Поэтому уже нельзя игнорировать существование состояний с отрицательной энергией, как можно было поступить в классической теории».

    В поисках выхода Дирак предложил странную идею. Он предположил, что все электроны Вселенной занимают уровни с отрицательной энергией, согласно принципу Паули, образуя ненаблюдаемый фон Наблюдаем^ только электроны с положительной энергией. «Электроны, - пишет Дирак, -распределены по всему миру с большой плотностью в каждой точке. Совершенная пустота есть та область, где все состояния с отрицательной энергией заняты». «Незаполненные состояния с отрицательной энергией представятся как нечто с положительной энергией, потому что для того, чтобы они исчезли, необходимо внести туда один электрон с отрицательной энергией. Мы предполагаем, что эти незанятые состояния с отрицательной энергией суть протоны».

    Теория Дирака была встречена скептически. Вызвал недоверие гипотетический фон электронов, кроме того, теория Дирака, по его словам, «была очень симметрична по отношению к электронам и протонам»-

    Но протон отличается от электрона не только знаком заряда, но и массой Открытие позитрона, частицы действительно симметричной электрону, заставило по-новому оценить теорию Дирака, которая по существу предсказывала существование позитрона и других античастиц. На Ленинградской конференции 1933 г. Дирак следующим образом излагал сущность теории позитрона: «Допустим, что в том мире, который мы знаем, почти все электронные состояния с отрицательной энергией заняты электронами. Эта совокупность электронов, сидящих на отрицательных уровнях энергии, вследствие своей однородности не может восприниматься нашими чувствами и измерительными приборами, и только лишь не занятые электронами уровни, являясь чем-то исключительным, каким-то нарушением однородности, могут быть замечены нами совершенно таким же образом, как мы замечаем занятые состояния электронов с положительными Энергиями. Незанятые состояния с отрицательной энергией, т.е. «дырки» в распределении электронов с отрицав тельной энергией, будут восприниматься нами как частицы с положительной энергией; ведь отсутствие отрицательной кинетической энергии равносильно присутствию положительной кинетической энергии, так как минус на минус дает плюс... Представляется разумным отождествить такую «дырку» с позитроном, т. е. утверждать, что позитрон есть «дырка» в распределении электронов с отрицательной энергией».

    Естественно, что на незанятый уровень отрицательной энергии может переходить электрон с положительной энергией, излучая избыточную энергию 2m0с2 в виде квантов у-лучей.

    «Согласно теории Дирака, — писал Ф. Жолио, — положительный электрон при столкновении со свободным или слабо связанным отрицательным электроном может исчезать, образуя два фотона, испускаемых в противоположных направлениях. Энергия каждого из фотонов составляет 0,5 • 10е эВ; сумма этих энергий, равная 106 эВ, соответствует аннигиляции массы двух электронов».

    Существует и обратный процесс — «материализация» фотонов, когда «фотоны с достаточно большой энергией при столкновении с тяжелыми ядрами могут создавать положительные электроны... фотон, взаимодействуя с ядром, может создать два электрона с противоположными зарядами».

    На Ленинградской конференции Жолио демонстрировал фотографию в камере Вильсона, на которой было зарегистрировано рождение пары электрон — позитрон.

    Ускорители

    Богатый событиями в ядерной физике 1932 г. ознаменовался и другими важными достижениями в этой области. Главнейшим из этих достижений было расщепление ядра лития искусственно ускоренными протонами. Еще в 1922 г. Резерфорд, сравнивая ядра с хорошо защищенной крепостью, указывал, что «лишь а-частицы, как наиболее концентрированные источники энергии, являются наиболее подходящими для нападения на эти хорошо защищенные сооружения». Далее он говорил: «Если бы в нашем распоряжении были заряженные атомы с энергией, в десять раз превосходящей энергию а-частицы радия, то, вероятно, мы могли бы проникнуть в нуклеарную структуру всех атомов, а иногда вызвать их разрушение».

    Частицы, ускоряемые сегодня на Серпуховском ускорителе, обладают энергией, в тысячу раз большей, чем та, о которой мечтал Резерфорд. Путь к получению частиц высокой энергии начался в 30-х годах. Именно тогда начали разрабатывать ускорители заряженных частиц. Уже в 1928 г. с помощью последовательно соединенных трансформаторных обмоток удалось получить напряжение 750 кВ. В 1931 г. Ван-де-Грааф построил электростатический ускоритель, позволяющий ускорить ионы до нескольких миллионов электрон-вольт.

    В 1930 г. в Кембридже Кокрофт и Уолтон, применяя каскадный метод увеличения напряжения, получили водородные ионы, ускоренные до нескольких сот киловольт. В 1932 г., направляя усиленные таким образом ионы на литиевую мишень, они осуществили расщепление ядра 3Li7 на два ядра гелия. Ядра гелия разлетались с энергией около 8,5 МэВ. Это была первая ядерная реакция, осуществленная на ускорителе, и авторы ее Джон Кокрофт (1897-1967) и Э. Уолтон были удостоены в 1951 г. Нобелевской премии.

    В 1931 г. Слоан и Лоуренс (1901-1958) построили линейный ускоритель ионов, в котором ионы, проходя через ряд цилиндров увеличивающейся длины, ускорялись высокочастотным напряжением, подобранным так, что в зазоре между цилиндрами ионы попадали в ускоряющую фазу.

    Но особенно важным для развития ядерной физики было создание циклического ускорителя — циклотрона.

    Принцип циклотрона был предложен Лоуренсом и Эдлефсеном в 1930 г. В 1932 г. под руководством Лоуренса был построен циклотрон с диаметром полюсных наконечников 28 см, ускоряющий протоны до 1,2 МэВ. В 1939 г. Лоуренс за изобретение циклотрона был удостоен Нобелевской премии.

    В июле 1932 г. на V Международной конференции по электричеству состоялось обсуждение проблем ядерной физики. С обзорным докладом «Современное состояние физики атомного ядра» выступил Энрико ферми. В этом докладе ферми все еще держался гипотезы: «Все атомные ядра состоят из двух частиц — электронов и ядер водорода (протонов)». Далее ферми указывал, что некоторые ядра «обладают собственным механическим моментом», выраженным целым или полуцелым числом в единицах h/2п Существование момента ядра обнаруживается в таких явлениях:

    а) чередование интенсивностей в полосатых спектрах;

    б) сверхтонкая структура спектральных линий атомов.

    ферми указывал далее, что «любая система из протонов и электронов должна:

    а) подчиняться статистике Бозе — Эйнштейна или принципу Паули в зависимости от того, является ли число частиц этой системы четным или нечетным;

    б) иметь собственный момент, равный целому числу или кратному целому числу, деленному на 2, в зависимости от того, четно или нечетно число частиц в системе».

    Ядро азота не подчиняется этим правилам, согласно которым для ядра азота должен быть справедлив принцип Паули, в то время как наблюдения Разетти над раман-эффектом для молекулы азота показали, вне всякого сомнения, что для ядра азота справедлива статистика Бозе — Эйнштейна. «Отсюда был сделан вывод, — пишет ферми, — что эта аномалия возникает вследствие того, что ядро атома азота содержит нечетное число электронов».

    Как видно, в июле 1932 г. азотная катастрофа продолжала существовать.

    Ферми подробно останавливается на теории а-распада, предложенной Гамовым в 1928 г. Гамов (1904-1968), а также Герни и Кондон (1902-1974) применяли к испусканию а-частицы ядром идеи волновой механики, развитые для анализа прохождения частиц через потенциальный барьер. Эта теория была одним из достижений новой квантовой механики.

    В отношении в-распада существует трудность, связанная с непрерывным спектром энергии в-частиц. «Этот факт, — писал ферми, — имеет большую теоретическую важность, поскольку он, по-видимому, находится в противоречии со всеми теориями атомного ядра, в которых предполагается справедливость принципа сохранения энергии». Ферми упоминает о гипотезе Паули, предпринятой для объяснения этого противоречия. Он пишет: «Согласно предположению Паули было бы возможно вообразить, что внутри атомного ядра находятся нейтроны, которые испускались бы одновременно с (3-частицами. Эти нейтроны могли бы проходить через большие толщи вещества, практически не теряя своей энергии, и потому были бы практически ненаблюдаемы».

    Ферми пришлось употребить в своем докладе слово «нейтрон» дважды. В заключительных заметках он говорит об интерпретации Чедвиком берил-лиевого излучения:

    «Продолжая опыты Боте, а также И. Кюри и ф. Жолио, Чедвик сумел доказать, что излучение бериллия способно сообщить движение также ядрам тяжелее протона; в связи с этим он выдвинул гипотезу, что излучение бериллия представляет собой не у-лучи, а нейтроны с массой, равной массе протона».

    Термин «нейтрон» сохранился для нейтральных частиц с массой протона. «Нейтроны» же Паули по предложению ферми были названы на Сольвеевском конгрессе 1933 г. «нейтрино». На конгрессе же 1932 г. ферми пришлось давать разъяснение по поводу термина «нейтрон» в р-распаде. Ему резонно возразили, что нейтроны из-за их массы не могут играть той роли, какая им приписывалась гипотезой Паули, ферми отвечал, что «такими нейтронами являются не те, которые были открыты, но нейтроны с гораздо меньшей массой». Именно ферми в дальнейшем удалось построить теорию (в-распада, основанную на гипотезе нейтрино.

    В 1933 г. происходило освоение идей, внесенных в ядерную физику. Помимо уже упоминавшейся конференции по атомному ядру, состоявшейся в Ленинграде в сентябре 1933 г., проблемы ядра обсуждались на Седьмом Сольвеевском конгрессе, состоявшемся в октябре 1933 г. Конгресс был очень представительным, председательствовал П. Ланжевен. В работе конгресса принимали участие Э. Резерфорд, Н. Бор, М. Склодовская-Кюри, Дж. Чед-вик, П. Блэккет, Дж. Кокрофт, В. Боте. В. Гейзенберг, Э. Шредингер, В. Паули, Э. ферми, Луи де Бройль, П. Дирак и другие физики. От советских ученых в конгрессе принимал участие А. ф. Иоффе.

    На конгрессе большое место заняли выступления сотрудников Кавендиш-ской лаборатории во главе с Резерфор-дом. Кокрофт доложил о своих и Уолтона опытах по расщеплению ядер лития ускоренными протонами, Чедвик сделал доклад об открытии нейтрона, об открытии нейтрона говорили также ф. Жолио и И. Кюри, Блэккет рассказал об открытии позитрона, в котором важную роль сыграли его и Оккиалини исследования с использованием камеры Вильсона, управляемой счетчиками Гейгера — Мюллера. В этих исследованиях были открыты ливни космических частиц, состоящие из позитронов и электронов.(Первые ливни были открыты Д. В. Скобельцыным еще в 1929 г ) Лоуренс доложил об опытах с циклотроном, Гейзенберг — о протонно-нейтронной модели ядра.

    Новые идеи прозвучали на Сольвеевском конгрессе во весь голос, их горячо поддерживал основоположник науки о ядре Э. Резерфорд. «Центральной фигурой на Сольвеевском конгрессе, — вспоминал Бор, — был, конечно, Резерфорд, как всегда с необыкновенной энергией принимавший участие во многих дискуссиях». Его ученики и он сам много способствовали развитию «современной алхимии», как называл Резерфорд науку о превращении ядер. Это было последнее его участие в Сольвеевском конгрессе, да и сам конгресс по существу был последним. Международное научное общение было нарушено захватом власти в Германии фашистами и второй мировой войной.

    Заметим, что протонно-нейтронная модель ядра, предложенная Иваненко, была активно поддержана Гейзенбергом. Она была высказана Майораной, опубликовавшим в 1933 г. статью о модели ядра, состоящего из протонов и «нейтральных протонов». Период протонно-электронной модели ядра кончился, начался новый плодотворный период в развитии ядерной физики, проходивший под знаком протонно-нейтронной модели ядра.

    Физический семинар в Копегагене. Сидят слева напрво: Бор, Гейзенберг, Паули, Гамов, Ландау

    Искусственная радиоактивность

    Новый период в развитии ядерной физики начался фундаментальными открытиями. 15 января 1934 г. на заседании Парижской Академии наук Фредерик Жолио и Ирен Кюри сообщили об открытии ими нового вида радиоактивности. «Нам удалось доказать методом камеры Вильсона, — сообщали они, — что некоторые легкие элементы (бериллий, бор, алюминий) испускают положительные электроны при бомбардировке их а-частицами полония».

    «Испускание положительных электронов некоторыми легкими элементами, подвергнутыми облучению а-луча-ми полония, продолжается в течение некоторого более или менее продолжительного времени после удаления источника а-лучей. В случае бора, например, это время достигает получаса».

    Ф. Жолио и И. Кюри, исследуя это явление, показали, что в этом случае возникает новый этап радиоактивности, сопровождаемый испусканием положительных электронов. «Мы полагаем, —писали они, — что в случае алюминия реакция происходит следующим образом:

    Изотоп фосфора 15Р30 является радиоактивным Он обладает периодом полураспада 3 мин 15 с и испускает положительный электрон согласно реакции:

    Для бора и магния можно себе представить аналогичные реакции, приводящие к образованию неустойчивых ядер 7N13 и 14Si27. Изотопы 7N13, ,4Si27, ,5P30 не наблюдаются в природе, так как они могут существовать только в течение очень короткого времени». Заканчивая свое короткое сообщение, ф. Жо-лио и И. Кюри писали: «Таким образом в настоящей работе удалось впервые при помощи внешнего воздействия вызвать у некоторых атомных ядер радиоактивность, которая сохраняется в течение измеримого времени в отсутствие вынуждающей причины».

    Это было открытие огромной важности. Радиоактивность, которая была присуща некоторым элементам, не могла быть ни вызвана, ни уничтожена, ни как-либо изменена человеком. Супруги Жолио-Кюри впервые искусственно вызвали радиоактивность, создав новые радиоактивные изотопы, не наблюдаемые до этого в природе. Явление, открытое Жолио-Кюри, получило название «искусственная радиоактивность».

    Шведская Академия наук оценила принципиальную важность открытия супругов Жолио-Кюри и присудила им в 1935 г. Нобелевскую премию по химии.

    Рис. 81. Приборы И. и Ф. Кюри, с которыми была получена искусственная радиоактивность

    Фредерик Жолио, принявший позже фамилию Жолио-Кюри, родился 19 марта 1900 г. в семье скобяного мастера Анри Жолио, участника Парижской Коммуны. С 1908 по 1917 г. он учился в лицее Лаканаль, затем в связи с войной был мобилизован в армию, но в войне участвовать ему не пришлось. Война кончилась, и Жолио получил отсрочку для продолжения образования. Чтобы пополнить знания в области точных наук (лицей Лаканаль был школой гуманитарного типа), Жолио поступил в лицей Лавуазье. Окончив его в 1919 г. первым учеником, он поступил в Парижскую школу физики и химии, где когда-то был профессором Пьер Кюри, а теперь преподавал физику Поль Ланжевен.

    По окончании школы Фредерик Жолио работал инженером-практиком на сталелитейных заводах. Однако в связи с окончанием отсрочки он был призван в армию и поступил в артиллерийскую школу в Пуатье. По окончании училища новоиспеченный сублейтенант по рекомендации Ланжевена поступил в препараторы к Марии Кюри в Институт радия. Здесь он встретился со своей будущей женой, дочерью Пьера и Марии Кюри, Ирен. Брак Ирен Кюри и Фредерика Жолио был зарегистрирован 4 октября 1926 г. С тех пор начался их совместный научный и жизненный путь.

    Ирен Кюри была старше Фредерика Жолио, она родилась 12 сентября 1897 г. Она закончила Парижский университет в 1920 г. и начала работать в лаборатории матери. К моменту, когда ф. Жолио поступил препаратором в Институт радия (1925), она защитила докторскую диссертацию. Фредерик Жолио-Кюри защитил докторскую диссертацию в 1930 г., на пять лет позже жены. В 1937 г. он стал профессором ядерной химии в Коллеж де Франс, а через 10 лет после смерти Ланжевена — профессором экспериментальной физики. Ирен после смерти матери в 1934 г. стала ее преемницей на кафедре физики в Парижском университете.

    В военные годы Фредерик и Ирен Жолио-Кюри были активными участниками движения Сопротивления, а в послевоенные годы активными борцами за мир. В 1942 г., в трудный год войны, Фредерик Жолио-Кюри вступил в Коммунистическую партию франции. Он с 1949 г. и до самой смерти возглавлял Всемирный Совет Мира, был организатором движения сторонников мира. Ирен Жолио-Кюри была членом Всемирного Совета Мира, участником конгрессов сторонников мира.

    Под руководством Фредерика Жолио-Кюри 15 декабря 1948 г. был пущен первый французский ядерный реактор. Сам Жолио-Кюри до 1950 г. занимал пост Верховного комиссара по атомной энергии франции. Ирен Жолио-Кюри умерла 17 марта 1956 г. от лучевой болезни. В мае 1958 г. ф. Жолио-Кюри последний раз посетил СССР, встретился со своими друзьями И. В. Курчатовым, Д. В. Скобельцыным и другими советскими физиками, верным другом которых он был всю свою жизнь. Умер ф. Жолио-Кюри 14 августа 1958 г.

    Опыты Ферми

    Вернемся к открытию искусственной радиоактивности. Оно вызвало широкий резонанс, и в короткое время был получен ряд новых радиоактивных изотопов. Но особенно важными были исследования Э. ферми и его сотрудников, начавшиеся весной 1934 г. ферми пошел совершенно по новому пути, он начал облучать элементы нейтронами.

    Ферми решил, как он писал в статье «Радиоактивность, наведенная нейтронной бомбардировкой», «выяснить, не вызывает ли нейтронная бомбардировка наведенной радиоактивности — явления, аналогичного наблюдаемому супругами Жолио при облучении а-частицами». Это было неожиданно и смело. «Я помню, — писал О. Фриш, — что моя реакция и реакция многих других была скептической: эксперимент Ферми казался бессмысленным, потому что нейтронов было много меньше, чем ex-частиц». В самом деле, супруги Жолио и другие физики бомбардировали элементы а-частицами, вылетавшими из радиоактивного препарата. В опытах же ферми эти частицы сначала использовались для получения нейтронов, которых выделялось очень немного, а затем уже начиналось облучение элементов полученными нейтронами. «Стреляли» не «снарядами», а продуктами попадания этих снарядов. Сами «нейтронные пушки» ферми были маленькими трубочками в несколько сантиметров, заполненными смесью бериллия и радона. Вот как ферми описывал один из таких источников нейтронов размером всего 1,5 см: «Это была стеклянная трубочка..., в которой находились зерна бериллия; раньше чем запаять трубочку, надо было ввести в нее некоторое количество эманации радия. Альфа-частицы, испускаемые радоном, в большом числе сталкиваются с атомами бериллия и дают нейтроны...»

    «Опыт выполняется следующим об разом. В непосредственной близости от источника нейтронов помещается пластинка алюминия, или железа, или вообще того элемента, который желательно изучить, и оставляется на некоторое время, которое может составлять минуты, часы, дни (в зависимости от случая). Нейтроны, вылетающие из источника, ударяют в какие-либо из ядер вещества. При этом происходит множество реакций самого различного типа».

    В первом сообщении, датированном 25 марта 1934 г., ферми, бомбардировавший алюминий и фтор, получил изотопы натрия и азота, испускающие электроны (а не позитроны, как у Жолио-Кюри). Метод нейтронной бомбардировки оказался очень эффективным, и ферми писал, что эта высокая эффективность в осуществлении расщеплений «вполне компенсирует слабость существующих нейтронных источников по сравнению с источниками а-частиц и протонов». Ему удалось этим методом активизировать 47 из 68 изученных элементов.

    Воодушевленный успехом, он в сотрудничестве с ф. Разетти и О. Д Агостино предпринял нейтронную бомбардировку тяжелых элементов: тория и урана. «Опыты показали, что оба элемента, предварительно очищенные от обычных активных примесей, могут сильно активизироваться при бомбардировке нейтронами». Среди активных продуктов бомбардировки урана было найдено три с периодом полураспада 10 с, 40 с, 13 мин и еще два с периодом от 40 мин до одного дня. При этом оставалось неясным, «представляют ли эти периоды последовательные или альтернативные процессы распада».

    Ферми со своими сотрудниками предпринял попытку химической идентификации р-активного продукта с периодом полураспада 13 мин. Он установил, что 13-минутная активность может быть обусловлена изотопами урана (Z — 92), протактиния (Z = 91), тория (Z = 90), актиния (Z = 89), pa-дет (Z = 88), висмута (Z = 83), свин-qa(Z = 82), а также «экацезия» (Z = 87) и радона (Z = 86). Ни один из тяжелых элементов не является химическим аналогом радиоактивного продукта с 13-минутным периодом. Естественно, что ферми и в голову не приходило сравнивать его с элементами из середины периодической системы химических элементов Д. И. Менделеева, и он сделал предположение, что «атомный номер соответствующего элемента может быть больше 92». Так появилась гипотеза трансурановых элементов.

    Э. Резерфорд с большим интересом следил за опытами ферми. Еще 23 апреля 1934 г. он писал ему: «Ваши результаты очень интересны, и нет никакого сомнения, что в дальнейшем нам удастся получить больше сведений о действительном механизме этих превращений». Летом сотрудники ферми Э. Сегре и Э. Амальди были в Кембридже у Резерфорда и привезли ему обзорную статью «Искусственная радиоактивность, наведенная нейтронной бомбардировкой», авторами которой были Э. ферми, Э. Амальди, О. Д'Агостино, ф. Разетти и Э. Сегре. Статья содержала полный отчет об опытах, проводившихся в физической лаборатории Римского университета. Резерфорд, как президент Лондонского Королевского общества, передал статью для публикации в «Трудах» общества.

    Статья появилась в том же, 1934 г. В ней говорилось и о бомбардировке урана, причем в числе продуктов бомбардировки был идентифицирован еще элемент с 90-минутным периодом полураспада. «90-минутный и 13-минутный активные продукты, — говорилось в статье, — обладают, по-видимому, совершенно аналогичными химическими свойствами, так как в реакции любого типа они получаются примерно в одинаковой пропорции. Поэтому обе эти активности, по-видимому, обусловлены продуктами с атомами номером выше 92,— возможно, изотопами одного и того же элемента».

    22 октября 1934 г. ферми сделал фундаментальное открытие. Поместив между источником нейтронов и активируемым серебряным цилиндром парафиновый клин, ферми заметил, что клин не уменьшает активность нейтронов, а несколько увеличивает ее. ферми сделал вывод, что этот эффект, по-видимому, обусловлен наличием водорода в парафине, и решил проверить, как будет влиять на активность расщепления большое количество водородсо-держащих элементов. Проведя опыт сначала с парафином, потом с водой, ферми констатировал увеличение активности в сотни раз. В статье «Влияние водородсодержащих веществ на радиоактивность, наведенную нейтронами», написанную ферми совместно с Э. Амальди, Б. Понтекорво, ф. Разетти и Э. Сегре, было выдвинуто следующее объяснение этих фактов: «Нейтроны быстро теряют энергию в ряде повторных столкновений с ядрами водорода... можно ожидать, что после нескольких соударений нейтроны будут двигаться подобно молекулам диффундирующего газа, достигая в конечном счете энергий, соответствующих тепловому движению». Опыты ферми обнаружили огромную эффективность медленных нейтронов.

    Теория в-распада Ферми

    Таким образом, Э. ферми в 1934 г. добился замечательных результатов, идя по избранному им пути. Но, помимо этих экспериментальных результатов, 1934 г. был годом замечательных теоретических достижений ферми. Уже в декабрьском номере 1933 г. итальянского журнала «Ricerca Scientifica» были опубликованы его предварительные соображения о в-распаде; в начале 1934 г. в «Zeitschrift fur Physik» была опубликована его классическая статья «К теории р-лучей». Авторское резюме статьи гласит: «Предлагается количественная теория р-распада, основанная на существовании нейтрино; при этом испускание электронов и нейтрино рассматривается по аналогии с эмиссией светового кванта возбужденным атомом в теории излучения. Выведены формулы из времени жизни ядра и для формы непрерывного спектра в-лучей; полученные формулы сравниваются с экспериментом ».

    Ферми в этой теории дал жизнь гипотезе нейтрино и протонно-нейт-ронной модели ядра, приняв также гипотезу изотопического спина, предложенную Гейзенбергом для этой модели В основу своей теории ферми кладет следующие предложения:

    а) Полное число электронов, равно как и число нейтрино, не обязательно должно быть постоянным. Электроны (или нейтрино) могут возникать и исчезать...

    б) Тяжелые частицы, нейтроны и протоны, можно рассматривать, следуя В. Гейзенбергу, как два внутренних квантовых состояния тяжелой частицы. Сформулируем это, введя некоторую внутреннюю координату тяжелой частицы р, могущую принимать только два значения: р = 1, когда частица является протоном, и р=— 1, если она оказывается нейтроном.

    в) Гамильтонову функцию системы из тяжелых и легких частиц нужно выбрать таким образом, чтобы каждый переход нейтрона в протон сопровождался возникновением электрона и нейтрино, а обратный процесс — превращение протона в нейтрон — сопровождался исчезновением электрона и нейтрино. Заметим, что тем самым обеспечивается сохранение заряда».

    Комментируя теорию ферми, ф. Ра-зетти писал: «Построенная им на этой основе теория оказалась способной выдержать почти без изменения два с половиной десятилетия революционного развития ядерной физики. Можно было бы заметить, что физическая теория редко рождается в столь окончательной форме».

    Ферми представлял собой необыкновенное в физике XX в. сочетание глубокого теоретика с первоклассным экспериментатором.

    «Великий итальянский физик Энрико ферми, — писал Бруно Понтекорво, — занимает особое место среди современных ученых: в наше время, когда узкая специализация в научных исследованиях стала типичной, трудно указать столь же универсального физика, которым был ферми. Можно даже сказать, что появление на ученой арене XX в. человека, который внес такой громадный вклад в развитие теоретической физики, и экспериментальной физики, и астрономии, и технической физики, — явление скорее уникальное, чем редкое».

    Энрико ферми родился 29 сентября 1901 г. в Риме, в семье служащего. У него очень рано появились способности к точным наукам. Он учился в Нормальной школе города Пиза с 1918 по 1922 г., затем по протекции доцента физического института Римского университета сенатора Корбино получил временную должность преподавателя математики для химиков в Римском университете. В 1923 г. он получает командировку в Германию, в Геттинген, к Максу Борну. ферми чувствует себя не очень уверенно, и лишь большая моральная поддержка Эрен-феста, у которого он был в Лейдене с сентября по декабрь 1924 г., помогла ему поверить в свое призвание физика.

    По возвращении в Италию ферми с января 1925 до осени 1926 г. работает в флорентийском университете. Здесь он получает свою первую ученую степень «свободного доцента» и — что самое главное — создает свою знаменитую работу по квантовой статистике. В декабре 1926 г. он занял должность профессора вновь утвержденной кафедры теоретической физики в Римском университете. Здесь он организовал коллектив молодых физиков: Разетти, Амальди, Сегре, Понтекорво и других, составивших итальянскую школу современной физики.

    В Риме ферми работал до 1938 г. фашистский режим угрожал благополучию его семьи из-за еврейского происхождения его жены Лауры. Уехав в Стокгольм за получением Нобелевской премии вместе с семьей, ферми не вернулся в Италию, а поехал в Нью-Йорк, где стал профессором физики Колумбийского университета.

    Американский период жизни ферми связан с работой над получением атомной энергии. Под его руководством 2 декабря 1942 г. в Чикаго был запущен первый в мире ядерный реактор, ферми принимал активное участие в испытании атомной бомбы. 16 июня 1945 г. он был одним из тех ученых, которые рекомендовали сбросить атомные бомбы на Японию, назвав варварскую бомбардировку Хиросимы «красивой физикой». После войны он стал профессором физики Чикагского университета и сотрудником только что организованного Института ядерных проблем.

    Умер ферми 29 ноября 1954 г.

    Возвращаясь к 1934 г., следует отметить гипотезу о природе ядерных сил, высказанную независимо друг от друга Д. Д. Иваненко и И. Е. Таммом. В статье, опубликованной в «Nature» в 1934 г., Тамм рассмотрел ядерные взаимодействия как процесс обмена легкими частицами между нуклонами. Теория Тамма не давала количественного совпадения, однако общая идея ядерных взаимодействий, высказанная Иваненко и Таммом, сохранилась в ядерной физике. В 1935 г. Хидеки Юкава на основе этой идеи предсказал существование частиц промежуточной массы (мезонов), ответственных за ядерные взаимодействия. Частицы промежуточной массы порядка 200 электронных масс были, действительно, открыты в космических лучах Андерсоном и Нед-дермайеером в 1937 г. Однако вскоре выяснилось, что эти частицы, названные позже ju-мезонами, не имеют отношения к нуклонам. Только через 10 лет С. Пауэлл также в космических лучах нашел более тяжелые л-мезоны, порождающие и поглощающие нуклоны в процессе ядерных взаимодействий.

    Открытие ядерной изомерии

    В 1935 г. советские физики И. В. Курчатов, Б. В. Курчатов. Л. И. Русинов, Л. В. Мысовский открыли явление ядерной изомерии для радиоактивного брома Вr80. В этом же году И. В. Курчатов работал с реакциями на медленных нейтронах. При этом была выяснена сложная зависимость поглощения нейтронов от скорости, и в частности факт резонансного поглощения нейтронов, факт резонансного поглощения нейтронов был установлен ферми. Курчатов обобщил результаты исследований по расщеплению ядра в вышедшей в 1935 г. книге «Расщепление атомного ядра».

    Э. ферми, продолжая исследования радиоактивности, возбужденной нейтронной бомбардировкой, подтвердил существование ядерной изомерии, открытой Курчатовым. «Мы, — писали ферми, Амальди, Д'Агостино, Понтекорво, Сегре, — также констатировали существование третьего радиоактивного изотопа Вr с периодом около 36 ч, обнаруженного Курчатовым и др., подтвердили их опыты по р-лучам».

    В работе 1936 г. «О поглощении и диффузии медленных нейтронов», написанной совместно с Э. Амальди, Э.Ферми также подтвердил открытое И. В. Курчатовым, Л. А. Арцимовичем, Л. В. Мысовским резонансное поглощение нейтронов. Закон зависимости поглощения нейтронов, согласно которому сечение захвата обратно пропорционально скорости нейтронов, нарушается в ряде случаев. Для определенных скоростей некоторые элементы особенно сильно поглощают нейтроны. Но наиболее волнующим оставался вопрос о трансурановых элементах. В работе по искусственной радиоактивности ферми писал: «Путем различных химических экспериментов Ган и Мейтнер (здесь ферми ссылается на статью О. Гана и Л. Мейтнер, опубликованную в том же, 1935 т. — П.К.) также пришли к выводу, что 13-минутная и 100-минутная активности обусловлены, по всей вероятности, трансурановыми элементами. Мы повторили некоторые из их опытов и получили те же самые результаты».

    ферми придерживается высказанной концепции в нобелевской лекции 1938 г. Говоря об активных носителях, полученных из урана при бомбардировке их нейтронами, он заключает: «Мы пришли к выводу, что носителем был один или более элементов, с атомным номером большим 92. Элементы 93, 94 у себя в Риме мы назвали авсонием и гесперием соответственно. Известно, что О. Ган и Л. Мейтнер провели очень тщательное и обширное изучение продуктов распада облученного урана и сумели отыскать среди них элементы вплоть до атомного номера 96».

    Речь была напечатана в Стокгольме в 1939 г., и при этом ферми пришлось сделать примечание, указывающее на необходимость пересмотра «всей проблемы трансурановых элементов» в связи с открытием Гана и Штрассмана.

    Деление урана

    Остановимся на истории этого открытия. Оно явилось завершением целого ряда поисков и ошибок.

    Вскоре после сообщения ферми о трансурановых элементах немецкий химик Ида Ноддак опубликовала в химическом журнале статью, в которой указывала, что под воздействием нейтронов ядра распадаются на изотопы, отнюдь не являющиеся соседями бомбардирующих элементов, ферми, Ган и другие физики сочли предположение Ноддак абсурдным.

    В 1936 г. вопросом о захвате нейтронов заинтересовался Бор. В опубликованной в «Nature» статье «Захват нейтрона и строение ядра» он указал, что «типичные черты ядерных реакций проявляются при столкновении с нейтронами», и отметил, что «наиболее интересные данные получены ферми и его сотрудниками по искусственной радиоактивности при бомбардировке как быстрыми нейтронами, так и тепловыми нейтронами». Анализируя эти данные, Бор пришел к выводу, что процесс ядерной реакции, обусловленный захватом нейтрона, следует разделить на две не зависящие друг от друга стадии.

    Первая стадия заключается в том, что захват нейтрона ядром приводит «к образованию составной системы, характеризующейся замечательной устойчивостью». Это «компаунд-ядро» находится в возбужденном состоянии, причем энергия распределяется между всеми частицами ядра и в последующем (вторая стадия.— П.К.) может освобождаться в виде гамма-излучения либо «может опять концентрироваться на какой-то частице у поверхности ядра», так что эта частица может покинуть ядро.

    Самым существенным моментом в теории Бора было представление о ядре как о сложной системе. Нейтрон взаимодействует не с какой-либо отдельной частицей ядра, а отдает энергию всему коллективу частиц, образующих ядро. Теория, «опирающаяся на соответствующее применение задачи одного тела... теряет всю свою ценность» в случае захвата нейтрона ядром, «где мы с самого начала имеем дело с существенно коллективными аспектами взаимодействия между составляющими ядро частицами».

    О теории Бора рассказывал на сессии физико-математического отделения Академии наук СССР в марте 1936 г. И. Е. Тамм в докладе о проблеме атомного ядра. Я. И. Френкель, выступая по докладу, говорил: «В связи с теорией Бора ясно, что сложное ядро до некоторой степени подобно твердому или жидкому телу, состоящему из большого числа частиц, сильно связанных друг с другом. Отсюда возникает весьма естественно мысль, нельзя ли рассматривать ту энергию, которую нейтрон, приставший к ядру, сообщает всей совокупности частиц, образующих его как своего рода тепловую энергию. При этом состояние системы характеризуется некоторой температурой, соответствующей этой энергии и числу частиц. Нагретое ядро имеет некоторые шансы испариться, и это испарение является той дезынтеграцией, которая воспринимается нами в виде вылетающего из ядра нейтрона или протона или альфа-частицы...».

    Свои мысли Я. И. Френкель облек в статью, опубликованную в том же, 1936 г. под заглавием «О «твердой» модели тяжелых ядер». Бор согласился с этой идеей Я. И. Френкеля и в лекции «Превращение атомных ядер», прочитанной весной 1937 г. в США и в июне того же года в СССР, говорил о «температуре» ядра, которая «повышается» в результате захвата нейтрона, причем ядро «деформируется», совершая упругие колебания. Бор указывал, что испускание нейтрона ядром «представляет особенно удачную аналогию испарению жидкого или твердого тела при низких температурах», и отмечал, что «Я. И. Френкель впервые предложил применить к вероятности вылета нейтрона из составного ядра обычную формулу для испарения».

    Однако ни Бор, ни Френкель не стали развивать идею о ядре как жидкой капле, они остановились на «твердой» модели. Как экспериментаторы, так и теоретики очень близко подходили к явлению деления, но, загипнотизированные всей совокупностью представлений о ядерных реакциях, не могли увидеть сути дела.

    Упомянем еще об одном теоретическом результате 1938 г. Ганс Боте предложил теорию, объясняющую энергию звезд. Согласно этой теории энергия выделяется в результате синтеза ядер водорода в ядра гелия. Боте предложил углеродно-азотный цикл, приводящий в конечном счете к превращению водорода в гелий, сопровождающийся выделением значительной энергии.

    В 1938 г. наступила развязка сложной ситуации, вызванной результатами, полученными ферми. Сложность ситуации объяснялась обилием радиоактивных изотопов, к тому же открытие изомерии Курчатовым еще более осложнило обстановку. Распутать цепочку продуктов, получающихся в результате бомбардировки урана нейтронами, было непросто. Ирен Кюри, работая сначала с Хальбаном, а потом с югославом Павлом Савичем, получила радиоактивное вещество с периодом полураспада 3,5 ч, напоминающее торий. Ган, проверяя этот результат, показал, что продукт, который Кюри и Савич потом стали называть R (3,5 ч), не может быть торием. Ирен Кюри и Савич согласились с выводом Гана и, продолжая исследования, показали, что R (3,5 ч) по свойствам напоминает актиний и еще больше лантан. Они констатировали, что продукт R (3,5 ч) выделяется вместе с лантаном: «В целом свойства R (3,5 ч) такие же, как свойства лантана». Но лантан не радиоактивен, и они полагали, что активный продукт можно отделить от лантана. Заметка об опытах И. Кюри и П. Савича была опубликована летом 1938 г.

    Ган в то время работал вместе со Штрассманом, так как Л. Мейтнер эмигрировала после захвата Австрии Гитлером в Стокгольм. Прочитав статьи Кюри и Савич, Ган был поражен, он подумал, что Кюри и Савич совершенно запутались, и решил тщательно проверить их опыты. Ган рассуждал так: если R (3,5 ч) — аналог лантана, то его материнский продукт должен походить на радий, аналогичный барию. Наблюдаемый Ганом и Штрассманом мнимый радий, действительно, обладал всеми свойствами радия. 20 декабря 1938 г. в результате многих опытов по идентификации нового элемента они установили окончательно, что в числе продуктов бомбардировки, несомненно, имеется барий. «Как химики, — писали они в своем сообщении, — мы должны из этих кратко описанных опытов существенно изменить приведенную выше схему и вместо символов Ra, Ac, Th вставить символы Ва, La, Се. Как «ядерные химики», тесно связанные с физикой, мы не можем решиться на этот шаг, противоречащий всем предыдущим экспериментам».

    Статья Гана и Штрассмана была опубликована в январе 1939 г. под заглавием «О доказательстве возникновения щелочноземельных металлов при облучении урана нейтронами и их свойствах». Но еще до публикации статьи Ган прислал Мейтнер письмо с изложением своих результатов. К Мейтнер в это время на рождественские каникулы приехал ее племянник Отто Фриш, работавший у Бора. Мейтнер показала ему письмо Гана и на скептическое отношение фриша к содержанию письма сказала, что дело очень важное и необходимо объяснить получение бария из урана. Во время лыжной прогулки они решили задачу: ядро делится на осколки, приобретающие под действием электростатического отталкивания энергию около 200 МэВ, что как раз составляло энергию, связанную с дефектом массы.

    Вернувшись в Копенгаген, фриш сообщил об этой интерпретации открытия Гана и Штрассмана Бору, уезжавшему в Америку. «Я помню, как он хлопнул себя по лбу, едва я начал говорить, и воскликнул: «О какие мы были дураки! Мы должны были заметить это раньше».

    Фриш провел соответствующий эксперимент с ионизационной камерой, «с помощью которой можно было без труда наблюдать большие импульсы, возникающие от ионизации, производимой осколками деления».

    16 января фриш и Мейтнер опубликовали статью, в которой, в частности, был впервые употреблен термин «деление», подсказанный Фришу американским биологом Арнольдом.

    26 января 1939 г. в Вашингтоне на конференции по теоретической физике Бор сообщил об открытии деления урана. Не дожидаясь конца доклада, физики один за другим стали покидать заседание, чтобы проверить сообщение в своих лабораториях. Изучение деления проводил ф. Жолио. 30 января 1939 г. он сообщил Парижской Академии наук об экспериментальном доказательстве расщепления ядер урана и тория под действием нейтронов. 20 февраля 1939 г. он продемонстрировал деление ядер урана (Жолио говорил о «взрыве») методом камеры Вильсона, получив фотографию деления. 8 марта того же года Жолио совместно с Хальбоном и Коварским опубликовал в «Nature» заметку, в которой сообщал об испускании нейтронов при ядерном взрыве урана. «Несомненно, — писали они, — что наблюдаемое явление представляет интерес с точки зрения осуществления экзоэнергетических цепных реакций». В напечатанной 7 февраля статье «Резонансные явления в расщеплении урана и тория» Бор указал, что эффект деления связан с захватом нейтрона ядром «редкого изотопа урана-235».

    В апреле 1939 г. Я. И. Френкель выступил со статьей, в которой деление тяжелых ядер U, Th при захвате нейтрона объяснил как «следствие капиллярной неустойчивости жидкой капли, обладающей большим электрическим зарядом».

    28 июля 1940 г. Н. Бор и Дж. Уиллер представили статью «Механизм деления ядер», в которой было дано «объяснение механизма деления ядра на основе модели ядра как жидкой капли». Модель жидкой капли, которая могла бы предсказать деление ядер, начала активно «работать» при объяснении механизма деления. Бор и Уиллер показали, что под действием медленных нейтронов делятся изотопы урана-235 и что нейтроны, наблюдаемые при делении, «не могут возникать в самом процессе деления». «Запаздывающее излучение нейтронов действительно является результатом ядерного возбуждения, которое сопровождает бета-распад нейтронов».

    Осуществление цепной реакции деления ядер

    Теперь встал со всей силой вопрос о цепной реакции деления и о возможности получения разрушительной взрывной энергии деления. Этот вопрос роковым образом переплелся с мировой войной, развязанной фашистской Германией 1 сентября 1939 г. Напуганный возможностью получения гитлеровцами в свое распоряжение оружия огромной разрушительной силы, Эйнштейн подписал письмо президенту США Рузвельту, в котором предупреждал его об этой опасности и рекомендовал начать работу по атомной энергии.

    История создания атомной бомбы в США неоднократно описывалась. Мы уже писали, что первый ядерный реактор был запущен 2 декабря 1942 г. в Чикаго под руководством Энрико Ферми. Атомная бомба была создана группой ученых из всех стран мира, работавших в Лос-Анджелесе под руководством Роберта Оппенгеймера. Испытание было проведено 16 июля 1945 г. в пустынной местности в Нью-Мексико.

    В Советском Союзе работы над получением атомной энергии начались в разгар Великой Отечественной войны, «когда, — как писал И. В. Курчатов, — родная земля была залита кровью, когда разрушались и горели наши города и села, когда не было никого, кто не испытывал бы чувства глубочайшей скорби из-за гибели близких и родных людей».

    В этой тяжелой обстановке советские ученые совершили подвиг и «добились выдающихся успехов в деле создания атомного и водородного оружия». Руководителем и главным в этом подвиге был трижды Герой Социалистического Труда академик Игорь Васильевич Курчатов.

    И. В. Курчатов. Курчатов родился 12 января 1903 г. в поселке Сим, на Южном Урале (Симский завод), в семье помощника лесничего В. А. Курчатова. К моменту поступления Игоря в гимназию семья переехала в Симбирск, где Игорь и начал гимназическую учебу. Однако вскоре из-за болезни старшей дочери Курчатовы переехали в Симферополь. В трудные годы империалистической и гражданской войн пришлось учиться Игорю. Крым захватывали немецкие оккупанты, войска Антанты, белогвардейцы всех мастей. Игорь Курчатов окончил гимназию весной 1920 г. и поступил в Таврический университет. В ноябре 1920 г. в Крыму установилась Советская власть.

    Учиться было нелегко. Голод и разруха давали себя знать. Курчатов не гнушался никакой работы, чтобы поддержать существование. Он был чернорабочим, воспитателем детского дома, диспетчером автоколонны, сторожем кинотеатра.

    В 1923 г. Курчатов досрочно окончил университет и решил продолжить образование в Петрограде в Политехническом институте. Здесь он поступил на 3-й курс кораблестроительного факультета. Материальное положение питерского студента было трудное, и Курчатов устроился на работу в магнитно-метеорологическую обсерваторию города Слуцка (Павловска). Здесь начался научный путь будущего ученого. Его статья «К вопросу о радиоактивности снега» была опубликована в 1924 г.

    Учеба в Политехническом институте оборвалась в том же, 1924 г. По предложению старшего физика обсерватории Н. Н. Калитина Курчатов поехал с ним в экспедицию в Феодосию в Гидрометеорологический центр. Кроме выполнения обычных функций наблюдателя, И. В. Курчатов проводил и исследовательскую работу. Он опубликовал результаты исследований в статьях «Опыт применения гармонического анализа к исследованию приливов и отливов Черного моря» и «Сейши в Черном и Азовском морях».

    Осенью 1924 г. Курчатов приехал в Баку, куда его пригласил на должность ассистента его учитель по Таврическому университету С. Н. Усатый. Здесь же работал и друг Курчатова по университету К. Д. Синельников, сестра которого, Марина Дмитриевна, позднее стала женой Игоря Васильевича.

    В Баку И. В. Курчатов опубликовал работу по электролизу твердого тела. Он ощутил в себе призвание физика и решил поработать в большой физике. Центром современной физики в те годы был Ленинградский физико-технический институт, организованный А. ф. Иоффе. Туда уехал из Баку К. Д. Синельников, туда же поехал и Курчатов. 1 сентября 1925 г. он был зачислен сотрудником физико-технического института.

    Одной из первых публикаций бакинских физиков в Ленинграде была статья И. В. Курчатова и К. Д. Синельникова «К вопросу о прохождении медленных электронов через металлические фольги».

    Вскоре Курчатов вместе с Синельниковым и П. П. Кобеко углубился в изучение свойств диэлектриков. Интерес к свойствам изоляторов диктовался потребностями электротехнической промышленности, игравшей важную роль в реализации Ленинского плана ГОЭЛРО. Волховстрой, начатый еще при жизни В. И. Ленина, привлек к себе внимание всей страны. А. ф. Иоффе был увлечен идеей создания сверхпрочных тонкослойных изоляторов. В своем выступлении на V съезде русских физиков, состоявшемся в декабре 1926 г. в Москве, он показал вынутые им из кармана пластинки, способные выдержать электрические поля с напряженностью до 150•106 В/см. Этой идеей увлекся и Курчатов. Однако А. П. Александров доказал, что в измерения электрической прочности изоляторов, выполненных Курчатовым и его коллегами, вкралась ошибка, нарастающая с уменьшением толщины слоя. Идея тонкослойных изоляторов оказалась несостоятельной.

    Неудача не обескуражила Курчатова. Он продолжал работать с диэлектриками, исследуя высоковольтную поляризацию в кристаллах сегнетовой соли. Тщательно изучая причины разногласий в изучении этого диэлектрика и источники возможных ошибок, И. В. Курчатов разработал новую методику подведения напряжения к кристаллу. В качестве подводящих электродов Курчатов и Кобеко использовали насыщенный раствор сегнетовой соли. Результаты оказались согласующимися между собой и необычными. При напряженности поля 200 В/см значение диэлектрической проницаемости кристалла оказалось равным 9300 при комнатной температуре. Так был открыт новый класс диэлектриков, названный И. В. Курчатовым сегнетоэлектриками. По своим электрическим свойствам сег-нетоэлектрики оказались полным аналогом ферромагнетиков. Цикл многолетних исследований этого явления завершился опубликованной в 1933 г. монографией «Сегнетоэлектрики».

    И. В. Курчатов открыл большую и важную для науки и техники область физического исследования. С ним вместе работали его брат Борис Васильевич Курчатов и другие ученые. Он мог бы до конца жизни работать в этой области. Но он решил иначе. 1932 год — «год чудес» — выдвинул на первое место физику ядра. В Физико-техническом институте в ноябре 1932 г. был создан ядерный семинар. Его организаторами были А. И. Алиханов, Д. Д. Иваненко, И. В. Курчатов, Д. В. Скобельцын. С этого времени интересы И. В. Курчатова сосредоточились на ядерной физике. Он был активным участником семинара, председателем Оргкомитета Первой Всесоюзной конференции по атомному ядру, состоявшейся в Ленинграде 24—30 сентября 1933 г. Об этой конференции неоднократно приходилось упоминать.

    Следует отметить, что в 1932 г. положение ядерной физики в СССР было незавидным. Правда, еще до революции в России начались работы по радиоактивности, по преимуществу в связи с геофизикой и геохимией. Особенно важное значение имели исследования Владимира Ивановича Вернадского (1863—1945), который начиная с 1910 г. исследовал в России месторождения радия и урана, проводил первые радиохимические исследования радия и урана, применил радиоактивный метод к исследованию возраста земных пород. В. И. Вернадский горячо верил в будущее атомной энергии и еще в 1922 г. предупреждал ученых об ответственности в связи с этим открытием. Он писал: «Мы подходим к важному перевороту в жизни человечества, с которым не может сравниться все им раньше пережитое. Недалеко то время, когда человек получит в свои руки атомную энергию, такой источник силы, который даст ему возможность строить свою жизнь, как он захочет.. Ученые не должны закрывать глаза на возможные последствия их научной работы, научного прогресса. Они должны себя чувствовать ответственными за последствия их открытий. Они должны связать свою работу с мировой организацией всего человечества». В том же, 1922 г. В. И. Вернадский организовал в Петрограде Радиевый институт, директором которого он был до 1939 г. В этом институте работал и крупный советский радиохимик академик Виталий Григорьевич Хлопин (1890-1950), организовавший в 1918—1921 гг. первый русский радиевый завод.

    Из физиков следует упомянуть сподвижника Столетова профессора Московского университета А. П. Соколова (1854—1928), создавшего в Московском университете практикум по радиоактивности. При организации этого практикума А. П. Соколов ездил в Париж к М. Кюри, а его ученик К. П. Яковлев — в Манчестер к Резерфорду. В 1912—1913 гг. в Московском университете начал работать специальный практикум по радиоактивности.

    А. П. Соколов организовал радиоактивную лабораторию, имевшую два отделения — физическое и химическое. Сам А. П. Соколов проводил исследования радиоактивности воздуха, минеральных вод, лечебных грязей, источников и почв.

    Таким образом, Советская Россия располагала известными кадрами для работы в области радиоактивности Были установлены контакты с такими научными центрами, как Институт радия в Париже, Кавендишская лаборатория в Кембридже. Были проведены еще до революции обширные радиологические исследования, в том числе и исследования залегания радиоактивных руд. После революции радиологические исследования развернулись в рентгенорадиологическом отделении Рентгеновского физико-технического института, пока в 1921 г. не был организован Радиевый институт.

    Большую известность получили исследования Л. В. Мысовского по космическим лучам. Л. В. Мысовский и П. И. Чижов разработали метод толстослойных пластин для исследования а-частиц (1926). Л. В. Мысовский был одним из пионеров ядерной физики СССР.

    Мы упоминали также и Д. В. Скобельцына, который применил метод камеры Вильсона, помещенной в магнитное поле, для анализа электронов отдачи при эффекте Комптона (1927). Обнаружив следы электронов большой энергии, не отклоняемых полем, Скобельцын приписал их космическим 7гучам и в 1929 г. получил первую фотографию ливней космических частиц, на которой был зафиксирован и позитрон. Однако магнитное поле, применявшееся Скобельцыным, было слишком слабым, чтобы можно было достоверно идентифицировать частицу. На Первой Всесоюзной конференции по атомному ядру Д. В. Скобельцын рассказал о своих работах по исследованию космических лучей методом камеры Вильсона, помещенной в магнитное поле.

    Но в целом ядерная физика в СССР до 1932 г. находилась в зачаточном состоянии. Приход И. В. Курчатова в ядерную физику стимулировал оживление работы этой отрасли физики. Начали строиться высоковольтные ускорители заряженных частиц.

    Такие ускорители были построены в Украинском физико-техническом институте в Харькове А. К. Вальтером и К.Д.Синельниковым. На этих ускорителях были осуществлены первые реакции по расщеплению ядер. И. В. Курчатов руководил созданием ускорителя в Ленинградском физико-техническом институте, но также поддерживал тесную связь с харьковской группой. В своей последней статье, опубликованной в «Правде» незадолго до смерти, Курчатов писал: «В начале тридцатых годов мне довелось быть у истоков зарождавшейся атомной физики на Украине. В то время я часто приезжал в молодой физико-технический институт, созданный в Харькове по решению правительства в октябре 1928 г., и работал в нем со своими старыми друзьями К. Д. Синельниковым, А. К. Вальтером и А. И. Лейпунским, вместе с которыми начинал свою научную деятельность в Ленинграде...

    В Харькове с К. Д. Синельниковым мы работали над созданием новых высоковольтных установок, ускоряющих заряженные частицы, для исследования атомного ядра. С А. К. Вальтером мы разрабатывали импульсные и электростатические ускорители для исследования атомных ядер... С А. И. Лейпунским были проведены исследования атомных ядер при помощи нейтронов, незадолго до этого открытых англичанином Чедвиком».

    И. В. Курчатов работает не только в ЛФТИ и УФТИ, он ведет педагогическую и научную работу по ядерной физике в Ленинградском педагогическом институте им. М. И. Покровского, где он был профессором. Он как будто хочет зажечь огонь ядерной физики в разных точках страны.

    В 1935 г. было сделано фундаментальное открытие в физике ядер. Облучая нейтронами два изотопа брома Вг74 и Вг81, И. В. Курчатов, Б. В. Курчатов, Л. П. Русинов и Л. В. Мысовский получили не два радиоактивных продукта, как ожидалось, а три с периодами 18 мин, 4,4 и 34 ч. Так было открыто существование у брома двух изомерных ядер.

    Открытие ядерной изомерии привлекло внимание зарубежных исследователей. Молодая советская ядерная физика внесла существенный вклад в эту бурно развивающуюся отрасль знания.

    В 1935 г. вышла книга И. В. Курчатова «Расщепление атомного ядра», где он в доступной форме дал обзор опытов по расщеплению ядер.

    20-26 сентября 1937 г. в Москве состоялась Вторая Всесоюзная конференция по атомному ядру. За четыре года, прошедшие со времени первой конференции, было сделано очень много.

    Открытие искусственной радиоактивности и ядерных превращений под действием нейтронов необычайно стимулировало развитие ядерных исследований. На конференции присутствовали В. Паули, известный французский исследователь космических лучей Оже, английские ученые Вильяме и Пайтерлс.

    К.Д.Синельников доложил о построенном в Харькове ускорителе Ван-де-Граафа. Диаметр шаров ускорителя составлял 10 м, длина ускорительной трубки была 15 м, давление газа в ней достигало 4 • 10~6 мм рт. ст. Энергия протонов, сообщенная ускорителем, достигала 2,5 МэВ.

    В. П. Рукавишников рассказал о создании в Радиевом институте циклотрона. Работа над созданием циклотрона была очень нелегкой. В 1937 г. был получен первый пучок ускоренных протонов, но работа по наладке ускорителя продолжалась и в 1938 и в 1939 гг.

    И. В. Курчатов отдал созданию циклотрона много времени и сил. Он хорошо понимал необходимость создания в СССР технической базы ядерной физики и уделял этому делу огромное внимание.

    На конференции И. В. Курчатов рассказал об опытах по поглощению медленных нейтронов и найденном им и его сотрудниками селективном резонансном поглощении нейтронов.

    За второй конференцией последовали совещания по атомному ядру. Они проводились в 1938, 1939 и 1940 гг. И. В. Курчатов был непременным организатором и участником совещаний. Ведущей темой совещаний 1939— 1940 гг. было деление ядра. На совещании 1939 г. с докладом на эту тему выступили сотрудники И. В. Курчатова. Обзорный доклад «Деление урана» сделал А. И. Лейпунский. В докладе он подчеркнул возможность осуществления цепной реакции. «Медленный нейтрон, — говорил Лейпунский, — захватывается ядром урана, ядро делится с испусканием огромного количества энергии, при этом испускаются нейтроны, которые замедляются в водород-содержащей среде; став медленными, они опять поглощаются ядрами урана, вызывая их деление с испусканием нейтронов, и т. д. ...Ясно, что если такой процесс может быть осуществлен, становится возможным практическое использование деления урана».

    Н. А. Перфилов из Радиевого института доложил о наблюдении треков ядер отдачи при ядерном распаде. Ученик И. В. Курчатова К. А. Петржак выступил с докладом на тему «Пробеги и энергии осколков при делении урана быстрыми нейтронами». Для наблюдения процесса деления урана в этой работе применялась ионизационная камера, соединенная с линейным ускорителем. Наблюдались в основном два типа осколков с энергиями 60 и 85 МэВ.

    В. Г. Хлопин сделал доклад о химической природе продуктов деления урана.

    Сотрудники И. В. Курчатова Л. И Русинов и Г. Н. флеров рассказали об опытах по делению урана.

    Курчатов выступил с докладом о результатах опытов, в которых нейтроны, получаемые на циклотроне Радиевого института, бомбардировали ядра гадолиния. Открытая И. В. Курчатовым ядерная изомерия показала «наличие метастабильных состояний атомного ядра». При этом ядро, возбужденное до метастабильного уровня, «чаще всего переходит в основное состояние, излучая электроны внутренней конверсии». Опыты с гадолинием, как указывал Курчатов, «дают основание думать, что сильно поглощающий медленные нейтроны гадолиний, который не дает при этом искусственной радиоактивности, обладает метастабильным уровнем с энергией порядка кеV».

    На совещании по физике атомного ядра, состоявшемся в Москве 20—26 ноября 1940 г., ученик И. В. Курчатова Г. Н. флеров сделал доклад об открытом им и К. А. Петржаком самопроизвольном делении урана. Об этом фундаментальном открытии советской ядерной физики говорил в своем докладе и И. В. Курчатов.

    И. В. Курчатов обсуждал конкретные пути осуществления цепной реакции. Он ссылался на теоретические расчеты Я. Г. Зельдовича и Ю. Б. Хари-тона и указывал, что наиболее надежный путь заключается в обогащении урановой смеси легкими изотопами урана-235. Здесь трудность состояла в проблеме разделения изотопов, которая, как полагал И. В. Курчатов, ввиду ее важности будет решена. И. В. Курчатов не испугался трудностей, стоящих на пути овладения внутриядерной энергией, он энергично взялся за решение задачи. Его окружали молодые энтузиасты, разделявшие веру своего руководителя. К Л. И. Русинову, Г. Н. флерову, К. А. Петржаку присоединился И. С. Панасюк, начавший работать в лаборатории И. В. Курчатова, будучи еще студентом Политехнического института.

    Курчатов работал также и над созданием нового мощного циклотрона с диаметром полюсов электромагнита 1,2 м. Новый циклотрон должен был вступить в строй 1 января 1942 г.

    Но планы И. В. Курчатова сорвала война. Сам Курчатов, Флеров, Петржак и Панасюк — все были призваны в армию. И. В. Курчатов работал над проблемой противоминной защиты кораблей Советского Военно-Морского флота. Ему пришлось работать в боевых условиях Черноморского флота в героическом Севастополе. В ноябре 1941 г. группа Курчатова перебазировалась на Кавказское побережье, с большим риском прорвавшись из блокированного Севастополя. В декабре 1941 г. И. В. Курчатов был откомандирован в Казань, где размещался физико-технический институт, работавший над военными заданиями. Поздней осенью 1942 г. Курчатова вызвали в Москву. Туда же вызвали и А. И. Алиханова. Было решено начать работы по атомной энергии. В декабре Курчатов вернулся в Казань, полный мыслей о предстоящем большом деле. В начале января 1943 г. его вновь вызвали в Москву. Народный комиссариат Военно-Морского флота добился разрешения на командировку Курчатова в Мурманск. Это была его последняя работа для флота, на этот раз северного.

    5 марта 1943 г. он вернулся в Москву, где энергично взялся за организацию работы над разрешением атомной проблемы. Работа была громадная, надо было собрать людей, установить необходимые контакты с промышленностью, наметить первоочередные задачи и т. д. Выдающийся организаторский талант И. В. Курчатова помог ему справиться с колоссальной задачей при всесторонней поддержке партии и правительства.

    25 декабря 1946 г. на территории Института атомной энергии, ныне носящего имя своего основателя, впервые на континенте Европы и Азии была осуществлена цепная реакция деления урана. То, к чему стремился И. В. Курчатов еще до войны, было осуществлено. В августе 1949 г. под руководством И. В. Курчатова было произведено испытание советской атомной бомбы. Через четыре года, 8 августа 1953 г., ТАСС сообщило о создании в СССР водородной бомбы 12 августа 1953 г. водородная бомба была испытана.

    Обеспечив безопасность Родины созданием атомного и водородного оружия, И. В. Курчатов стал напряженно трудиться над применением атомной энергии в мирных целях. Под его руководством разрабатывался проект первой в мире атомной электростанции в Обнинске, начавшей свою работу 27 июня 1954 г.

    В июле 1955 г. в Москве состоялась сессия Академии наук СССР. На ней было рассказано о работах, ведущихся по ядерной физике в Советском Союзе. В августе того же года в Женеве проходила Первая Международная конференция по мирному использованию атомной энергии. С докладом о первой в мире атомной электростанции выступил один из ее создателей, член-корреспондент Академии наук СССР Дмитрий Иванович Блохинцев.

    В апреле 1956 г. в Англию в составе правительственной делегации поехал И. В. Курчатов. Он был в атомном центре в Херуэлле, где его встретил директор атомного центра Нобелевский лауреат Джон Кокрофт. И. В. Курчатов выступил в Херуэлле с лекцией, в которой рассказал о работах по управляемым термоядерным реакциям, ведущимся в СССР.

    Эта проблема глубоко интересовала Игоря Васильевича. По возвращении из Англии он выступил 10 мая 1956 г. в «Правде» со статьей, в которой говорил о важности задачи управления термоядерным синтезом. «Решение этой задачи, — писал Курчатов, — навсегда сняло бы с человечества заботу о запасах энергии, необходимой для существования на Земле». Этой проблеме посвятил И. В. Курчатов свои силы и энергию в последние годы жизни.

    Напряженный труд надломил здоровье Игоря Васильевича. В ноябре 1957 г. он перенес инсульт. Но после тяжелой болезни не прекращал своего труда.

    В январе 1960 г. он побывал у своих старых друзей: К. Д. Синельникова, А. К. Вальтера, А. И. Лейпунского — в Харькове. О своих впечатлениях о работе украинских атомщиков он написал статью, опубликованную в «Правде». Это была последняя публикация ученого. 7 февраля 1960 г. он скоропостижно скончался.

    «Я счастлив, — говорил И. В. Курчатов на сессии Верховного Совета СССР 15 января 1960 г.,— что родился в России и посвятил свою жизнь атомной науке великой Страны Советов...

    Я глубоко верю и твердо знаю, что наш народ, наше правительство только благу человечества отдадут достижения этой науки».

    Эти слова прекрасно характеризуют основоположника советской атомной науки и техники, горячего патриота своей Родины Игоря Васильевича Курчатова.









     


    Главная | В избранное | Наш E-MAIL | Прислать материал | Нашёл ошибку | Верх